Free Access
Issue
A&A
Volume 519, September 2010
Article Number A47
Number of page(s) 20
Section Extragalactic astronomy
DOI https://doi.org/10.1051/0004-6361/201014387
Published online 10 September 2010

Online Material

Appendix A: Construction of the models by an iterative procedure

Equation (18), with the boundary conditions (20), is solved by means of a modified version of the iterative procedure presented earlier by Prendergast & Tomer (1970) in view of a completely different problem (the study of nonspherical models for rotating elliptical galaxies). It is based on the classical expansion in Legendre polynomials, a natural approach in the case of axisymmetric systems. However, the original method is viable only for gravitational potentials that are regular at large radii. In contrast, in our model, the potential of the isothermal halo diverges at large radii. This difficulty has been overcome by separating the potential of the dark matter halo into two different parts: a regular part, which converges to finite values at large radii, and a divergent one, which follows the asymptotic prescription of Eq. (20). Below we provide the details of the technique developed in the present paper. Here it is convenient to work with standard spherical coordinates $(r, \phi, \theta)$ and their dimensionless analogue $(\eta, \phi,
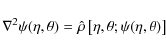
\theta)$. We start by recalling briefly the method devised by Prendergast & Tomer (1970). The solution of the two-dimensional Poisson equation

\begin{displaymath}\nabla^2\psi(\eta,\theta)=\hat\rho\left[\eta, \theta; \psi(\eta, \theta)\right]
\end{displaymath} (A.1)

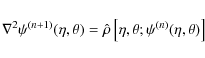
is obtained by iteratively solving the equations

\begin{displaymath}\nabla^2\psi^{(n+1)}(\eta,\theta)=\hat\rho\left[\eta, \theta; \psi^ {(n)}(\eta, \theta)\right]
\end{displaymath} (A.2)

to which the same boundary conditions as in Eq. (A.1) are imposed. The potential at the iterative step (n+1), $\psi^{(n+1)}$, is obtained from the potential at the previous step, $\psi^{(n)}$, by solving Eq. (A.2) exactly, using the standard multipole expansion in Legendre polynomials, here denoted by Pk:

\begin{displaymath}\hat\rho^{(n)}(\eta,\theta)=\sum_{k=0}^{\infty}\
\hat\rho^{(n)}_{k}(\eta)\ P_{k}(\cos\theta) ,
\end{displaymath} (A.3)

and

\begin{displaymath}\psi^{(n+1)}(\eta,\theta)=\sum_{k=0}^{\infty}\
\psi^{(n)}_{k}(\eta)\ P_{k}(\cos\theta) .
\end{displaymath} (A.4)

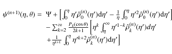
For completeness, we display the general solution of the nth iterative step:

\begin{displaymath}\begin{array}{ll}
\psi^{(n+1)}(\eta, \theta)=& \Psi +\left[\i...
...{k+2}\hat\rho^ {(n)}_{k}(\eta'){\rm d}\eta' \right]
\end{array}\end{displaymath} (A.5)

where we have used the notation $\psi(0, \theta)=\Psi$. The iteration can be stopped when the desired accuracy prescription is met, as for example when in the relevant domain $\mathcal{D}$ we find that

\begin{displaymath}\max_{(\xi,\zeta)\in\mathcal{D}}\left\vert{{\psi^{(n+1)}
-\psi^{(n)}}\over{\psi^{(n+1)}+\psi^{(n)}}}\right\vert<\epsilon .
\end{displaymath} (A.6)

The dark matter gravitational potential is then separated into two parts:

\begin{displaymath}\psi_{\rm DM}\equiv \psi_{\rm asy}+\psi .
\end{displaymath} (A.7)

The potential defined as $\psi_{\rm asy}$ obeys the Poisson equation

\begin{displaymath}\nabla^2\psi_{\rm asy}=\hat\rho_{\rm asy}
\end{displaymath} (A.8)

and has the same asymptotic behavior as in Eq. (20). In this way the potential $\psi$ converges to zero at large radii and the related Poisson equation

\begin{displaymath}\left({1\over\xi}{\partial\over{\partial\xi}}\xi{\partial\ove...
...t[\psi_{\rm asy}+\psi_{\rm D}+\psi\right]}- \hat\rho_{\rm asy}
\end{displaymath} (A.9)

can be directly solved by the iterative multipole expansion outlined previously.

Obviously, there is an infinite number of pairs $(\hat\rho_{\rm asy}, \psi_ {\rm asy})$ that meet the conditions of Eqs. (A.8) and (20). Therefore, the construction method proposed below just reflects one reasonable choice. We decided to take $\hat\rho_{\rm asy}$ and $\psi_{\rm asy}$ with spherical symmetry, because the relevant asymptotic condition for $\psi_{\rm asy}$ is characterized by spherical symmetry and because the spherical Poisson equation admits a simple explicit solution:

\begin{displaymath}\psi_{\rm asy}(\eta)=\psi_{\rm asy}(0)+\int_{0}^{\eta}\!\!\et...
...{0}^{\eta}\!\!\eta'^2\hat\rho_{\rm asy} (\eta'){\rm d}\eta' .~
\end{displaymath} (A.10)

The precise choice of the form of the density $\hat\rho_{\rm asy}$ is guided by the goal of simplifying the following numerical procedure to solve Eq. (A.9). Different choices of the density $\hat\rho_{\rm asy}$ correspond to different shapes of the potential $\phi$ for the same pair of free parameters $ (\alpha , \beta )$. The adopted practical recipe to construct the density $\hat\rho_{\rm asy}$ turns out to be useful and efficient.

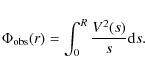
We start by defining what we call an ``observed'' pseudo-potential, constructed from the observed rotation curve:

\begin{displaymath}\Phi_{\rm obs}(r)=\int_{0}^{R}{{V^2(s)}\over{s}}{\rm d}s.
\end{displaymath} (A.11)

At large radii it has the asymptotic expression

\begin{displaymath}\Phi_{\rm obs}(r)\sim V^2_{\infty}\ln\left({r\over{r_0^{\rm obs}}}\right) ,
\end{displaymath} (A.12)

where the radius $r_0^{\rm obs}$ can be calculated from the precise form of the rotation curve. The behavior of Eq. (A.12) naturally relates the potential $\Phi_{\rm obs}$ (and its dimensionless counterpart $\psi_{\rm obs}$) to a density distribution with isothermal functional shape:

\begin{displaymath}{1\over{\eta^2}}{{\rm d}\over{{\rm d}\eta}}\eta^2{{\rm d}\ove...
...a_{\rm obs}\exp\left[\psi_{\rm obs}(\eta)\right] ;\ \eta\gg1 .
\end{displaymath} (A.13)

As shown in Eq. (10), the value of the constant $\alpha_{\rm obs}$ is determined by the value of the radius $r_0^{\rm obs}$ only, and is thus fixed. Having made this points clear, we can define $\hat\rho_{\rm asy}$ to be

\begin{displaymath}\hat\rho_{\rm asy}(\eta)\equiv-\alpha_{\rm obs}\exp\left[\psi...
...2+\eta_{\rm c}^2}\right)\right]+\hat\rho_{\rm D}^{(0)}(\eta) ,
\end{displaymath} (A.14)

where we have introduced a regularizing core structure with characteristic size $\eta_c$ and subtracted the monopole term of the stellar density

\begin{displaymath}\rho_{\rm D}^{(0)}(\eta)\equiv{\beta\over{2}}\int^{1}_{-1}\ha...
...os\theta={\beta\over{2}}{{\hat {\Sigma}(\eta)}\over\eta} \cdot
\end{displaymath} (A.15)

With this density profile, from Eq. (A.10) we calculate the gravitational potential $\psi_{\rm asy}$, using the free constant $ \psi_{\rm asy}(0)$ to make it meet exactly the asymptotic behavior required by Eq. (20). The determination of the correct value of the constant $ \psi_{\rm asy}(0)$ determines also the boundary condition to be used for Eq. (A.9), which is set by the prescription:

\begin{displaymath}\psi_{\rm T}(0,0)=\psi(0,0)+\psi_{\rm asy}(0)+\psi_{\rm D}(0,0)=0 .
\end{displaymath} (A.16)

A.1 The truncation of the angular expansion

A code has been written to solve Eq. (A.9) through the technique described in the previous section. The code is able to manage automatically the appropriate number of multipole terms to meet a required accuracy (see Eq. (A.6)). At each iterative step, the relevant number of multipole orders is calculated from the following prescription:

\begin{displaymath}{{\psi_{\bar{k}}^{(n)}(\bar\eta)\ P_{\bar{k}}(\cos\bar\theta)...
...^{(n)}(\bar\eta)\ P_{{k}}(\cos\bar \theta)}}>10^{-1}\epsilon .
\end{displaymath} (A.17)

In words, at the nth iteration step, the multipole term of order $\bar k$ is retained in the expansion if its (relative) contribution to the gravitational potential $\psi^{(n)}$ (calculated with the previous $\bar k -1$ multipole orders only) is comparable to the accuracy level $\epsilon$ we want to meet. This comparison is made at the coordinates $(\bar\eta, \bar\theta)$, chosen in the region where the deviation from spherical symmetry is strongest: $\bar\theta\approx\pi/2$ and $\bar\eta\approx 1\div 2$.

The models described in the paper are calculated with an accuracy prescription of $\epsilon=10^{-4}$. Obviously, the number of iterations required by such precision depends on the gravitational importance of the stellar disk (which determines the flattening of the halo). For values of the pair $ (\alpha , \beta )$ that represent an astrophysically realistic configuration (see Sect. 4), the number of required iterations is $10\div20$, with a number of multipole orders of $12\div20$.

Appendix B: Anomalous rotation curves

\begin{figure}
\par\includegraphics[width=8.7cm, angle=0]{14387fg22.eps} \end{figure} Figure B.1:

Contours of the function $\Xi $ for the parametric decomposition (based on Eqs. (1, 2)) of the rotation curve defined by Eq. (25) with $\tau _{\rm f}=0.4$.

Open with DEXTER

\begin{figure}
\par\includegraphics[width=8.7cm, angle=0]{14387fg23.eps} \end{figure} Figure B.2:

Contours of the function $\Xi $ for the self-consistent decomposition of the rotation curve defined by Eq. (25) with $\tau _{\rm f}=0.4$.

Open with DEXTER
\begin{figure}
\par\includegraphics[width=8.7cm, angle=0]{14387fg24.eps} \end{figure} Figure B.3:

Disk-halo decomposition associated with the best self-consistent fit of the case $\tau _{\rm f}=0.4$. The coding is the same as in Fig. 12.

Open with DEXTER

\begin{figure}
\par\includegraphics[width=8.7cm, angle=0]{14387fg25.eps} \end{figure} Figure B.4:

Contours of the function $\Xi $ for the parametric decomposition (based on Eqs. (1), (2)) of the rotation curve defined by Eq. (25) with $\tau _{s}=2.3$.

Open with DEXTER
\begin{figure}
\par\includegraphics[width=8.7cm, angle=0]{14387fg26.eps} \vspace*{1.5mm}
\end{figure} Figure B.5:

Contours of the function $\Xi $ for the self-consistent decomposition of the rotation curve defined by Eq. (25) with $\tau _{\rm s}=2.3$.

Open with DEXTER

\begin{figure}
\par\includegraphics[width=8.7cm, angle=0]{14387fg27.eps} \end{figure} Figure B.6:

Disk-halo decomposition associated with the best self-consistent fit of the case $\tau _{\rm s}=2.3$. The coding is the same as in Fig. 12.

Open with DEXTER
In this section we will analyze the case of rotation curves with inner gradients that are significantly different from the one identified by Eq. (4). These rotation curves represent systems with a ``wrong tuning'' between the disk and halo components, in the sense described in Sect. 2. We adopt the same simple parametrization for the rotation curve shape as in Eq. (25) and consider two different values for the parameter $\tau$, taken to be significantly far from the value which that reproduces the correlation in Eq. (4). On the fast rising end, we take $\tau _{\rm f}=0.4$ (i.e. $R_{\Omega}/h\approx0.44$), while on the opposite side of a slowly rising rotation curve we take $\tau _{\rm s}=2.3$ (i.e. $R_{\Omega}/h\approx2.53$). We apply the self-consistent and the parametric disk-halo decomposition to these two anomalous rotation curves and refer to the same function $\Xi $ as in Eq. (29) to quantify the quality of the fit.

The results for the fast rising rotation curve are shown in Figs. B.1 and B.2. In the parametric decomposition method we find again the bimodality of the fit, as noted in the case of NGC 3198. The self-consistent method instead identifies a decomposition with an important stellar disk; the fit for the rotation curve is illustrated in Fig. B.3.

The results for the slowly rising rotation curve are shown in Figs. B.4 and B.5. The degeneracy pattern is clearly present in the parametric decomposition, but in this case it is less marked with respect to the cases studied earlier in this paper. Here, the parametric fit is ``pushed'' in the direction of an insignificant disk, because the observed $R_{\Omega }$ is too small and can only be ascribed to a dominant dark matter halo. On the other hand, the self-consistent decomposition appears to be able to handle also this case (see Fig. B.6).

From the point of view of the quality of the fits, it is apparent that both decomposition methods work best when fitting the case of $\tau\approx 1$, that is for a rotation curve that follows the empirical correlation illustrated in Fig. 1. This is the aspect of conspiracy that was introduced and described in Sect. 2.1. In this case, the values of the function $\Xi $ corresponding to the best-fitting $(\alpha,~\beta)$ pairs are the smallest. In particular, Fig. B.3 shows that the case of a fast rising rotation curve cannot be properly described without including a central concentrated mass component, such as a bulge; the value of the residuals $\Xi $ in correspondence of the best-fit (see Fig. B.2) is considerably higher if compared for example to the good fit of Fig. 12. Similarly, for the opposite case of a slowly rising rotation curve, it is the parametric model which is quite unable to account for such a shape of the rotation velocity, with a similar high value for the best-fit residuals (see Fig. B.4).

Current usage metrics show cumulative count of Article Views (full-text article views including HTML views, PDF and ePub downloads, according to the available data) and Abstracts Views on Vision4Press platform.

Data correspond to usage on the plateform after 2015. The current usage metrics is available 48-96 hours after online publication and is updated daily on week days.

Initial download of the metrics may take a while.