Issue
A&A
Volume 518, July-August 2010
Herschel: the first science highlights
Article Number L138
Number of page(s) 5
Section Letters
DOI https://doi.org/10.1051/0004-6361/201014585
Published online 16 July 2010

Online Material

\begin{figure}
\par\includegraphics[width=15.3cm,clip]{Cas14585f3.eps}
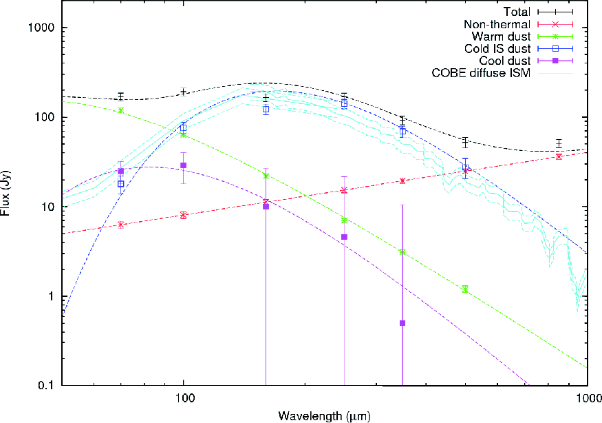
\end{figure} Figure 3:

The derived 70-850-$\mu $m spectral energy distributions of the components contributing to the observed emission from Cas A. See Sect. 3 for a description of how the flux densities from each component at each wavelength were estimated. Red: nonthermal flux densities estimated from a power-law fit between the 6-cm and 3.6-$\mu $m flux densities; Green: warm dust component flux densities; Blue: flux densities for the cold interstellar dust component. Also shown are a $\lambda ^{-2}$ emissivity 17-K fit to the cold IS dust flux densities (blue dashed line), and a comparison with the Dwek et al. (1997) COBE DIRBE/FIRAS average ISM spectral energy distribution (turquoise; shown with the quoted $\pm $20% 1$\sigma $ uncertainty limits). Magenta: the derived flux densities for the cool dust component, together with a 35-K $\lambda ^{-2}$ emissivity fit (dashed magenta line). The blue points show the PACS and SPIRE 70-500-$\mu $m total flux densities measured for Cas A, as well as the SCUBA 850-$\mu $m flux density measured by Dunne et al. (2003). The black dashed line corresponds to the sum of the fits to the nonthermal, warm dust, cool dust and cold IS dust components.

Open with DEXTER

Current usage metrics show cumulative count of Article Views (full-text article views including HTML views, PDF and ePub downloads, according to the available data) and Abstracts Views on Vision4Press platform.

Data correspond to usage on the plateform after 2015. The current usage metrics is available 48-96 hours after online publication and is updated daily on week days.

Initial download of the metrics may take a while.