| Issue |
A&A
Volume 521, October 2010
|
|
|---|---|---|
| Article Number | A40 | |
| Number of page(s) | 34 | |
| Section | Stellar structure and evolution | |
| DOI | https://doi.org/10.1051/0004-6361/200913544 | |
| Published online | 19 October 2010 | |
Online Material
Appendix A: Stellar sequences
|
Figure A.1:
The figure shows how the dwarf star sequence was traced from nearby
dwarf stars with [Fe/H] = 0.50 |
| Open with DEXTER | |
|
Figure A.2:
The figure shows how the dwarf star sequence was traced from nearby
dwarf stars with [Fe/H] = 0.40 |
| Open with DEXTER | |
|
Figure A.3:
The figure shows how the dwarf star sequence was traced from nearby
dwarf stars with [Fe/H] = 0.30 |
| Open with DEXTER | |
|
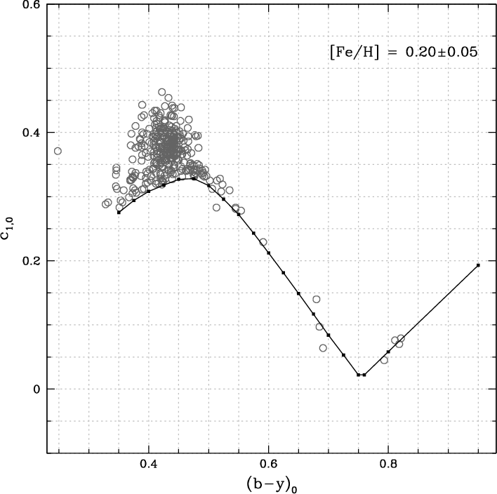
Figure A.4:
The figure shows how the dwarf star sequence was traced from nearby
dwarf stars with [Fe/H] = 0.20 |
| Open with DEXTER | |
|
Figure A.5:
The figure shows how the dwarf star sequence was traced from nearby
dwarf stars with [Fe/H] = 0.10 |
| Open with DEXTER | |
|
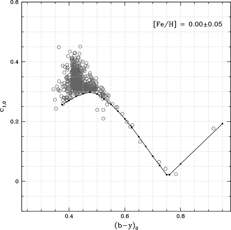
Figure A.6:
The figure shows how the dwarf star sequence was traced from nearby
dwarf stars with [Fe/H] = 0.00 |
| Open with DEXTER | |
|
Figure A.7:
The figure shows how the dwarf star sequence was traced from nearby
dwarf stars with [Fe/H] = -0.10 |
| Open with DEXTER | |
|
Figure A.8:
The figure shows how the dwarf star sequence was traced from nearby
dwarf stars with [Fe/H] = -0.20 |
| Open with DEXTER | |
|
Figure A.9:
The figure shows how the dwarf star sequence was traced from nearby
dwarf stars with [Fe/H] = -0.30 |
| Open with DEXTER | |
|
Figure A.10:
The figure shows how the dwarf star sequence was traced from nearby
dwarf stars with [Fe/H] = -0.40 |
| Open with DEXTER | |
|
Figure A.11:
The figure shows how the dwarf star sequence was traced from nearby
dwarf stars with [Fe/H] = -0.50 |
| Open with DEXTER | |
|
Figure A.12:
The figure shows how the dwarf star sequence was traced from nearby
dwarf stars with [Fe/H] = -0.60 |
| Open with DEXTER | |
|
Figure A.13:
The figure shows how the dwarf star sequence was traced from nearby
dwarf stars with [Fe/H] = -0.80 |
| Open with DEXTER | |
|
Figure A.14:
The figure shows how the dwarf star sequence was traced from nearby
dwarf stars with [Fe/H] = -1.00 |
| Open with DEXTER | |
Appendix B: Table containing the data collected to test calibrations of [Fe/H] in section
How the catalogue is constructed is explained in detail in Sect. 3.
Column 1 lists the Hipparcos number of the star and Col. 2 gives an alternative stellar name. Column 3 gives the photometry reference (SN88 for Schuster & Nissen 1988; O84 for Olsen 1984; O93 for Olsen 1993; and O94 for Olsen 1994a) and Columns 4 to 7 give the uvby photometry. Column 8 gives the colour excess of the star. Columns 9 to 12 give the dereddened uvby photometry. Column 13 and 14 give the average [Fe/H] (on the Valenti & Fischer 2005, scale) and the full range of [Fe/H] (on the same scale as in Col. 13) if the star was found in more than one study. Columns 15 and 16 give the number of references for the [Fe/H] and lists them (1: Valenti & Fischer 2005; 2: Favata et al. 1997; 3: Feltzing & Gustafsson 1998; 4: Chen et al. 2000; 5: Thorén & Feltzing 2000; 6: Santos et al. 2001; 7: Heiter & Luck 2003; Yong & Lambert 2003; 9: Mishenina et al. 2004; 10: Santos et al. 2004; 11: Bonfils et al. 2005; 12: Luck & Heiter 2005; 13: Santos et al. 2005; 14: Woolf & Wallerstein 2005; and 15: Sousa et al. 2006).
Table B.1 is also available the CDS.
Table B.1: Dwarf stars with both Strömgren photometry and [Fe/H] based on high resolution, high S/N spectroscopy.
Current usage metrics show cumulative count of Article Views (full-text article views including HTML views, PDF and ePub downloads, according to the available data) and Abstracts Views on Vision4Press platform.
Data correspond to usage on the plateform after 2015. The current usage metrics is available 48-96 hours after online publication and is updated daily on week days.
Initial download of the metrics may take a while.
![\begin{figure}
\par\vspace*{3mm}
\par\includegraphics[width=12cm,clip]{13544fg30.eps}
\end{figure}](/articles/aa/olm/2010/13/aa13544-09/Timg77.png)
![\begin{figure}
\par\includegraphics[width=12cm,clip]{13544fg31.eps}
\end{figure}](/articles/aa/olm/2010/13/aa13544-09/Timg78.png)
![\begin{figure}
\par\includegraphics[width=12cm,clip]{13544fg32.eps}
\end{figure}](/articles/aa/olm/2010/13/aa13544-09/Timg79.png)
![\begin{figure}
\par\includegraphics[width=12cm,clip]{13544fg33.eps}
\end{figure}](/articles/aa/olm/2010/13/aa13544-09/Timg80.png)
![\begin{figure}
\par\includegraphics[width=12cm,clip]{13544fg34.eps}
\end{figure}](/articles/aa/olm/2010/13/aa13544-09/Timg81.png)
![\begin{figure}
\par\includegraphics[width=12cm,clip]{13544fg35.eps}
\end{figure}](/articles/aa/olm/2010/13/aa13544-09/Timg82.png)
![\begin{figure}
\par\includegraphics[width=12cm,clip]{13544fg36.eps}
\end{figure}](/articles/aa/olm/2010/13/aa13544-09/Timg83.png)
![\begin{figure}
\par\includegraphics[width=12cm,clip]{13544fg37.eps}
\end{figure}](/articles/aa/olm/2010/13/aa13544-09/Timg84.png)
![\begin{figure}
\par\includegraphics[width=12cm,clip]{13544fg38.eps}
\end{figure}](/articles/aa/olm/2010/13/aa13544-09/Timg85.png)
![\begin{figure}
\par\includegraphics[width=12cm,clip]{13544fg39.eps}
\end{figure}](/articles/aa/olm/2010/13/aa13544-09/Timg86.png)
![\begin{figure}
\par\includegraphics[width=12cm,clip]{13544fg40.eps}
\end{figure}](/articles/aa/olm/2010/13/aa13544-09/Timg87.png)
![\begin{figure}
\par\includegraphics[width=12cm,clip]{13544fg41.eps}
\end{figure}](/articles/aa/olm/2010/13/aa13544-09/Timg88.png)
![\begin{figure}
\par\includegraphics[width=12cm,clip]{13544fg42.eps}
\end{figure}](/articles/aa/olm/2010/13/aa13544-09/Timg89.png)
![\begin{figure}
\par\includegraphics[width=12cm,clip]{13544fg43.eps}
\end{figure}](/articles/aa/olm/2010/13/aa13544-09/Timg90.png)