| Issue |
A&A
Volume 496, Number 3, March IV 2009
|
|
|---|---|---|
| Page(s) | 791 - 804 | |
| Section | Stellar structure and evolution | |
| DOI | https://doi.org/10.1051/0004-6361/200810851 | |
| Published online | 09 February 2009 | |
High-resolution spectroscopic observations of two chemically peculiar metal-poor stars: HD 10613 and BD+04
2466![[*]](/icons/foot_motif.gif)
C. B. Pereira1 - N. A. Drake2
1 - Observatório Nacional, Rua José Cristino, 77. CEP 20921-400, São Cristóvão, Rio de Janeiro-RJ, Brazil
2 -
Sobolev Astronomical Institute, St. Petersburg State University, Universitetski pr. 28, St. Petersburg 198504, Russia
Received 22 August 2008 / Accepted 11 January 2009
Abstract
Aims. We determined the atmospheric parameters and abundance pattern of two chemically peculiar metal-poor stars: HD 10613 and BD+04
2466 in order to better understand their evolutionary state and the nature of the s-element enhancement of these stars.
Methods. We used high resolution optical spectroscopy. Atmospheric parameters and abundances were determined in the local-thermodynamic-equilibrium model atmospheres of Kurucz using the spectral analysis code MOOG.
Results. We conclude that HD 10613 is another metal-poor barium star with C/O = 0.52 and [Fe/H] = -0.82, while BD+04
2466 is a CH star with C/O = 3.6 and [Fe/H] = -1.92 rather than a metal-deficient barium star as it was previously classified. BD+04
2466 appears to be enriched in lead with [Pb/Ce] = +0.85 and [Pb/La] = +0.72. For BD+04
2466 the abundance of lead is in agreement with predictions from AGB models. Due to the low luminosity of these two stars, their observed s-process overabundance is better explained by mass-transfer in the past from an AGB star.
Key words: stars: abundances - stars: chemically peculiar - stars: binaries: general
1 Introduction
Barium and CH stars belong to a class of chemically peculiar stars where binarity is an essential requirement to explain their overabundance of carbon and the elements heavier than iron, such as barium. Barium and strontium are synthesized by neutron-capture reactions provided that the rate of neutron capture is slow compared to the beta-decay time scale of the radioactive nuclei involved in the chain. This nucleosynthesis process was called the s-process by Burbidge et al. (1957). The main site for this process is inside a star during its evolution through the AGB phase where the star develops helium burning thermal pulses (TP-AGB phase). A by-product of the thermal pulse is the production of both carbon and neutron-rich isotopes of heavy elements. Because of the deep convection zone of an AGB star, these nuclei are brought to the star's surface by the ``third dredge up''. However, both barium stars and CH stars are not luminous enough to be considered AGB stars having undergone a third dredge-up. Therefore, their overabundances of carbon and s-process elements are explained by mass-transfer in a binary system from a former AGB star (now a white dwarf in the system).
Although both barium stars and CH stars are formed by the same phenomena, they do not share the same properties. It seems that barium stars have orbital periods longer than CH stars and their eccentricities are greater (Vanture 1992a). The abundance pattern of barium stars and CH stars, as far as the observed overabundances of the elements created by the s-process are concerned, is similar, except for the C/O ratio. CH stars present strong C2 bands and the C/O ratio already determined so far is greater than unity (Vanture 1992b; this work) while for barium stars the C/O ratio is less than unity (Barbuy et al. 1992; Allen & Barbuy 2006; Drake & Pereira 2008; this work).
Regarding the stellar population type, CH stars are clearly members of the halo population, they have high radial velocities and are metal-poor objects (Hartwick & Cowley 1985). CH stars have been regarded as population II counterparts of the barium stars (Smith et al. 1996). Population studies done for barium stars show that they differ from the CH stars with respect to their distribution in the Galaxy. Barium stars are found in the disk and in the halo of the Galaxy (Gómez et al. 1997; Mennessier et al. 1997). These two studies show that barium stars can also be divided into groups according to their luminosities, kinematical and spatial parameters (U0, V0, W0 velocities and dispersion velocities and scale heights). These two studies also show that barium stars in the halo are very rare. Table 4 of Mennessier et al. (1997) shows that the number of barium star candidates in the halo (flagged by ``H'') comprises only 6% of the total sample investigated by these authors.
In 1991, Luck & Bond (1991) (hereafter LB91) singled out a small class of four objects that they called ``metal-deficient barium stars''. They noticed that the stars of this group have a very strong CH band and very weak metallic lines but the strength of the C2 band is very weak, and because of that they could not be categorized as classical CH stars. These metal-deficient barium stars, according to LB91, would be the Population II analogs of classical barium stars.
In this work we continue our investigation of these ``metal-deficient barium stars'' not only from the LB91 sample but also searching for possible candidates in the literature. In a previous search we identified and analyzed HD 206983 (Junqueira & Pereira 2001; Drake & Pereira 2008). We now analyze one star that was suspected to be a metal-poor barium star by Catchpole et al. (1977) and also classified as a member of the halo population by Goméz et al. (1997) and Mennesier et al. (1997), HD 10613. In addition we analyze BD+04
2466 which belongs to this small sample of ``metal-deficient barium stars'' of LB91.
2 Observations
The high-resolution spectra of HD 10613 and BD+04
2466 analyzed in this work were obtained with the FEROS (Fiberfed Extended Range Optical Spectrograph) echelle spectrograph (Kaufer et al. 1999) at the 1.52 m and 2.2 m ESO telescopes at La Silla (Chile), respectively, on the nights of November 25, 2001 (HD 10613) for 3600 s and April 3, 2007 (BD+04
2466) for 1200 s. The FEROS spectral resolving power is R=48 000, corresponding to 2.2 pixels of
m, and the wavelength coverage goes from 3800 Å to 9200 Å. The nominal S/N ratio was evaluated by measuring the rms flux fluctuation in selected continuum windows, and the typical values were
S/N = 100-150 for both stars. The spectra were reduced with the MIDAS pipeline reduction package consisting of the following standard steps: CCD bias correction, flat-fielding, spectrum
extraction, wavelength calibration, correction of barycentric velocity, and spectrum rectification. Figure 1 shows sample spectra of the programme stars in the 6120-6150 Å region.
![]() |
Figure 1: Sample spectra of the stars analyzed in this work. Dotted vertical lines show the transitions of Ca I 6122.23, Ti I 6126.22, Zr I 6127.48, Ni I 6128.98, Zr I 6134.57, Fe I 6137.70, Ba II 6141.73, and Fe II 6147.83. |
| Open with DEXTER | |
Table 1: Observed Fe I and Fe II lines.
3 Analysis and results
3.1 Line selection, measurements and oscillator strengths
The atomic absorption lines selected in this study are basically the
same as used in previous studies dedicated to the analysis of photospheric
abundances of symbiotic stars (Pereira et al. 1998) and barium stars
(Junqueira & Pereira 2001; Pereira & Junqueira 2003; Pereira 2005). The lines chosen are sufficiently unblended to yield reliable abundances. Table 1
shows the Fe I and Fe II lines employed in the analysis and also
the lower excitation potential,
,
of the transitions, the
values, and the measured equivalent widths. The latter were obtained by
fitting Gaussian profiles to the observed ones. The
values for the
Fe I and Fe II lines given in Table 1 were taken from Lambert et al. (1996).
3.2 Determination of the atmospheric parameters
The determination of stellar atmospheric parameters, effective temperature (
), surface gravity (
), microturbulence (
)
and metallicity [Fe/H] (throughout this paper, we use the notation [X/H] =
)
is
prerequisite for a determination of photospheric abundance. The gravity was determined by forcing the Fe I and Fe II lines to yield the same iron abundance at the selected effective temperature. The microturbulent velocity was determined by forcing the abundance determined from individual Fe I lines to show no dependence on equivalent width. The effective temperature was derived by requiring that the abundances calculated for the Fe I lines do not show any dependence upon excitation potential. The solution thus found is unique, depending only on a set of Fe I, II lines and the employed atmospheric model, and yields as a by-product the
metallicity of the star ([Fe/H]). The atmospheric parameters were determined using the local thermodynamic equilibrium (LTE) atmosphere models of Kurucz (1993) and the spectral analysis code MOOG (Sneden 1973). The final adopted atmospheric parameters are given in Table 2. This table also shows the radial velocities of the stars as well as their galactic latitudes. Figure 2 shows abundances of the individual Fe I lines plotted versus the lower excitation potential and the reduced line strength, respectively, for the stellar parameters adopted for HD 10613 and BD+04
2466.
The internal errors in the adopted effective temperature (
)
and microturbulent velocity (
)
can be determined from the uncertainty in the slope of the Fe I abundance versus excitation potential and Fe I abundance versus reduced equivalent width (
)
relations. These quantities are given in Table 2. The standard deviation in
was set by changing this parameter around the adopted solution until the Fe I and Fe II mean abundances differ by exactly one standard deviation of the [Fe I/H] mean value.
Table 2:
Atmospheric parameters, radial velocities and galactic latitudes of
HD 10613 and BD+04
2466.
3.3 Abundance analysis
The abundances of chemical elements were determined with the local thermodynamic equilibrium (LTE) model-atmosphere techniques described in above section. In brief, equivalent widths were calculated by integration through a model atmosphere and are compared with the observed equivalent widths. The calculation is repeated, changing the abundance of the element in question, until a match is achieved. The line-synthesis code MOOG was used to carry out the calculations.
![]() |
Figure 2:
The iron abundance derived from individual Fe I lines,
|
| Open with DEXTER | |
Table 3 shows the atomic lines used to derive the abundances of the elements and Table 4 provides a list of the number of lines employed (or number of spectral regions in the case of carbon and nitrogen whose abundances were determined using molecular lines) for each species, n, and the standard deviation as well as the C/O ratio.
The abundance of manganese is based on the Mn I lines
6013 and
6021 Å for HD 10613 and only
6021 Å for BD+04
2466. The europium abundance for HD 10613 is based on the Eu II line
6645 Å and the abundance of copper is based on
the Cu I line
5105 Å. The abundances for these elements were obtained through the spectrum synthesis technique. The synthetic spectra were broadened to match the instrumental profile. All fine-structure and hyperfine-structure components for the lines of Cu I, Mn I and Eu II were explicitly included. The gf-values for Cu I are
from Koch & Richter (1968), those for Mn I and Eu II are from
del Peloso et al. (2005).
Carbon, nitrogen and oxygen abundances as well as the 12C/13C isotopic ratio were also determined with spectrum synthesis technique in the local thermodynamic equilibrium (LTE) atmosphere models of Kurucz (1993). Since the abundances of the CNO elements are interdependent because of the association of carbon and oxygen into CO molecules in the atmospheres of cool giants, we carried out an iterative procedure of CNO abundance determinations until all abundances of these three elements agreed.
The carbon abundances were derived using different spectral regions:
- a)
- C2 (0, 1) band head of the Swan system
at 5635 Å. The electron oscillator strength,
,
was taken from Lambert (1978). The Hönl-London factors for the rotational lines were calculated using the formula from Kovacs (1969). Franck-Condon factors were calculated according to Dwivedi et al. (1978).
However, as was shown by our calculations, the (0, 1) band of the Swan system does not present a significant dependence of the Franck-Condon factors the value of J. Thus the value
q0, 1=0.2206 was adopted for all rotational lines of the (0, 1) band. The small contribution of faint CN (5, 0) and (10, 4) bands of the CN red system was taken into account. The C2 dissociation energy of
eV was adopted (Huber & Herzberg 1979). The wavelengths of the C2 features of the (0, 1) band were taken from Phillips & Davis (1968). The observed and synthetic spectra of both stars of our sample in the region around 5635 Å are shown in Fig. 3.
- b)
- C2 feature at 5086 Å. The oscillator strengths and wavelengths of C2 lines were taken from Lambert & Ries (1981).
- c)
- CH lines of the
system. The oscillator strengths and wavelengths of the 12CH and 13CH lines were taken from the SCAN database (Jørgensen et al. 1996). The CH dissociation energy is well determined and is equal to
eV (Lambert 1978).
Table 3: Other lines studied.
![]() |
Figure 3:
Observed (dotted red line) and synthetic (solid blue line) spectra in the region around the C2 molecule lines at 5635 Å for the stars HD 10613 and BD+04 |
| Open with DEXTER | |
The nitrogen abundances were obtained by comparing the observed and theoretical line profiles for the 12CN lines of the (2, 0) band of the CN red system
in the 7994-8020 Å wavelength range. The oscillator strength of the (0, 2) band of
f2, 0 = 8.4
10-4 (Sneden & Lambert 1982) was used. Hönl-London factors were calculated using the Schadee (1964) formula. The dissociation energy
eV (Bauschlicher et al. 1988; Lambert 1994) was used. The wavelengths of the 12CN lines were taken from Davis & Phillips (1963) and those of 13CN lines from Wyller (1966). Contamination of the CN features by the telluric H2O lines was eliminated by dividing our spectra by the high rotating hot star spectrum.
For the determination of the oxygen abundances we used the [O I] forbidden line at 6300.304 Å. In our calculations, we used for this line the transition probability
obtained by Allende Prieto et al. (2001) in their analysis of solar oxygen abundance. This value is only slightly higher than the value of
suggested by Lambert (1978). The [O I] 6300.304 Å line is blended with the Ni I line at
6300.339 Å which provides only a small contribution to the oxygen line. The oscillator strength of the Ni I line,
,
was taken from Allende Prieto et al. (2001). Blending of the [O I] line with the weak rotational line of CN (10, 5) band from the red system at 6300.265 Å was taken into account.
To determine the 12C/13C isotopic ratios we considered two spectral regions: 4360-4370 Å, containing lines of 12CH and 13CH molecules, and 7994-8020 Å containing 12CN and 13CN molecule lines. Unfortunately, our spectra in the
8000 Å region are strongly contaminated by telluric H2O lines. In particular, the most
prominent 13CN feature at
8004 Å in the spectrum of HD 10613 is blended by a strong telluric H2O 8007.5 Å line. Although we eliminated telluric lines by dividing our spectra by the spectrum of a hot high-rotating star, any uncertainties in telluric line treatment strongly
affect the derived value of 12C/13C ratio. This is why the determination of the carbon isotopic ratio is mainly based on 13CH lines in the 4360 Å spectral region. We consider three 13CH features at 4363.8, 4366.1, and 4367.2 Å. The derived carbon isotopic ratios are
12C/13C =
for the HD 10613 and
12C/13C =
for BD+04
.
Lithium abundance was derived from the Li I 6708 Å resonance doublet. In our calculations we included in the line list the lines of Ce, Nd, and Sm in the vicinity of the Li I line from the D.R.E.A.M. database. The Ce and Nd abundances determined in this work were used. The CN lines in the vicinity of the Li I doublet were included in the line list. The wavelengths and oscillator strengths for the individual hyperfine and isotope components of the lithium lines were taken from Smith et al. (1998) and Hobbs et al. (1999). The solar 6Li/7Li isotopic ratio (6Li/7Li = 0.081) was adopted in synthetic spectrum calculations.
Table 4:
Abundance in the log
(H) = 12.0 scale and in the notation [X/Fe].
3.4 Abundance uncertainties
Tables 5 and 6 show that neutral elements are rather sensitive to temperature variations while single ionized elements are sensitive to the variations in
.
In the case of the elements whose abundance is based on stronger lines, such as barium, the error introduced by the microturbulence is significant. For the elements analyzed via spectrum synthesis the same
technique was used, varying
,
and
,
then independently computing the abundance changes introduced by the variation of the above atmospheric parameters. They are also included in Tables 5 and 6.
The abundance uncertainties due to the errors in the equivalent width measurements were computed from an expression provided by Cayrel (1988). The errors in the equivalent widths are set, essentially, by the signal-to-noise ratio and the spectral resolution. In our case, having
and a typical S/N ratio of 150, the expected uncertainties in the equivalent
widths are about 2-3 mÅ. These error estimates have been applied to the measured
s and the corresponding changes in the element abundances are listed in Col. 5 of Tables 5 and 6.
We also estimated the influence of model errors, such as uncertainties in the effective temperatures and surface gravities, on the derived CNO abundances. Moreover, as we have mentioned above, abundances of the CNO elements are interdependent, so uncertainties in the oxygen abundance
determination affect the carbon abundance and vice versa. Uncertainties in the carbon abundance result in variation of nitrogen abundances, since the CN molecular lines were used for the N abundance determination. The variations of the abundance due to changes in effective temperature (
120 K), surface gravity (
0.2 dex) and C, N, and O abundances are
summarized in Tables 8 and 9 for HD 10613 and BD+04
2466. In the last column we present the resulting abundance uncertainties,
,
calculated as the square root of the squares of the various sources of uncertainty. Derived CNO abundances are weakly sensitive to the variations of the microturbulent velocity since weak lines were used for their determination. The other source of uncertainty in the molecular line analysis is the uncertainty in the molecular constants, mainly the dissociation energy of the CN molecule which is not yet well known (Lambert 1994). Our tests showed that variations of the CN molecule dissociation energy of
eV resulted in variations of nitrogen abundance
dex. Calculations of the carbon isotopic ratios do not depend on the uncertainties in the C and N abundances and molecular parameters. The errors in the 12C/13C determinations
are mainly due to uncertainties in the observed spectra, such as possible contamination by unidentified atomic or molecular lines, or uncertainties in the continuum placement.
Table 5:
Abundance uncertainties of HD 10613. The second column gives the variation of the abundance caused by the variation in
.
The other columns refer, respectively, to the variations due to
,
and
.
The sixth column gives the compounded rms uncertainty of the second to fifth columns. The last column gives the observed abundance dispersion for those elements which abundances were derived using more than three lines.
Table 6:
Abundance uncertainties of BD+04
2466. The second column gives
the variation of the abundance caused by the variation in
.
The other columns refer to the variations due to
,
and
.
The sixth column gives the compounded rms uncertainty of the second to fifth columns. The last column gives the observed abundance dispersion for those elements whose abundances were derived using more than three lines.
Table 7: Influence of errors on the CNO abundances derived for HD 10613.
Table 8:
Influence of errors on the CNO abundances derived for BD+04
2466.
4 Discussion
4.1 Spectral type and distance of HD 10613 and BD+04
2466
4.1.1 HD 10613
Previous spectroscopic observations of HD 10613 were performed by MacConnel et al. (1972) and Lu (1991) with photographic plates. Section 3.2 showed that the computed temperature is similar to the one found by these authors. MacConnel et al. (1972) classified HD 10613 as a K0 star and Lu (1991) as a K1 III star.
The relation between temperature, gravity, mass, V magnitude, interstellar absorption (AV), and the bolometric correction (BC) is given by:
![]() |
(1) |
Inserting the values of
| (2) |
Considering V=9.6 (MacConnel et al. 1972) and assuming AV=0.0 for a halo star and BC=-0.25, which is the bolometric correction given by Alonso et al. (1999) for giant stars with metallicity of [Fe/H] = -1.0, Eq. (2) then gives
![]() |
Figure 4:
Abundance pattern of HD 10613 a) and of BD+04 |
| Open with DEXTER | |
Our spectroscopic gravity determined from ionization equilibrium agrees well with that derived using the distance given by Mennessier et al. (1997) of 524 pc. HD 10613 displays characteristics of a halo object, as was already claimed by Goméz et al. (1997). It is a low metallicity object and has high radial velocity and high galactic latitude (see Table 2).
4.1.2 BD+04
2466
BD+04
2466 was noticed as a metal-poor star by Bond (1980) after a objective-prism survey and was later classified as a G5 star by Ruelas-Mayorga (1997). Section 3.2 showed that the derived temperature is similar to the spectral classification given above.
Inserting the values of
= 5100 K and
= 1.8, and assuming for the mass
,
Eq. (1) becomes
| (3) |
Considering V=10.5 (Luck & Bond 1991) and assuming AV=0.0 for a halo star and BC=-0.27, which is the bolometric correction given by Alonso et al. (1999) for giant stars with metallicity of [Fe/H] = -2.0, Eq. (2) then gives
Table 4 shows that BD+04
2466 is a CH star, since its carbon-to-oxygen ratio C/O
1.0. In fact, with an absolute magnitude of
MV = -1.05, this value lies in the range of other CH stars having, according to Table IV of Hartwick & Cowley (1985), MV values between -0.5 and -2.1. Like all the CH stars, BD+04
2466 displays characteristics of the halo population: low metallicity, high radial velocity and high galactic latitude.
4.2 Abundances
Below we discuss the abundance pattern of studied stars comparing it with previous studies done for some stars in the halo, and also with the abundance patterns of chemically peculiar stars where the heavy-element overabundances have already been reported in the literature. Figure 4 shows the abundance pattern of both stars analyzed in this work.
4.2.1 The log C/N - log O/N diagram
In Fig. 5 we show the
ratio versus the
ratio for several classes of chemically peculiar objects for which CNO abundances have already been calculated. The solid line represents the C/O = 1.0. In addition, the classical galactic carbon stars as well as the post-AGB stars were included in the diagram with the aim to show where the carbon enriched objects lie. Since barium stars are also giants but with some degree of carbon enrichment, its position in the
versus the
diagram should not be the same as the non-enriched GK giants.
![]() |
Figure 5:
Relative abundance O/N versus C/N. Disk carbon stars ( green star shaped points); GK giants ( upside-down ``Y''); post-AGB stars enriched in the s-process elements ( blue filled triangles); barium giants ( red open squares); CH stars ( blue open polygons); subgiant CH stars ( red plus sign). The stars analyzed in this work HD 10613 ( filled black circle) and BD+04 |
| Open with DEXTER | |
The position of HD 10613 in Fig. 5 in the right upper corner, but at the left of the C/O = 1 line, gives support for the classification of this star as a barium star. More interesting is the
position of BD+04
2466 in this diagram. We can see that it displays light element abudance ratios that are similar to those of CH stars already analyzed (Vanture 1992b) despite the scatter seen for such stars.
4.2.2 Nitrogen and oxygen
Abundance surveys of dwarf stars show that there is no trend for the [N/Fe] ratio versus [Fe/H], that is, in the metallicity range +0.3 > [Fe/H] > -2.0 the [N/Fe] is
0.0 (Clegg et al. 1981; Tomkin & Lambert 1984; Carbon et al. 1987). However, as a star becomes giant, due to deepening of its convective envelope, nuclear processed material is brought from the interior to the outer layers of the star changing the surface composition. As
a consequence of the first dredge-up process, the abundance of 12C is reduced and the abundance of nitrogen is enhanced (Lambert 1981).
In the barium giant HD 10613 the [N/Fe] ratio is 0.33
0.25. This ratio is similar to that found in other previous studies of barium giant, a mean
ratio already obtained is 0.44
0.18, 0.58
0.16, 0.47
0.12 and 0.34
0.36 respectively from Sneden et al. (1981), Smith (1984), Barbuy et al. (1992) and Allen & Barbuy (2006). In addition, the value of [N/Fe] ratio for HD 10613 is also similar to the same ratio observed in G and K giants of 0.37
0.07 (Lambert &
Ries 1981).
The [N/Fe] ratio in BD+04
2466 is very high, 1.1
0.26. A similar ratio has been found for the CH stars analyzed by Vanture (1992c), 1.3
0.6. Like HD 206983 (Drake & Pereira 2008) this large value of the [N/Fe] ratio in BD+04
2466 is taken as an evidence of the first dredge-up as well as an efficiency of mixing since it is a metal-poor star.
The oxygen abundances in both stars follow the same trend as seen for halo stars of such metallicity. The mean [O/Fe] for a star with a metallicity in the range between -1.0 and -2.0 is
+0.5 (Masseron et al. 2006).
![]() |
Figure 6: 12C/16O versus 12C/13C ratios for several classes of stars and the stars analyzed in this work. Symbols have the same meaning as in Fig. 5. The solid lines represent the addition of pure 12C to 12C/16O and 12C/13C ratios which are found at the bottom of the GKM giants location. |
| Open with DEXTER | |
4.2.3
C/
C ratio
In Fig. 6, we show the 12C/16O versus 12C/13C. In this figure we show the stars analyzed in this work together with the same classes of stars of Fig. 5, the GK giants, the disk carbon stars, the barium giants, the CH stars and subgiant CH stars. The two straight lines whose values were taken from Smith & Lambert (1990) represent the addition of 12C material on the atmosphere of a star, in a region of the diagram of Fig. 6, one starting at (12C/13C, 12C/16O) = (10, 0.4) and the other at (12C/13C, 12C/16O) = (20, 0.3). According to these authors, an increase of 12C by 2.5 times is necessary to change an M-type star to C-type star, as expected by the third dredge-up. Then, these two straight lines represent the limits given by the distribution of M stars where an addition of 12C in their atmospheres would change them from M-stars to C-stars (Smith & Lambert 1990).
In Fig. 6 barium stars (red open squares) occupy a region between the GK-giants and C stars. They closely follow the sequence which GK giants follow passing through the S and SC stars to become a carbon star along the TP-AGB phase. In CH subgiants the 12C/13C ratio has been investigated by Sneden (1983) and Drake & Pereira (2007). These two studies
show that the 12C/13C ratio lies between 20 and 40. Compared to giants, this is taken as an evidence that the first dredge-up has not yet started in these stars. In fact, in
Eri, a subgiant analyzed by Lambert & Ries (1981), the 12C/13C ratio is greater than 50. In normal giants the 12C/13C ratio is 17.5
0.2 (Lambert & Ries
1981), which is close to the predictions, 20-30 (Iben & Renzini 1983). The
position of CH subgiants in Fig. 6, between the normal GK giants and the carbon stars, also suggests that the CH subgiant stars may have acquired substantial amounts of 12C from a S- or N-type star with 12C/13C ratio of 20-100 (Smith et al. 1993). According to these
authors the 12C/13C ratio observed in the CH subgiants would be consistent with the hypothesis that the CH subgiants evolve into barium giants.
The 12C/13C ratio in barium giants has been investigated by Smith (1984, 1992), Barbuy et al. (1992), Sneden et al. (1981) and Drake & Pereira (2008) and in CH stars by Vanture (1992b). For barium giants the 12C/13C ratio lies between 8 and 20. For the CH stars, Vanture (1992c) showed that they could be divided into two groups, according to the 12C/13C ratio, some having 12C/13C
3.0 and others with 12C/13C
25.0. Inspecting Fig. 6, it seems that, like the CH stars, the barium giants could also be divided into two groups according to their 12C/13C ratios, a few having 12C/13C between 5 and 10 and a some having 12C/13C
20-25. Those that have lower carbon isotopic ratios lie leftward of
the upper straight line that divides an M stars from C stars. Probably, but this remains to be verified when the masses of barium stars become available, that division in the 12C/13C ratios maybe related to mass.
In barium giants, the low carbon isotopic ratio is currently explained by two mixing episodes, the first dredge-up and the mixing due to inversion of the mean molecular weight (Barbuy et al. 1992). This non-canonical mixing or thermohaline convection has been suggested as a possible source of mixing while the star is still on the main sequence or at the subgiant phase, before the occurrence of the first dredge-up, since the C-rich material, which is deposited at the surface of an accreting star during the mass transfer, has a mean molecular weight greater than that of the unevolved star (Stancliffe et al. 2007; Denissenkov & Pinsonneault 2008).
The two stars analyzed in this work, with 12C/13C = 16 (HD 10613) and 15 (BD+04
2466), add only two data points in this diagram so that a determination of the 12C/13C ratio in barium stars would be very important to understand the physics of the dredge-up and mixing phenomena in these binary systems.
4.2.4 Li
For the two stars analyzed in this work, we determined upper limits of lithium abundance. The Li abundance of HD 10613 is
and that of BD+04
2466 is
.
Creation of the D.R.E.A.M. database permitted to identify various rare-earth-element lines contributing to the absorption feature at 6708 Å in the spectra of the s-process element enriched stars. Thus, the line at 6708.099 Å in the spectra of the low-mass post-AGB stars enriched in s-process elements considered previously as a ``shifted Li line'' (Za
s et al. 1995; Reddy et al. 1997, 1999, 2002) was identified as the Ce II transition at 6708.099 Å (Reyniers et al. 2002). Both stars, HD 10613 and BD+04
2466, clearly show this line in the spectra.
However, the feature at 6707.740 Å found in the spectra of barium stars by Lambert et al. (1993) is still not identified. This line is clearly observed in the spectrum of the more metal-deficient star BD+04
2466. We were unable to fit this feature with the line of an ion of a heavy element, supposed by Lambert et al. (1993) to be a Ce II line, using the line parameter values (the oscillator strength and the excitation potential) suggested by Lambert et al. (1993) and the cerium abundance of BD+04
2466 obtained in this work. We included the lines of the rare-earth elements identified around the Li I line by Shavrina et al. (2003) in the spectrum of the roAp star HD 101065 (Przybylski's star) highly enriched in the rare-earth elements. However, the profile of the absorption feature at 6708 Å cannot be fitted convincingly. Thus, creation of a complete line list in the vicinity of the Li I 6708 Å line which could permit a reliable determination of the lithium abundance in the s-process enriched stars remains an open problem.
4.2.5 Other elements: Na to Zn and Eu
The abundances of light odd elements, Na and Al, are usually referenced to Mg rather than Fe, because the elements of a lighter group are thought to be synthesized by carbon burning in massive stars while Fe is mainly produced by explosive silicon burning. For a sample of dwarfs and
giants with similar metallicity analyzed by Gratton & Sneden (1987), the typical ratio at [Fe/H]
-1.0 is [Na/Mg] = -0.5. For HD 10613 we obtained [Na/Mg] = -0.43. In BD+04
magnesium was not determined. Sodium has a typical abundance for a [Fe/H]
-2.0 star (Fulbright 2002).
The [
/Fe] ratios seen in HD 10613 and in BD+04
2466 are typical of halo stars of the same metallicity (Carretta et al. 2002; Ryan et al. 1991). The mean of [
Mg, Si, Ca, Ti
/Fe] for HD 10613 is 0.23
0.05 and for BD+04
2466 (without Mg) is 0.44
0.33.
Nickel, which is expected to follow iron, does indeed with [Ni/Fe] = 0.00 and -0.20 respectively for HD 10613 and BD+04
2466. The [Ni/Fe] ratio stays close to 0.0 in a metallicty range from -2.0 to 0.0 (Jonsell et al. 2005). In the metallicity range -3.0
[Fe/H]
0.0 the [Sc/Fe] ratio does not exhibt any trend (Carretta et al. 2002) and the stars analyzed in
this work confirm this conclusion. The abundance of chromium also shows the absence of any trend in metal-poor stars. For BD+04
2466, the [Cr/Fe] ratio has a typical value for a metal-poor star of around [Fe/H]
-2.0. The Mn deficiency is another indication that HD 10613 and BD+04
2466 are halo stars (Gratton 1989; Carretta 2002).
Copper and zinc have been analyzed by Sneden et al. (1991) for disk and halo stars. In HD 10613 copper is deficient and follows the trend observed by these authors for a [Fe/H] = -1.0 metallicity star. The zinc abundance in HD 10613 also follows the trend seen in the metallicity range between -2.5 and -0.5 while in BD+04
2466 zinc is slightly above the mean value given by Sneden et al. (1991).
The abundance of Eu seems to be in good agreement for a metal-poor star with the metallicity of about [Fe/H]
-1.0, as is the case of HD 10613. For a sample of halo stars (Gratton & Sneden 1994) the [Eu/Fe] ratio for a metallicity of [Fe/H] = -1.0 is +0.5. The production of Eu is dominated by the r-process and is not expected to be enhanced in these s-process enriched
stars.
![]() |
Figure 7:
Diagram of [s/Fe] versus [Fe/H] for several classes of chemically peculiar binary stars. Barium giants ( red open squares); CH stars ( blue open polygons); subgiant CH stars ( red plus sign); yellow-symbiotics ( green filled diamonds); BD+75 |
| Open with DEXTER | |
![]() |
Figure 8:
Diagram of [C/Fe] versus [Fe/H]. Symbols have the same meaning as in Fig. 7. The solid line is the mean
|
| Open with DEXTER | |
![]() |
Figure 9:
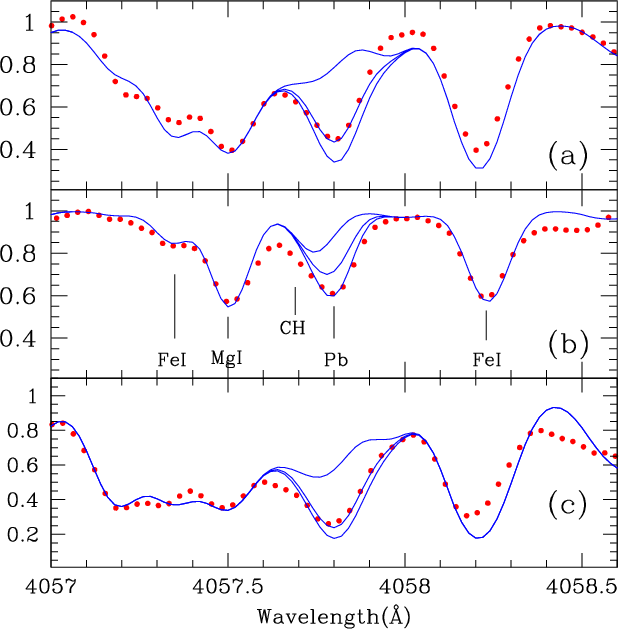
Observed (dotted red line) and synthetic (solid blue line) spectra in the region around the Pb I line at 4057.8 Å for the stars HD 10613 a), BD+04 |
| Open with DEXTER | |
![]() |
Figure 10: The behaviour of [Pb/Ce] ratio with metallicity for the stars analyzed in this work and HD 206983. Symbols have the same meaning as in Fig. 7, except for the CEMP star HE 0024-2523 for which there is no available [Pb/Ce] ratio. HD 206983 corresponds to the red open square located at [Fe/H] = -1.43. |
| Open with DEXTER | |
4.2.6 Carbon and s-process elements
Figure 7 shows the [s/Fe] ratios for HD 10613 and BD+04
2466 where ``s'' represents the mean of the elements created by slow neutron capture reactions (s-process): Y, Zr, Ba, La, Ce, and Nd. This figure shows the [s/Fe] ratios for the barium stars (giants and dwarfs), the yellow symbiotic stars, the CH stars and the CEMP stars. The definition of ``s'' varies from author to author and in some cases depends on the quality and/or on the wavelength range of the available spectra. There are six CEMP stars that are binaries: CS 22942-019, CS 22948-027, CS 29497-030, CS 29497-034,
CS 22964-161, and HE 0024-2523, the data of which concerning their carbon and heavy-element (Z > 56) overabundances and binarity were taken from the recent results of Preston & Sneden (2001), Sivarani et al. (2004), Barbuy et al. (2005), Lucatello et al. (2003), Thompson et al. (2008), Aoki et al. (2002), and Hill et al. (2000). As we can see from this figure, both HD 10613 and BD+04
2466 are enhanced in the s-process elements when compared to the same ratio for metal-poor field stars. In fact, the
[element/Fe] ratio for each of these elements in HD 10613 and in BD+04
2466 (Table 4) is much higher than the same [element/Fe] ratios at the metallicities of HD 10613 and BD+04
2466 when compared to a sample of metal-poor dwarfs, subgiant and giant stars analyzed by Gratton & Sneden (1994) and Mishenina & Kovtyukh (2001). The mean values of [Y/Fe], [Zr/Fe], [Ba/Fe], [La/Fe], [Ce/Fe] and [Nd/Fe] at the metallicity of HD 10613 obtained from these studies are approximately, -0.2, +0.2, 0.0, 0.0, +0.2, and +0.2. At [Fe/H] = -2.0, these [element/Fe] ratios do not change significantly.
Figure 7 also shows that the [s/Fe] ratio increases as the metallicity decreases. This is a consequence of the operation of the reaction 13C(
)16O since neutron exposure is anti-correlated with metallicity (Clayton 1988; Wallerstein 1997). As it was discussed by Busso et al. (2001) the scatter seen down to [Fe/H] < -1.0 means that the occurrence of the s-process at low metallicities is very efficient and may lead to the
formation of lead. As we will see in the next section, BD+04
2466 is in fact a ``lead star'' according to the definition of Van Eck et al. (2003).
Figure 8 shows the [C/Fe] abundance ratio plotted as a function of the metallicity given by [Fe/H] for the same objects as in Fig. 7. This figure shows carbon overabundance for chemically peculiar objects which are members of binary systems and the CEMP stars as well.
4.2.7 Pb
We also determined the lead abundance for HD 10613 and BD+04
2466 from the Pb I line at
4057.81 Å. The line data were taken from Van Eck et al. (2003) which include isotopic shifts and hyperfine splitting. Figure 9 shows the observed and synthetic spectra for the stars analyzed in this work. In addition, we derived the lead abundance for the metal-poor barium star previously analyzed, HD 206983 (Junqueira & Pereira 2001; Drake & Pereira 2008).
In Fig. 10 we follow the Van Eck et al. (2003) study and we show the [Pb/Ce] ratio as a function of metallicity ([Fe/H]). In this figure we plot the two stars analyzed in this work, HD 206983 (the open red square at [Fe/H] = -1.43), the CH stars analyzed by Van Eck et al. (2003), CEMP stars which are members of binary systems (except for HE 0024-2523 for which the cerium abundance was not determined) and the barium giants and dwarfs from Allen & Barbuy (2006). The solid line represents the prediction from the standard partial mixing (PM) model as given by Goriely & Mowlavi (2000). The position of BD+04
2466 in this diagram, close to other CH stars whose lead abundances were already determined, clearly indicates that it is another ``lead star''. Although there is a gap in this diagram for metallicities
between -2.0 and -1.0, the position of HD 206983 is interesting because it seems to follow the theoretical predictions for metallicities higher than -2.0.
5 Conclusions
The main conclusions from our abundance analysis employing high-resolution optical spectra of HD 10613 and BD+04
2466 in order to obtain the abundance pattern and carbon isotopic ratio can be summarized as follows:
- 1.
- HD 10613 is another metal-poor barium star, not already shown as a binary system. However, its luminosity as well as its position in the diagrams showing abundance ratios versus metallicity give support to the interpretation that the observed overabundances of carbon and s-process
elements in the photosphere of this star are due to mass transfer from a companion, formerly a TP-AGB star.
- 2.
- BD+04
2466 is a CH star since its carbon-to-oxygen ratio is larger than unity (C/O = 3.63). In fact, BD+04
2466 displays the main characteristics of the mass-transfer paradigm, i.e. presents overabundances of the elements created by the slow neutron capture reactions
and carbon as well and has already been proved to be a member of a binary system (Jorissen et al. 2005). It was also shown that BD+04
2466 is another ``lead star'', since its [Pb/Ce] ratio closely follows the theoretical predictions for a star at such metallicity. In fact,
BD+04
2466 lies in the same region of Fig. 10 occupied by some CH stars that have already been classified as ``lead stars''.
Finally, it is interesting to note that BD+04
2466 is another star belonging to the LB91 short list of four stars categorized as ``metal-deficient barium stars'' that had its evolutionary status modified after the determination of the light element and lead abundances. Previous studies of other two stars from this list, HD 104340 and BD+03
2688, showed that they are metal-poor AGB stars (Drake & Pereira 2008; Jorissen et al. 2005).
Acknowledgements
This research has made use of the SIMBAD database, operated at CDS, Strasburg, France.
References
- Allen, D. M., & Barbuy, B. 2006, A&A, 454, 895 [NASA ADS] [CrossRef] [EDP Sciences] (In the text)
- Allende Prieto, C., Lambert, D. L., & Asplund, M. 2001, ApJ, 556, L63 [NASA ADS] [CrossRef] (In the text)
- Alonso, A., Arribas, S., & Martínez-Roger, C. 1999, A&AS, 140, 261 [NASA ADS] [CrossRef] [EDP Sciences] (In the text)
- Aoki, W., Ryan, S. G., Norris, J. E., et al. 2002, ApJ, 580, 1149 [NASA ADS] [CrossRef] (In the text)
- Barbuy, B., Jorissen, A., Rossi, S. C. F., & Arnould, M. 1992, A&A, 262, 216 [NASA ADS] (In the text)
- Barbuy, B., Spite, M., Spite, F., et al. 2005, A&A, 429, 1031 [NASA ADS] [CrossRef] [EDP Sciences] (In the text)
- Bauschlicher, C. W., Langhoff, S. R., & Taylor, P. R. 1988, ApJ, 332, 531 [NASA ADS] [CrossRef] (In the text)
- Bessell, M. S., Castelli, F., & Plez, B. 1998, A&A, 333, 231 [NASA ADS]
- Biemont, E., & Godefroid, M. 1980, A&A, 84, 361 [NASA ADS]
- Biemont, E., Grevesse, N., Hannaford, P., & Lowe, R. M. 1981, ApJ, 248, 867 [NASA ADS] [CrossRef]
- Bond, H. E. 1980, ApJS, 44, 517 [NASA ADS] [CrossRef] (In the text)
- Burbidge, E. M., Burbidge, G. R., Fowler, W. A., & Hoyle, F. 1957, RvMP, 29, 547 [NASA ADS] [CrossRef] (In the text)
- Busso, M., Gallino, R., Lambert, D. L., Travaglio, C., & Smith, V. V. 2001, ApJ, 557, 802 [NASA ADS] [CrossRef] (In the text)
- Carbon, D. F., Barbuy, B., Kraft, R. P., et al. 1987, PASP, 99, 335 [NASA ADS] [CrossRef] (In the text)
- Carretta, E., Gratton, R., Cohen, J. G., Beers, T. C., & Christlieb, N. 2002, AJ, 124, 481 [NASA ADS] [CrossRef] (In the text)
- Catchpole, R. M., Robertson, B. S. C., & Warren, P. R. 1977, MNRAS, 181, 391 [NASA ADS] (In the text)
- Cayrel, R. 1988, Data Analysis, in The Impact of Very High S/N Spectroscopy on Stellar Physics, ed. G. Cayrel de Strobel, & M. Spite (Dordrecht: Kluwer), 345 (In the text)
- Clayton, D. D. 1988, MNRAS, 234, 1 [NASA ADS] (In the text)
- Clegg, R. E. S., Tomkin, J., & Lambert, D. L. 1981, ApJ, 250, 262 [NASA ADS] [CrossRef] (In the text)
- Davis, S. P., & Phillips, J. G. 1963, The Red System of the CN molecule (Berkley and Los Angeles: Univ. of California Press), 214 [NASA ADS] (In the text)
- del Peloso, E. F., Cunha, K., da Silva, L., & Porto de Mello, G. F. 2005, A&A, 441, 1149 [NASA ADS] [CrossRef] [EDP Sciences] (In the text)
- Denissenkov, P. A., & Pinsonneault, M. 2008, ApJ, 679, 1541 [NASA ADS] [CrossRef] (In the text)
- Depagne, E., Hill, V., Spite, M., et al. 2002, A&A, 390, 187 [NASA ADS] [CrossRef] [EDP Sciences]
- Drake, J. J., & Smith, G. 1991, MNRAS, 250, 89 [NASA ADS]
- Drake, N. A., & Pereira, C. B. 2007, CNO and Li abundances in Barium-enriched stars, in Convection in Astrophysics, ed. F. Kupka, I. Roxburgh, & K. Chan, 304 (In the text)
- Drake, N. A., & Pereira, C. B. 2008, AJ, 135, 1070 [NASA ADS] [CrossRef] (In the text)
- Dwivedi, P. H., Branch, D., Huffaker, J. N., & Bell, R. A. 1978, ApJS, 36, 573 [NASA ADS] [CrossRef] (In the text)
- Edvardsson, B., Andersen, J., Gustafsson, B., et al. 1993, A&A, 275, 101 [NASA ADS]
- François, P., Depagne, E., Hill, V., et al. 2003, A&A, 403, 1105 [NASA ADS] [CrossRef] [EDP Sciences] (In the text)
- Fulbright, J. P. 2002, AJ, 123, 404 [NASA ADS] [CrossRef] (In the text)
- Gómez, A. E., Luri, X., Grenier, S., et al. 1997, A&A, 319, 881 [NASA ADS] (In the text)
- Goriely, S., & Mowlavi, N. 2000, A&A, 362, 599 [NASA ADS] (In the text)
- Gratton, R. G. 1989, A&A, 208, 171 [NASA ADS] (In the text)
- Gratton, R. G., & Sneden, C. 1987, A&A, 178, 179 [NASA ADS] (In the text)
- Gratton, R. G., & Sneden, C. 1988, A&A, 204, 193 [NASA ADS]
- Gratton, R. G., & Sneden, C. 1994, A&A, 287, 927 [NASA ADS] (In the text)
- Hartwick, F. D. A., & Cowley, A. P. 1985, AJ, 90, 2244 [NASA ADS] [CrossRef] (In the text)
- Hannaford, P., Lowe, R. M., Grevesse, N., Biemont, E., & Whaling, W. 1982, ApJ, 261, 736 [NASA ADS] [CrossRef]
- Hill, V., Barbuy, B., Spite, M., et al. 2000, A&A, 353, 557 [NASA ADS] (In the text)
- Hobbs, L. M., Thorburn, J. A., & Rebull, L. M. 1999, ApJ, 523, 797 [NASA ADS] [CrossRef] (In the text)
- Huber, R. P., & Herzberg, G. 1979, Constants of Diatomic Molecules (New York: Van Nostrand) (In the text)
- Iben, I., & Renzini, A. 1983, ARA&A, 21, 271 [NASA ADS] [CrossRef] (In the text)
- Jonsell, K., & Edvardsson, B. 2005, A&A, 440, 321 [NASA ADS] [CrossRef] [EDP Sciences]
- Jørgensen, U. G., Larsson, M., Iwamae, A., & Yu, B. 1996, A&A, 315, 204 [NASA ADS] (In the text)
- Jorissen, A., Zacs, L., Udry, S., Lindgren, H., & Musaev, F. A. 2005, A&A, 441, 1135 [NASA ADS] [CrossRef] [EDP Sciences] (In the text)
- Junqueira, S., & Pereira, C. B. 2001, AJ, 122, 360 [NASA ADS] [CrossRef] (In the text)
- Kaufer, A., Stahl, O., Tubbesing, S., et al. 1999, The Messenger, 95, 8 [NASA ADS] (In the text)
- Kovacs, I. 1969, Rotational Structure in the Spectra of Diatomic Molecules (Budapest: Akademiai Kiado) (In the text)
- Kurucz, R. L. 1993, CD-ROM 13 [CrossRef], Atlas9 Stellar Atmosphere Programs and 2 km s-1 Grid (Cambridge: Smithsonian Astrophys. Obs) (In the text)
- Lambert, D. L. 1978, MNRAS, 182, 249 [NASA ADS] (In the text)
- Lambert, D. L. 1981, in Physical Process in Red Giants, ed. I. Iben, & A. Renzini (Dordrecht: D. Reidel Publ. Co.), 115 (In the text)
- Lambert, D. L. 1994, Stellar photospheres and molecules - A view from the bridge, in Molecules in the Stellar Environment, IAU Coll., 146, 1 (In the text)
- Lambert, D. L., & Ries, L. M. 1981, ApJ, 248, 228 [NASA ADS] [CrossRef] (In the text)
- Lambert, D. L., Gustafsson, B., Eriksson, K., & Hinkle, K. H. 1986, ApJS, 62, 373 [NASA ADS] [CrossRef] (In the text)
- Lambert, D. L., Smith, V. V., & Heath, J. 1993, PASP, 105, 568 [NASA ADS] [CrossRef] (In the text)
- Lambert, D. L., Heath, J. E., Lemke, M., & Drake, J. 1996, ApJS, 103, 183 [NASA ADS] [CrossRef] (In the text)
- Lu, P. K. 1991, AJ, 101, 2229 [NASA ADS] [CrossRef] (In the text)
- Lucatello, S., Gratton, R., Cohen, J. G., et al. 2003, AJ, 125, 875 [NASA ADS] [CrossRef] (In the text)
- Luck, R. E., & Bond, H. E. 1991, ApJS, 77, 515 [NASA ADS] [CrossRef] (In the text)
- MacConnell, D. J., Frye, R. L., & Upgren, A. R. 1972, AJ, 77, 384 [NASA ADS] [CrossRef] (In the text)
- Martin, G. A., Fuhr, J. R., & Wiese, W. L. 1988, J. Phys. Chem. Ref. Data, 17, 4
- Masseron, T., van Eck, S., Famaey, B., et al. 2006, A&A, 455, 1059 [NASA ADS] [CrossRef] [EDP Sciences] (In the text)
- Mennessier, M. O., Luri, X., Figueras, F., et al. 1997, A&A, 326, 722 [NASA ADS] (In the text)
- Mishenina, T. V., & Kovtyukh, V. V. 2001, A&A, 370, 951 [NASA ADS] [CrossRef] [EDP Sciences] (In the text)
- Pereira, C. B. 2005, AJ, 129, 2469 [NASA ADS] [CrossRef] (In the text)
- Pereira, C. B., & Junqueira, S. 2003, A&A, 402, 1061 [NASA ADS] [CrossRef] [EDP Sciences] (In the text)
- Phillips, J. G., & Davis, S. P. 1968, The Swan System of the C2 Molecule (Berkeley and Los Angeles: University of California Press) (In the text)
- Preston, G. W., & Sneden, C. 2001, ApJ, 122, 1545 [NASA ADS] (In the text)
- Reddy, B. E., Parthasarathy, M., Gonzalez, G., & Bakker, E. J. 1997, A&A, 328, 331 [NASA ADS] (In the text)
- Reddy, B. E., Bakker, E. J., & Hrivnak, B. J. 1999, ApJ, 524, 831 [NASA ADS] [CrossRef] (In the text)
- Reddy, B. E., Lambert, D. L., Gonzalez, G., & Yong, D. 2002, ApJ, 564, 482 [NASA ADS] [CrossRef] (In the text)
- Reddy, B. E., Tomkin, J., Lambert, D. L., & Allende Prieto, C. 2003, MNRAS, 340, 304 [NASA ADS] [CrossRef]
- Reyniers, M., Van Winckel, H., Biémont, E., & Quinet, P. 2002, A&A, 395, L35 [NASA ADS] [CrossRef] [EDP Sciences] (In the text)
- Reyniers, M., Van Winckel, H., Gallino, R., & Straniero, O. 2004, A&A, 417, 269 [NASA ADS] [CrossRef] [EDP Sciences]
- Ruelas-Mayorga, A. 1997, RMxAA, 33, 9 [NASA ADS] (In the text)
- Ryan, S. G., Norris, J. E., & Bessell, M. S. 1991, AJ, 102, 303 [NASA ADS] [CrossRef] (In the text)
- Ryan, S. G., Norris, J. E., & Beers, T. C. 1996, ApJ, 471, 254 [NASA ADS] [CrossRef] (In the text)
- Schadee, A. 1964, BAN, 17, 311 [NASA ADS] (In the text)
- Shavrina, A. V., Polosukhina, N. S., Pavlenko, Ya. V., et al. 2003, A&A, 409, 707 [NASA ADS] [CrossRef] [EDP Sciences] (In the text)
- Sivarani, T., Bonifacio, P., Molaro, P., et al. 2004, A&A, 413, 1073 [NASA ADS] [CrossRef] [EDP Sciences] (In the text)
- Smith, V. V. 1984, A&A, 132, 326 [NASA ADS] (In the text)
- Smith, V. V. 1992, The barium stars, in Evolutionary Process in Interacting Binary Stars (Dordrecht: D. Reidel Publ. Co.), IAU Symp., 151, 103 (In the text)
- Smith, V. V., & Lambert, D. L. 1990, ApJS, 72, 387 [NASA ADS] [CrossRef] (In the text)
- Smith, G., Edvardsson, B., & Frisk, U. 1986, A&A, 165, 126 [NASA ADS]
- Smith, V. V., Cunha, K., Jorissen, A., & Boffin, H. M. J. 1996, A&A, 315, 179 [NASA ADS] (In the text)
- Smith, V. V., Lambert, D. L., & Nissen, P. E. 1998, ApJ, 506, 405 [NASA ADS] [CrossRef] (In the text)
- Sneden, C. 1973, Ph.D. Thesis, Univ. of Texas (In the text)
- Sneden, C. 1983, PASP, 95, 745 [NASA ADS] [CrossRef] (In the text)
- Sneden, C., & Lambert, D. L. 1982, ApJ, 259, 381 [NASA ADS] [CrossRef] (In the text)
- Sneden, C., Lambert, D. L., & Pilachowski, C. A. 1981, ApJ, 247, 1052 [NASA ADS] [CrossRef] (In the text)
- Sneden, C., Gratton, R. G., & Crocker, D. A. 1991, A&A, 246, 354 [NASA ADS] (In the text)
- Sneden, C., McWilliam, A., Preston, G. W., et al. 1996, ApJ, 467, 819 [NASA ADS] [CrossRef]
- Stancliffe, R. J., Glebbeek, E., Izzard, R. G., & Pols, O. R. 2007, A&A, 464, L57 [NASA ADS] [CrossRef] [EDP Sciences] (In the text)
- Thompson, I. B., Ivans, I. I., Bisterzo, S., et al. 2008, ApJ, 677, 556 [NASA ADS] [CrossRef] (In the text)
- Tomkin, J., & Lambert, D. L. 1984, ApJ, 279, 220 [NASA ADS] [CrossRef] (In the text)
- van Winckel, H., & Reyniers, M. 2000, A&A, 354, 135 [NASA ADS] (In the text)
- Van Eck, S., Goriely, S., Jorissen, A., & Plez, B. 2003, A&A, 404, 291 [NASA ADS] [CrossRef] [EDP Sciences] (In the text)
- Vanture, A. 1992a, AJ, 103, 2035 [NASA ADS] [CrossRef] (In the text)
- Vanture, A. 1992b, AJ, 104, 1986 [NASA ADS] [CrossRef] (In the text)
- Vanture, A. 1992c, AJ, 104, 1997 [NASA ADS] [CrossRef] (In the text)
- Wallerstein, G. 1997, RvMP, 69, 995 [NASA ADS] [CrossRef] (In the text)
- Wiese, W. L., & Martin, G. A. 1980, NSDRS-NBS, 68
- Wiese, W. L., Smith, M. W., & Miles, B. M. 1969, NBS Ref. Data. Ser.
- Wyller, A. A. 1966, ApJ, 143, 828 [NASA ADS] [CrossRef] (In the text)
- Za
s, L., Klochkova, V. G., & Panchuk, V. E. 1995,
MNRAS, 275, 764 [NASA ADS]
(In the text)
Footnotes
- ...
2466
- Based on observations made with the 1.52 m and 2.2 m telescope at the European Southern Observatory (La Silla, Chile).
All Tables
Table 1: Observed Fe I and Fe II lines.
Table 2:
Atmospheric parameters, radial velocities and galactic latitudes of
HD 10613 and BD+04
2466.
Table 3: Other lines studied.
Table 4:
Abundance in the log
(H) = 12.0 scale and in the notation [X/Fe].
Table 5:
Abundance uncertainties of HD 10613. The second column gives the variation of the abundance caused by the variation in
.
The other columns refer, respectively, to the variations due to
,
and
.
The sixth column gives the compounded rms uncertainty of the second to fifth columns. The last column gives the observed abundance dispersion for those elements which abundances were derived using more than three lines.
Table 6:
Abundance uncertainties of BD+04
2466. The second column gives
the variation of the abundance caused by the variation in
.
The other columns refer to the variations due to
,
and
.
The sixth column gives the compounded rms uncertainty of the second to fifth columns. The last column gives the observed abundance dispersion for those elements whose abundances were derived using more than three lines.
Table 7: Influence of errors on the CNO abundances derived for HD 10613.
Table 8:
Influence of errors on the CNO abundances derived for BD+04
2466.
All Figures
![]() |
Figure 1: Sample spectra of the stars analyzed in this work. Dotted vertical lines show the transitions of Ca I 6122.23, Ti I 6126.22, Zr I 6127.48, Ni I 6128.98, Zr I 6134.57, Fe I 6137.70, Ba II 6141.73, and Fe II 6147.83. |
| Open with DEXTER | |
| In the text | |
![]() |
Figure 2:
The iron abundance derived from individual Fe I lines,
|
| Open with DEXTER | |
| In the text | |
![]() |
Figure 3:
Observed (dotted red line) and synthetic (solid blue line) spectra in the region around the C2 molecule lines at 5635 Å for the stars HD 10613 and BD+04 |
| Open with DEXTER | |
| In the text | |
![]() |
Figure 4:
Abundance pattern of HD 10613 a) and of BD+04 |
| Open with DEXTER | |
| In the text | |
![]() |
Figure 5:
Relative abundance O/N versus C/N. Disk carbon stars ( green star shaped points); GK giants ( upside-down ``Y''); post-AGB stars enriched in the s-process elements ( blue filled triangles); barium giants ( red open squares); CH stars ( blue open polygons); subgiant CH stars ( red plus sign). The stars analyzed in this work HD 10613 ( filled black circle) and BD+04 |
| Open with DEXTER | |
| In the text | |
![]() |
Figure 6: 12C/16O versus 12C/13C ratios for several classes of stars and the stars analyzed in this work. Symbols have the same meaning as in Fig. 5. The solid lines represent the addition of pure 12C to 12C/16O and 12C/13C ratios which are found at the bottom of the GKM giants location. |
| Open with DEXTER | |
| In the text | |
![]() |
Figure 7:
Diagram of [s/Fe] versus [Fe/H] for several classes of chemically peculiar binary stars. Barium giants ( red open squares); CH stars ( blue open polygons); subgiant CH stars ( red plus sign); yellow-symbiotics ( green filled diamonds); BD+75 |
| Open with DEXTER | |
| In the text | |
![]() |
Figure 8:
Diagram of [C/Fe] versus [Fe/H]. Symbols have the same meaning as in Fig. 7. The solid line is the mean
|
| Open with DEXTER | |
| In the text | |
![]() |
Figure 9:
Observed (dotted red line) and synthetic (solid blue line) spectra in the region around the Pb I line at 4057.8 Å for the stars HD 10613 a), BD+04 |
| Open with DEXTER | |
| In the text | |
![]() |
Figure 10: The behaviour of [Pb/Ce] ratio with metallicity for the stars analyzed in this work and HD 206983. Symbols have the same meaning as in Fig. 7, except for the CEMP star HE 0024-2523 for which there is no available [Pb/Ce] ratio. HD 206983 corresponds to the red open square located at [Fe/H] = -1.43. |
| Open with DEXTER | |
| In the text | |
Copyright ESO 2009
Current usage metrics show cumulative count of Article Views (full-text article views including HTML views, PDF and ePub downloads, according to the available data) and Abstracts Views on Vision4Press platform.
Data correspond to usage on the plateform after 2015. The current usage metrics is available 48-96 hours after online publication and is updated daily on week days.
Initial download of the metrics may take a while.
![\begin{figure}
\par\includegraphics[width=8.8cm,clip]{10851fig1.ps}
\end{figure}](/articles/aa/full_html/2009/12/aa10851-08/Timg20.gif)
![\begin{figure}
\par\includegraphics[width=13.8cm,clip]{10851fig2.ps}
\end{figure}](/articles/aa/full_html/2009/12/aa10851-08/Timg40.gif)
![\begin{figure}
\par\includegraphics[width=8.8cm,clip]{10851fig3.ps}
\end{figure}](/articles/aa/full_html/2009/12/aa10851-08/Timg46.gif)

![\begin{figure}
\par\includegraphics[width=12.9cm,clip]{10851fig4.ps}
\end{figure}](/articles/aa/full_html/2009/12/aa10851-08/Timg89.gif)
![\begin{figure}
\par\includegraphics[width=8.7cm,clip]{10851fig5.ps}
\end{figure}](/articles/aa/full_html/2009/12/aa10851-08/Timg99.gif)
![\begin{figure}
\par\includegraphics[width=8.7cm,clip]{10851fig6.ps}
\end{figure}](/articles/aa/full_html/2009/12/aa10851-08/Timg102.gif)
![\begin{figure}
\par\includegraphics[width=8.8cm,clip]{10851fig7.ps}
\end{figure}](/articles/aa/full_html/2009/12/aa10851-08/Timg114.gif)
![\begin{figure}
\par\includegraphics[width=8.8cm,clip]{10851fig8.ps}
\end{figure}](/articles/aa/full_html/2009/12/aa10851-08/Timg116.gif)
![\begin{figure}
\includegraphics[width=8.8cm,clip]{10851fig9.ps}
\end{figure}](/articles/aa/full_html/2009/12/aa10851-08/Timg120.gif)
![\begin{figure}
\par\includegraphics[width=9cm,clip]{10851fig10.ps}
\end{figure}](/articles/aa/full_html/2009/12/aa10851-08/Timg121.gif)