| Issue |
A&A
Volume 520, September-October 2010
|
|
|---|---|---|
| Article Number | A88 | |
| Number of page(s) | 12 | |
| Section | Stellar atmospheres | |
| DOI | https://doi.org/10.1051/0004-6361/200913750 | |
| Published online | 08 October 2010 | |
Online Material
|
Figure 4: Comparison between the observed and theoretical profiles for the Ba lines. Observations are shown with symbols, thick full line corresponds to the synthetic spectrum calculated with the best-fitting stratified abundance distribution and dashed line shows prediction of the spectrum synthesis with a homogeneous abundance. |
| Open with DEXTER | |
|
Figure 5: Same as in Fig. 4 but for Ca. |
| Open with DEXTER | |
|
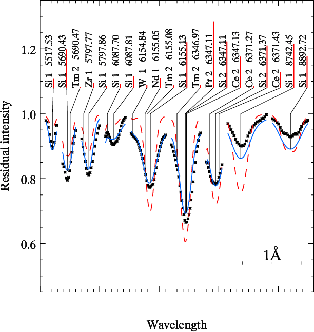
Figure 6: Same as in Fig. 4 but for Si. |
| Open with DEXTER | |
|
Figure 7: Same as in Fig. 4 but for Fe. |
| Open with DEXTER | |
|
Figure 9:
Observed and theoretical energy distribution of HD 101065
calculated with scaled REE opacity from ISAN line
list (see text). For comparison purpose the
theoretical energy distribution of a normal F-type star
HD 49933 is also shown. All theoretical calculations
are smoothed with 20 Å Gaussian. Theoretical fluxes
were scaled assuming radiuses: |
| Open with DEXTER | |
Table 3: List of Si, Ca, Fe, and Ba spectral lines used for reconstruction of chemical stratification.
Table 4: Abundances of individual elements.
Current usage metrics show cumulative count of Article Views (full-text article views including HTML views, PDF and ePub downloads, according to the available data) and Abstracts Views on Vision4Press platform.
Data correspond to usage on the plateform after 2015. The current usage metrics is available 48-96 hours after online publication and is updated daily on week days.
Initial download of the metrics may take a while.
![\begin{figure}
\par\includegraphics[width=8.8cm,clip]{figures/13750f4.ps}
\end{figure}](/articles/aa/olm/2010/12/aa13750-09/Timg46.png)
![\begin{figure}
\par\includegraphics[width=8.8cm,clip]{figures/13750f5.ps}
\end{figure}](/articles/aa/olm/2010/12/aa13750-09/Timg47.png)
![\begin{figure}
\par\includegraphics[width=8.8cm,clip]{figures/13750f6.ps}
\end{figure}](/articles/aa/olm/2010/12/aa13750-09/Timg48.png)
![\begin{figure}
\par\includegraphics[width=8.8cm,clip]{figures/13750f7.ps}
\end{figure}](/articles/aa/olm/2010/12/aa13750-09/Timg49.png)
![\begin{figure}
\par\includegraphics[angle=90,width=15.5cm,clip]{figures/13750f9.ps}
\end{figure}](/articles/aa/olm/2010/12/aa13750-09/Timg51.png)