Issue
A&A
Volume 521, October 2010
Herschel/HIFI: first science highlights
Article Number L4
Number of page(s) 7
Section Letters
DOI https://doi.org/10.1051/0004-6361/201015069
Published online 01 October 2010

Online Material

Appendix A: Details about the observation strategy and data reduction

Table A.1:   LO frequencies $\nu _{\rm {LO}}$, main beam efficiencies $\eta _{\rm {MB}}$ according to Eq. (A.1), velocity resolution $\Delta \varv $ (for 0.5 MHz frequency resolution), and operational days (OD) when observations were carried out.

The regular DBS mode was used for bands 1 up to 5, while FastDBS was applied to bands 6 and 7 to achieve higher stability with respect to electrical standing waves. Two orthogonal polarizations were measured simultaneously. The double-sideband (DSB, Helmich et al., in prep.) observations ensure an instantaneous 8 GHz and 5.2 GHz frequency coverage by the wide band spectrometer (WBS) for respectively bands 1 up to 5, and bands 6 and 7. The spectral resolution is 0.5 MHz. Care was taken in choosing local oscillator (LO) frequencies such that no strong lines from the two sidebands would blend, and that at the same time a maximum number of molecular lines would be covered.

The data were processed with the standard HIFI pipeline using HIPE, and non-stitched Level-2 data were exported using the HiClass tool available in HIPE. Further processing, i.e. blanking spurious signals, baseline removal, stitching of the spectrometer subbands, and averaging, was performed in CLASS. When the quality of the spectra measured in both horizontal and vertical polarization was good, these were averaged to lower the rms noise. This approach is justified since polarisation is not a concern for the presented molecular-line analysis. In all cases, we assumed a side-band gain ratio of one.

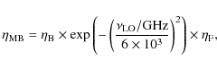
All data presented in this Letter were converted from the antenna-temperature ( $T_{\rm A}^*$) scale to the main-beam temperature ( $T_{\rm {MB}}$) scale according to $T_{\rm {MB}}=T_{\rm A}^*/\eta_{\rm {MB}}$, with values of the main-beam efficiency $\eta _{\rm {MB}}$ (Table A.1) calculated for the LO frequency $\nu _{\rm {LO}}$, according to

\begin{displaymath}
\eta_{\rm {MB}}=\eta_{\rm {B}}\times\exp\left(-\left(\frac{\...
...\rm {GHz}}{6\times10^{3}}\right)^2\right)\times\eta_{\rm {F}},
\end{displaymath} (A.1)

with $\eta_{\rm {B}}= 0.72$ and $\eta_{\rm {F}} = 0.96$being the beam efficiency in the 0 Hz frequency limit and the forward efficiency, respectively. The absolute calibration accuracy ranges from 10% for the lowest frequency lines up to 30% for the high frequency (>1 THz) lines.

Table A.2:   Observation summary.

Appendix B: Radiative transfer modelling

The molecular emission lines shown in Figs. 1-2, were modelled using the non-LTE radiative transfer code GASTRoNOoM (Decin et al. 2006). Last updates to the code and a discussion of the available line lists and collisional rates can be found in Decin et al. (2010). The thermodynamical structure (see Fig. B.1) determined by Decin et al. (2010) was confirmed using the new HIFI observations (Sect. 3.2). Modelling the CO and H2O lines provides insight into to the cooling/heating rates by transitions of these molecules (see also Decin et al. 2006,2010). As can be seen in Fig. B.3, H2O transitions provide the main cooling agent in the region up to $\sim$ $2 \times 10^{15}$ cm, while adiabatic cooling takes over for the region beyond $\sim$ $2 \times 10^{15}$ cm.

In the first instance, the molecular abundance stratifications derived by Decin et al. (2010) were assumed to model the 13CO, 28SiO, 29SiO, 30SiO, HCN, and SO lines (see full black lines in Fig. 2 and full lines in Fig. B.2). Using the new HIFI observations, the 13CO and 28SiO abundance fractions were refined in the inner envelope (see dashed black lines in Fig. 2 and dashed lines in Fig. B.2).

The radiative transfer modelling for water included the 45lowest levels of the ground state and first vibrational state (i.e. the bending mode $\nu_2=1$ at 6.3 $\mu$m) for all isotopologs. Level energies, frequencies, and Einstein A coefficients were extracted from the HITRAN water line list (Rothman et al. 2009). The H2O-H2 collisional rates were taken from Faure et al. (2007). The effect of including excitation to the first excited vibrational state of the asymmetric stretching mode ($\nu_3=1$) was tested, and was found to be negligible (Decin et al. 2010).

A good agreement was found for the HCN(7-6) line proving that the inner abundance fraction [HCN/H $_{\rm {tot}}$] is $\sim$ $2.2 \times10^{-7}$. The 13CO J=9-8 and J=10-9 lines are somewhat underpredicted assuming a 12CO/13CO ratio of 14 as obtained by Decin et al. (2010). Decreasing this ratio to 7 yields a better fit, but we point out that the line profiles are quite noisy. The 13CO fractional abundance was obtained assuming the same photodissociation radius as for 12CO (Mamon et al. 1988). However, if the effect of less self-shielding of 13CO (compared to 12CO) were more important than estimated by Mamon et al. (1988), the photodissocation radius of 13CO would be smaller, affecting the low excitation rotational transitions more than the higher excitation lines observed by HIFI. Another possibility might be that the velocity structure is steeper than the $\beta = 1$ power law now assumed in the region between $\sim$20 and 150 $R_{\star}$, where these high-excitation lines are mainly formed. Since a constant mass-loss rate is assumed, this would imply a lower density in this region, and hence a higher 13CO abundance fraction to produce the correct line intensity.

Only one higher-excitation 28SiO line has been observed so far. The J=14-13 transition indicates that the inner wind abundance might be a factor 2 lower than deduced by Decin et al. (2010), yielding an inner wind abundance of $4 \times 10^{-6}$, decreasing to $2 \times 10^{-7}$ around 180 $R_{\star}$. The isotopolog line of 29SiO(13-12) is very well predicted for an inner abundace of $3 \times 10^{-7}$; the higher excitation J = 26-25 line of both 29SiO and 30SiO are consistent with the HIFI observations. This implies an isotopic ratio of 28SiO/29SiO of 13.

Using the abundance pattern determined by Decin et al. (2010), the SO( 1314-1213) is quite well predicted.

\begin{figure}
\par\includegraphics[angle=0,width=9cm,clip]{15069fg4.ps}\end{figure} Figure B.1:

Thermodynamic structure of the envelope of IK Tau derived from the 12CO J=1-0 to J=7-6 and HCN J=3-2 and J=4-3 rotational line transitions for the stellar parameters given in Table B.1 (Decin et al. 2010). The start of the dusty envelope, R $_{\rm {inner}}$, is indicated by the dotted line.

Open with DEXTER

Table B.1:   (Circum)stellar parameters for IK Tau (Decin et al. 2010).

\begin{figure}
\par\includegraphics[angle=90,width=8.8cm,clip]{15069fg5.ps}
\end{figure} Figure B.2:

Fractional abundance stratifications for 12CO, 13CO, 28SiO, 29SiO, HCN, SO, ortho-H216O, para-H216O, ortho-H217O, para-H217O, ortho-H218O, and para-H218O. For all molecules (except water), the full line represents the results obtained by Decin et al. (2010). For 13CO and 28SiO, the new results based on the HIFI data are shown in dotted lines. The fractional abundances for all water isotopologs and isomers are based on the HIFI data presented in this Letter.

Open with DEXTER

\begin{figure}
\par\includegraphics[width=8.6cm,angle=0]{15069fg6.ps}
\end{figure} Figure B.3:

Cooling and heating rates in the envelope of IK Tau due to different processes (for details, see Decin et al. 2006). As can be seen in the plot, both CO and H2O transitions mainly cool the envelope, but in certain restricted ranges can heat the envelope.

Open with DEXTER

Current usage metrics show cumulative count of Article Views (full-text article views including HTML views, PDF and ePub downloads, according to the available data) and Abstracts Views on Vision4Press platform.

Data correspond to usage on the plateform after 2015. The current usage metrics is available 48-96 hours after online publication and is updated daily on week days.

Initial download of the metrics may take a while.