| Issue |
A&A
Volume 501, Number 1, July I 2009
|
|
|---|---|---|
| Page(s) | 157 - 169 | |
| Section | Extragalactic astronomy | |
| DOI | https://doi.org/10.1051/0004-6361/200810978 | |
| Published online | 29 April 2009 | |
Gravitational potential and X-ray luminosities of
early-type galaxies observed with XMM-Newton and Chandra![[*]](/icons/foot_motif.png)
R. Nagino - K. Matsushita
Tokyo University of Science, 1-3 Kagurazaka, Shinjyuku-ku, 162-8601 Tokyo, Japan
Received 17 September 2008 / Accepted 25 March 2009
Abstract
Aims. We study the dark matter content in early-type galaxies and investigate whether X-ray luminosities of early-type galaxies are determined by the surrounding gravitational potential.
Methods. We derived gravitational mass profiles of 22 early-type galaxies observed with XMM-Newton and Chandra.
Results. Sixteen galaxies show constant or decreasing radial temperature profiles, and their X-ray luminosities are consistent with kinematical energy input from stellar mass loss. The temperature profiles of the other 6 galaxies increase with radius, and their X-ray luminosities are significantly higher. The integrated mass-to-light ratio of each galaxy is constant at that of stars within 0.5-
,
and increases with radius, where
is the effective radius of a galaxy. The scatter of the central mass-to-light ratio of galaxies was less in K-band light. At
,
the integrated mass-to-light ratios of galaxies with flat or decreasing temperature profiles are twice the value at
,
where the stellar mass dominates, and at
,
these increase to three times the value at
.
Conclusions. This feature should reflect common dark and stellar mass distributions in early-type galaxies: within
,
the mass of dark matter is similar to the stellar mass, while within
,
the former is larger than the latter by a factor of two. In contrast, X-ray luminous galaxies have higher gravitational mass in the outer regions than X-ray faint galaxies. We describe these X-ray luminous galaxies as the central objects of large potential structures; the presence or absence of this potential is the main source of the large scatter in the X-ray luminosity.
Key words: galaxies: elliptical and lenticular, cD - galaxies: ISM - X-rays: galaxies - X-rays: ISM
1 Introduction
The bottom-up hierarchical theory of galaxy formation
predicts that galaxies should be embedded in massive dark matter halos
(e.g. Navarro et al. 1997). The presence of dark matter in spiral
galaxies has been revealed through observations of stellar rotation
curves (van Albada et al. 1985; Rubin et al. 1978). However, the study
of halos in early-type galaxies is limited due to a lack of suitable
and easy tracers such as rotation curves. Recently, observations of
stellar velocity dispersion of early-type galaxies have reached to
1-
,
and a correlation between mass-to-light ratio and optical
luminosity was found (e.g., Gerhard et al. 2001; Kronawitter et al. 2000). Here,
is
the effective radius of a galaxy. For a small
number of galaxies, mass profiles up to several
have been obtained
using test particles such as globular clusters or planetary nebulae
(e.g., Romanowsky et al. 2003; Chakrabarty & Raychaudhury 2008).
Table 1: Galaxy sample in the XMM-Newton archive data.
X-ray observations provide a powerful tool to study the shape of the
gravitational potential, and hence dark matter distributions, of
early-type galaxies. These galaxies have a hot, X-ray-emitting
interstellar medium (ISM), which is considered to be gravitationally
confined (e.g., Fukazawa et al. 2006; Matsushita 2001; Forman et al. 1985). The ISM
luminosities of early-type galaxies vary by two
orders of magnitude for the same optical B-band luminosity
(LB) (e.g., Beuing et al. 1999; Matsushita et al. 2000; Matsushita 2001; Canizares et al. 1987),
whereas optical observations indicate that these
galaxies are dynamically uniform systems
(Bender et al. 1993; Djorgovski & Davis 1987; Kronawitter et al. 2000). A key to solving this
discrepancy is the extended X-ray emissions that have been detected
around X-ray luminous early-type galaxies (Matsushita 2001; Matsushita et al. 1998).
On the basis of ROSAT data, Matsushita (2001)
discovered that, for most early-type galaxies, ISM luminosities within
the optical radius agree with the kinematical energy input from the
stellar mass loss (
). These galaxies have flat or
decreasing temperature profiles against radius. In contrast, galaxies
with ISM luminosities much larger than
show largely extended
emission with a radius of a few tens of
with positive temperature
gradients.
XMM-Newton RGS observations provided evidence of a
weak positive temperature gradient in the inner region of the ISM
in NGC 4636, which has a much
higher ISM luminosity than
(Xu et al. 2002).
The correlation between the temperature gradient and
spatial distribution was confirmed with Chandra observations
(Fukazawa et al. 2006). These features suggest that X-ray luminous early-type
galaxies commonly sit in the center of a large-scale (a few hundred
kpc) potential well, which leads to their high luminosities. Other
galaxies may lack such a large-scale potential. On the basis of the
extent of the ISM brightness, Matsushita (2001) denoted galaxies as
either X-ray extended galaxies or X-ray compact galaxies. The
gravitational mass profile of cD galaxies also shows two distinct
contributions that can be assigned to the gravitational potential of
the cD galaxy and that of the cluster (Matsushita et al. 2002). Thus,
the only way to measure the gravitational mass profile of pure
early-type galaxies is to observe the X-ray compact galaxies.
With ROSAT PSPC observations, O'Sullivan et al. (2003) found that the relation between the central stellar velocity dispersion and the temperature obtained from X-ray emission is similar to that for clusters and the relation between the X-ray luminosity and the temperature has a steep slope comparable to that found for galaxy groups.
Table 2: Observational log of the sample galaxies.
Chandra and XMM-Newton have already observed several tens of
early-type galaxies. Most of the analysis was done for X-ray luminous
and extended objects, and the number of X-ray compact galaxies with
accurately derived gravitational mass profiles is still limited. For
X-ray luminous galaxies, mass profiles are easily obtained over
(Fukazawa et al. 2006; Humphrey et al. 2006; Mathews et al. 2006). Using XMM-Newton, even
for several X-ray compact galaxies, mass profiles can be derived up to
several
(Fukazawa et al. 2006), and observed gravitational mass
profiles of X-ray extended and X-ray compact galaxies are similar when
plotted against radius in units of r200. The dark matter profiles are
well described by the NFW model (Navarro et al. 1996,1997), which is
based on numerical simulations assuming cold dark
matter (CDM) as well as galaxy clusters (Fukazawa et al. 2006;
Zappacosta et al. 2006).
Chandra observations suggested that the
shape of the X-ray isophotes is unrelated to the shape of the
gravitational potential (Diehl & Statler 2008,2007).
In this study, we obtained gravitational mass profiles of 22
early-type galaxies observed with XMM-Newton and Chandra to
investigate whether X-ray luminosities of early-type galaxies are
determined by the surrounding gravitational potential and to study
dark matter content in early-type galaxies. Throughout this paper, we
adopt the solar abundances of Anders & Grevesse (1989). Unless
otherwise specified, errors are quoted at
confidence.
2 Targets and observations
We analyzed archival data of 22 early-type galaxies with distances
less than 40 Mpc and B-band luminosities
observed with XMM-Newton. The values of LB and the
distances to the galaxies are taken from Tully (1988). The
characteristics and observational log of the sample galaxies are
summarized in Tables 1 and 2,
respectively. The sample includes 15 elliptical and 7 S0
galaxies. Eight are located in the Virgo Cluster, 2 are in the Fornax
Cluster, and the others are either in the field or in small
groups. All observations were carried out with MOS1, MOS2, and PN
together.
We also used Chandra data for 19 of the sample galaxies with good signal-to-noise ratios to derive the mass profile at their central regions. As summarized in Table 2, 15 galaxies were observed with ACIS-S, and 4 galaxies were observed with ACIS-I.
3 Data reduction
3.1 XMM-Newton
We analyzed MOS1, MOS2, and PN data of 21 galaxies. For NGC 4472, only MOS1 and MOS2 data were used, since PN data for this galaxy did not exist in the archive. We used XMMSAS version 7.0.0 for the data reduction.
We selected events with FLAG = 0 and PATTERN smaller than 4 and 12 for
the PN and MOS, respectively. A significant fraction of XMM-Newton
observations is contaminated by soft proton flares. To filter the
flares, for each
observation, we made a count rate histogram of each detector, fitted
the histogram with a Gaussian, and selected times within
of the
mean of the histogram. The total exposure times after screening the
flare events are summarized in Table 2.
The spectra were accumulated within rings centered on the center of each galaxy. Hereafter, we denote r as the projected radius from the galaxy center. We excluded point sources with the sum of MOS1 and MOS2 count rates larger than 0.01 count/s. The edetect_chain command was used to detect point sources. The response matrix file and the auxiliary response file corresponding to each spectrum were calculated using SAS version 7.0.0.
The background spectrum was calculated for each spectrum by integrating blank sky data in the same detector regions. Among deep sky observations with the XMM, we selected data with the most similar background to that of each galaxy, after screening background flare events in the same way. Each background agrees well with the data at higher energies, as shown in Fig. 1 for NGC 4636.
Table 2 also summarizes
total counts of MOS (MOS1 + MOS2) and PN within
centered on each galaxy.
Here, an annular region, 10-14
,
from the center of each galaxy was
used as a background after subtracting a blank sky data.
The total counts of sum of those of MOS and PN have a wide range from
1000 to 600 000.
We analyzed projected annular spectra of all of the sample galaxies, while
fittings of deprojected spectra were performed for thirteen
galaxies with the total counts >12 000.
3.2 Chandra
Chandra data analysis was performed with the CIAO software package, version 3.3. We excluded time regions with a high background rate. We also eliminated point sources identified with the tool wavedetect. The outer region of each data set was subtracted as background.
4 Spectral analysis and results
4.1 Spectral fit
4.1.1 Projected annular spectra
To derive the gravitational mass profiles of individual
galaxies, we need temperature and density profiles of the ISM.
First, we fitted projected annular spectra
centered on each galaxy from MOS
and PN simultaneously, except NGC 4472. To exclude
possible emission from our Galaxy and surrounding clusters, we also
subtracted the spectrum in an annular region, 10
-14
,
from the annular spectra of
each galaxy. The fitting model is a sum of a
vAPEC model (Smith et al. 2001) and a power-law model. The vAPEC
model represents thin thermal emission from the ISM, and the
power-law model represents
the contribution from unresolved low-mass
X-ray binaries (LMXBs),
where we fixed the power-law index at 1.6.
Chandra observations found that total spectra of discrete sources
in early-type galaxies are well
described with this power-law model (Blanton et al. 2001; Randall et al. 2004). The two
components were subjected to a
common absorption with fixed column density (
)
at the Galactic value
from Dickey & Lockman (1990). We organized heavy element abundances
into three groups: the
-element O group (O, Ne, and Mg), Si group (Si
and S), and Fe group (Fe and Ni).
The abundances of the three elemental
groups were allowed to vary.
For the innermost region of IC 1459, we added a power-law model
from the central nuclei found by Chandra
(Fabbiano et al. 2003).
For the brightest galaxies, NGC 4472, NGC 4636,
NGC 4649, and NGC 5044, whose
total counts within
are greater than 200 000, we performed spectral
fitting on each annular region. In order to derive accurate
temperature profiles of the ISM in the other galaxies with lower
signal-to-noise ratio, the spectra of all annular regions
were fitted simultaneously, where the ISM abundances
were assumed to have common values.
Table 3 and Fig. 18
summarize the results of the spectral fitting, ISM temperature,
abundance, and ISM luminosity. Figure 2 shows MOS and PN
spectra of the innermost regions of several representative
galaxies. The spectra of X-ray faint galaxies, whose
total counts within
are less than 12 000 counts,
provide gradually smaller values of the reduced-
with this single-temperature model (hereafter
1T model) for the ISM. However, in
a representative spectrum of NGC 4382 whose ISM temperature is
0.4 keV, there are residual structures around 0.9 keV.
The X-ray brighter galaxies show
larger reduced-
.
The spectra of galaxies with
keV, NGC 4636, NGC 720 and NGC 3923, show common residuals
at 0.7-0.9 keV (Fig. 2). NGC 4649, which is the
galaxy with
keV, has different residual structures
from the other three galaxies.
![]() |
Figure 1:
Raw MOS (MOS1 + MOS2) spectrum at r=6-14 |
| Open with DEXTER | |
4.1.2 Deprojected spectra
To consider projection effects, we performed spectral fittings of
deprojected spectra. For the data with high statistics, for which the
total counts
of the sum of those of MOS and PN within
are greater
than 12 000, deprojected spectra were calculated using ``onion
peeling'' methods by subtracting the contribution from the outer
shell regions for all spectral components, assuming the ISM is
spherically symmetric as described by Takahashi (2004).
We then fitted the deprojected spectra with the 1T model in the same
way as in Sect. 4.1.1.
Table 4 and Fig. 18 summarize the results.
The reduced
reduced to
1 except at the innermost regions
of three brightest galaxies, NGC 4472, NGC 4636, and NGC 4649.
However, residual structures around 0.7-0.9 keV in the projected
spectra still remain in the deprojected spectra fitted with the 1T model
(Fig. 2). We also fitted the spectra of innermost regions
of the three brightest galaxies with a two-temperature vAPEC model
for the ISM (hereafter 2T model).
The results are summarized in Table 4.
The reduced
reduced to 1.2-1.5, and
even the 2T model gives similar residual structures (Fig. 2).
These discrepancies in the Fe-L energy range are also seen in the RGS
spectrum of the X-ray luminous elliptical galaxy, NGC 4636 (Xu et al. 2002).
The Suzaku observations of NGC 720 and NGC 1404 whose ISM temperatures
are also
0.6 keV also give similar residual structures
(Tawara et al. 2008; Matsushita et al. 2007).
Therefore, these residual structures are likely to be related to poorly
modeled Fe-L lines.
The spectral fittings of the deprojected spectra mostly give the same temperatures as those of the projected ones (Fig. 18). Therefore, for the fainter galaxies for which the deprojected analysis were not performed, we used the temperature profiles derived from the projected spectra to derive gravitational mass profiles.
![]() |
Figure 2: a) Innermost projected spectra observed with MOS (black) and PN (red), and innermost deprojected spectra with MOS (blue) and PN (magenta). These spectra are fitted with a vAPEC model plus power-law multiplied by the Galactic absorption (solid line). Dashed lines correspond to the contribution from each component. b), c) The actual data to model ratio from the fit in panel a). The meanings of colors correspond to that in panel a). d) The same as panel b) and c), but using the vAPEC + vAPEC model plus power-law multiplied by the Galactic absorption as the fitting model. |
| Open with DEXTER | |
4.2 Results
4.2.1 ISM luminosities within
We derived the absorption-corrected ISM luminosities (
)
and
the luminosities of the power-law component (
)
in the energy band of 0.3-2.0 keV within
(Table 5).
The values of
derived from the deprojected
spectra are close to those from projected annular spectra.
Hereafter, we use
from the deprojected analysis.
For the X-ray fainter galaxies without deprojected analysis,
we use the values derived from the projected analysis.
The relationship of
to LB is shown in the
left panel of Fig. 3. The sample galaxies have LBfrom 1010.1 to
.
On the other hand,
scatters from 1039.4 erg/s to
1042.4 erg/s.
The right panel of Fig. 3 shows the correlation between
within
and
,
with
denoting the
central stellar velocity dispersion
in each galaxy. If stellar motion is the main heat source for the hot
ISM, its X-ray luminosity should be approximated by the input rate of
the kinetic energy of the gas from stellar mass loss. This is
proportional to
,
because the mass-loss rate is thought to be
proportional to LB (e.g., Ciotti et al. 1991). Figure
3 also shows the
expected energy input from stellar mass loss (
)
assuming a mass-loss
rate of
(Ciotti et al. 1991). Here,
t15 is the stellar age in units of 15 Gyr, and we assumed a stellar
age of 12 Gyr. Several galaxies have larger
than
,
while
values of
the other galaxies are similar to or smaller than
.
![]() |
Figure 3:
|
| Open with DEXTER | |
Table 5:
X-ray luminosities within
of each sample galaxy.
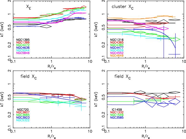
4.2.2 Temperature profiles of the ISM and classification with X-ray extended and X-ray compact galaxies
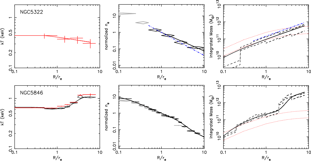
Figure 4 shows the derived radial temperature profiles of the
ISM. Some galaxies have gradually increasing temperature profiles
toward the outer radius. In contrast, other galaxies have flat or
decreasing radial temperature profiles. The galaxies with positive
temperature gradients have high ISM temperatures of 0.8-1.5 keV
at a radius of several times
,
which are comparable to those of
galaxy groups. On the other hand, the temperatures of the other
galaxies are systematically lower at 0.2-0.6 keV.
The derived temperature profiles were fitted with the sum of a constant
and single- or double-
functions.
The derived temperature profiles are mostly consistent with previous results from ROSAT (Matsushita 2001) and Chandra (Fukazawa et al. 2006; Athey 2007), except central regions of several brightest galaxies with positive temperature gradients, due to the higher angular resolution of Chandra.
In Fig. 5, we plotted kT(1-
and
kT(4-
against
.
Here,
kT(<
,
kT(1-
,
and kT(4-
correspond to the emission-weighted
ISM temperatures of regions in
,
and
,
respectively. Here, R is the deprojected radius from the galaxy center.
In general, the temperature profiles of galaxies
with
have smaller kT(1-
and
kT(4-
than kT(<
.
In contrast,
of galaxies with
kT(4-
are systematically larger than
.
Our sample galaxies are divided into two types: X-ray faint galaxies
with flat or negative temperature gradients and X-ray luminous
galaxies with positive temperature gradients. The ISM luminosities in
the former type are consistent with heating by stellar motion, while
galaxies of the latter type need additional sources of
heating. Hereafter, we denote galaxies with
kT(4-
as X-ray extended (
)
galaxies and others
as X-ray compact (
)
galaxies. The classification of each galaxy is
summarized in Table 1.
5 Spatial analysis and results
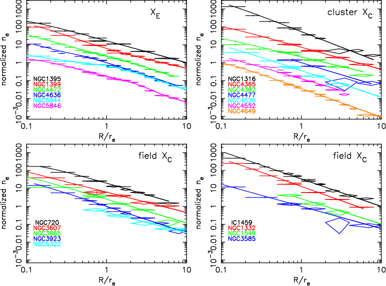
5.1 X-ray surface brightness and gas density profiles
We derived radial profiles of X-ray surface brightness from
background-subtracted and vignetting-corrected X-ray images from MOS1
and MOS2. We considered only photons in the energy band 0.8-2.0
keV, where the ISM emission dominates. PN data were not used for this
analysis because of gaps between CCD chips. Figure 6 shows two
representative X-ray surface brightness profiles, those of an
galaxy, NGC 4636, and an
galaxy, NGC 720.
Assuming circular symmetry, we deprojected the X-ray surface
brightness profiles to derive gas density profiles. In order to
subtract emission from outside the field of view, we
first fitted the radial surface brightness profile within
of each
galaxy and assumed that the profile extends outside the field of
view. The radial profiles of most of the galaxies were fitted with a
-model. The brightness of several galaxies in clusters are clearly
constant at the outer regions because of the surrounding intra-cluster
medium (ICM). Therefore, we fitted these profiles with the sum of a
model and a constant. Several X-ray luminous galaxies need a double-
model to fit the surface brightness profiles. Because at >
,
one
of the
models dominates, the profiles at r>
are fitted with a
single-
model. The derived density profiles are summarized in Fig. 7. Since we need only the gradient of a density profile
to derive a
gravitational mass profile, the plotted density profiles were
arbitrarily normalized.
We also used Chandra data for 19 galaxies with sufficiently high
signal-to-noise ratios to derive accurate X-ray surface brightness
profiles within 1-
.
Radial profiles of X-ray surface
brightness were derived from ACIS X-ray images in the energy band
0.3-2.0 keV. Then, we deprojected the X-ray surface brightness
profiles and derived gas density profiles in the same way as for the
XMM-Newton data. As summarized in Fig. 7, normalized density
profiles of the ISM derived from XMM-Newton and Chandra are mostly
consistent with each other from
to
.
We then fitted the derived gas density profiles of XMM-Newton at
and that of Chandra within
of each galaxy
simultaneously with a
model, as
.
Most of the density profiles were well
fitted with this single-
model (Fig. 7).
The derived
values of galaxies with Chandra data
are almost about
.
Therefore, we fixed the
value to
to fit the gas density
profiles of galaxies without Chandra data.
For NGC 4552 we also fixed the
value to
,
because of an
edge-like structure at 0.4-
observed with Chandra (Machacek et al. 2006).
Several X-ray luminous galaxies need a double-
model to fit the density
profiles.
![]() |
Figure 4:
The derived temperature profiles of the ISM. The |
| Open with DEXTER | |
![]() |
Figure 5:
The ISM temperature gradients parametrized by
kT(1-
|
| Open with DEXTER | |
The ISM and the hard component may have different
surface brightness profiles. Therefore,
we also derived gas density profiles of galaxies whose
is
less than 80% of the total luminosity within
,
directly from the normalization of the ISM component derived from
spectral fittings. The best-fit
-model of the density profile of
each galaxy is plotted in Fig. 18.
The best-fit values of
derived in this way
are mostly consistent with those derived from surface brightness profiles,
although several galaxies show discrepancies of a few tens of %.
![]() |
Figure 6: X-ray surface brightness profiles derived from MOS images of NGC 720 (blue) and NGC 4636 (red). |
| Open with DEXTER | |
6 Mass profiles
We then calculated the total mass profile M(R) within a
three-dimensional radius R from the obtained best-fit functions of
ISM temperature T(R) and gas density n(R) profiles
from the surface brightness, assuming
hydrostatic equilibrium and circular symmetry, by the equation
where
![]() |
Figure 7:
ISM density profiles. The |
| Open with DEXTER | |
![]() |
Figure 8: Integrated mass profiles of galaxies. The solid lines are total gravitational mass obtained from the best-fit functions of temperature and ISM density profiles. The dashed lines correspond to the upper and lower limits derived from the local gradients of temperature and density. We also plotted the stellar mass profiles assuming stellar M/LB to be 3 and 8 (dotted lines). |
| Open with DEXTER | |
![]() |
Figure 8: continued. |
| Open with DEXTER | |
In addition, the upper and lower limits of the mass profiles were
calculated considering the errors in the temperature and the
temperature and density gradients of each data bin. The upper and
lower limits of the temperature and density gradients of the ith
shell were obtained from the ratio of the value within i+1th shell
to that within i-1th shell. Here, we used the temperature
profiles derived from XMM-Newton. At
and
,
density
profiles derived from Chandra and XMM-Newton, respectively, were
used. For NGC 4636, the density at 0.3-
is significantly
smaller than the best-fit function, due to the existence of
complicated structure discovered by Chandra (Jones et al. 2002).
Therefore, we ignored this shell when deriving the mass
profiles. As summarized in Fig. 8, the total masses
derived in
this way are mostly consistent with those using the best-fit
functions.
We also derived stellar mass profiles, using the deprojected de
Vaucouleurs profile of Mellier & Mathez (1987), assuming stellar M/LBis in the range from 3 to 8 in solar units. We plotted these profiles
in Fig. 8. Within
,
the gravitational mass is
consistent with the
stellar mass. Further, the gradients of the gravitational mass are
similar to those of the stellar mass. In contrast, outside the radius
of a few
,
the derived gravitational mass becomes much larger than
the stellar mass. These results indicate the existence of dark matter
in the outer regions of early-type galaxies.
When
is less than 80% of the total luminosity within
,
the total mass profile is calculated using the best-fit
-model of the density profile from the spectral fitting.
The results are compared with those from the
surface brightness in Fig. 18.
The two methods give similar total mass profiles within 10-20%.
For NGC 3585 and NGC 5322, these discrepancies are
30%,
but within the large errors of the mass profiles of the two galaxies.
Thus, the mass profiles of these galaxies obtained from two methods are
consistent within the error.
Hereafter, we use the total mass profiles derived from the surface
brightness profiles.
![]() |
Figure 9:
Central ISM temperatures plotted against central stellar
velocity dispersion, |
| Open with DEXTER | |
7 Discussion
The observed temperature profiles and X-ray luminosities of the ISM
lead to a division of early-type galaxies into two categories:
galaxies and
galaxies. The
galaxies have increasing temperature
profiles and
,
whereas the
galaxies
have flat or negative temperature gradients and
.
Here,
represents the expected energy input from stellar mass loss
(Matsushita 2001). In Sect. 7.1,
the derived ISM temperatures are compared with the stellar velocity
dispersions. In Sects. 7.2 and 7.3, we derive
gravitational mass-to-light ratios in the B- and K-band, respectively,
and constrain contributions from stellar mass and differences in dark
mass between the
and
galaxies. Finally, in Sect. 7.4, we
discuss dark matter distribution in early-type galaxies themselves and
their luminosity.
Table 6:
Integrated M/LB and M/LK at 0.5, 3 and
.
7.1 ISM temperature vs. stellar velocity dispersion
Figure 9 shows the correlation between central ISM temperature and
central stellar velocity dispersion
(Table
1). The temperature
roughly correlates with the stellar velocity dispersion. The parameter
denotes the ratio of stellar velocity dispersion to ISM
temperature with
,
with
indicating the mean
molecular weight in terms of proton mass
.
For
galaxies,
is about
-1.0, which indicates that
the ISM temperatures are consistent with heating due to stellar motion
(Matsushita 2001). The galaxies with low
tend to have low
values. This may be due to a selection effect, since brighter galaxies
with higher ISM temperatures were the first proposed for observation.
In Fig. 10, we plotted the temperature profiles of the sample
galaxies scaled with central stellar velocity dispersion. There is no
significant difference in the ISM temperature between the
and
galaxies at the central regions. Therefore, the ISM temperatures of
the
and
galaxies would reflect the same potential. However, in
the outer regions the
galaxies have higher ISM temperatures than
the
galaxies for the same stellar velocity dispersion. This is due
to the difference in potential due to the hot intra-group medium
around the
galaxies.
![]() |
Figure 10:
Temperature profiles of the ISM scaled with central stellar
velocity dispersion. The solid red, solid blue, and dashed blue lines
represent the |
| Open with DEXTER | |
7.2 Mass-to-light ratio in B-band
![]() |
Figure 11: Profiles of integrated M/LB ( left) and M/LK ( right). The meanings of colors and lines are the same as those in Fig. 10. |
| Open with DEXTER | |
![]() |
Figure 12:
M/LB(<
|
| Open with DEXTER | |
The top left panel of Fig. 12 shows the relationship of
M/LB(<
to total B-band luminosity, LB.
In this plot, we add M/LB of the cD galaxy of the Virgo
cluster, M 87, obtained from XMM-Newton observations (Matsushita et al. 2002).
M/LB(<
of the
and
galaxies is about 10, with significant scatter. A correlation between
M/LB and LB elliptical galaxies was found by optical measurements
(Gerhard et al. 2001),
where gravitational mass was derived from stellar velocity dispersion
in the central region of elliptical galaxies. Our M/LB and LB relation
is scattered around the relation found by Gerhard et al. (2001).
On the other hand, at
,
the derived M/LB starts to increase
(Fig. 11). The
galaxies have similarly shaped M/LBprofiles. M/LB(<
and M/LB(<
of the
galaxies are about
6-
.
The
galaxies have systematically
higher M/LB values than the
galaxies at >
.
(Fig. 12). The
galaxies have M/LB(<
and
M/LB(<
of 25-
and 40-
,
respectively. These results indicate that dark
matter is common in early-type galaxies. In addition, the
galaxies
have more dark matter than the
galaxies.
![]() |
Figure 13: Relationship between B-band and K-band luminosity of the sample galaxies. Meanings of the symbols are the same as those in Fig. 3. The dotted line corresponds to the appropriate color B-K=4.2 for early-type galaxies (Lin & Mohr 2004). |
| Open with DEXTER | |
7.3 Mass-to-light ratios in K-band
Historically, the B-band mass-to-light ratio has been used in such studies. However, K-band luminosity well describes the stellar mass. Thus, we also derived the K-band mass-to-light ratio to study the dark matter profiles. We calculated the K-band luminosity LK from the Two Micron All Sky Survey (2MASS). The effect of Galactic extinction was corrected using the NASA/IPAC Extragalactic Database (NED). The relationship between LB and LK is close to that of B-K=4.2, which is the appropriate color of stars in early-type galaxies (Lin & Mohr 2004), with some scatter (Fig. 13).
The right panel of Fig. 11 shows the integrated
profiles of the
K-band mass-to-light ratio, M/LK, of the sample galaxies. At the
central region, the
and
galaxies have similar M/LK at
1.
In Fig. 14, we compared the relationship of
M/LK(<
,
M/LK(<
,
and M/LK(<
with
LK except M 87. For early-type galaxies, the stellar K-band
mass-to-light ratio,
M/LK, is about
.
The scatter
of M/LK(<
values becomes smaller than that of M/LB(<
values (Fig. 14). Both the
and
galaxies
have M/LK values of
,
and no correlation
with LK. This result indicates that stars
dominate the mass within
,
and we observed the stellar M/LK in
these region, except the cD galaxy M 87.
M 87 may contain a similar amount of dark matter with stellar mass
within
,
since M/LK is a factor of 2 larger than those of
and
galaxies.
On the other hand, the M/LK(<
values of the
and
galaxies are 4-10 and 1-
,
respectively (Fig. 14). The M/LK(<
values of
the
and
galaxies are
10 and 2-
,
respectively (Fig. 14).
![]() |
Figure 14:
Integrated M/LK(<
|
| Open with DEXTER | |
![]() |
Figure 15:
of M/LK normalized by M/LK(<
|
| Open with DEXTER | |
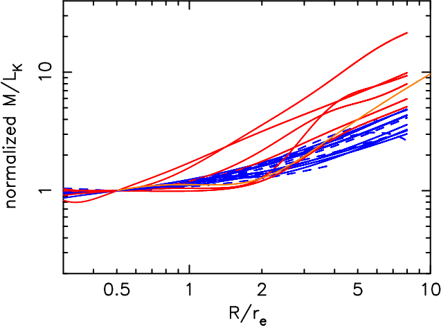
7.4 Dark matter in early-type galaxies
We normalized the M/LK profile with M/LK(<
for each
galaxy (Fig. 15).
Then, the profiles of mass-to-light ratios of
galaxies have
similarities.
We also derived the ratio of M/LK(<
and M/LK(<
to M/LK(<
for each galaxy. The ratios of M/LK(<
and
M/LK(<
to M/LK(<
are similar among the
galaxies at
2 and 3-4, respectively (Fig. 16). Considering
that stellar
mass dominates within
,
and assuming that the stellar M/LK is
nearly constant within a galaxy, the
galaxies contain similar
amounts of dark matter. Within
,
the mass of dark matter is similar
to the stellar mass, while within
,
the former is 2-3 times
larger than the latter. These ratios should reflect the potential of
early-type galaxies themselves. Thus, the dark mass distribution in
early-type galaxies is slightly more extended than that of stars. It
is thought that early-type galaxies have 10 times more dark mass than
stellar mass as in spiral galaxies (e.g., Ciotti et al. 1991). However,
the galaxies themselves may not contain such large
amounts of mass, at least within several times
.
This result
is important for the study of the origin of the dark matter content in
early-type galaxies and for the study of the formation and evolution
of these galaxies.
![]() |
Figure 16:
Ratio of the integrated M/LK(<
|
| Open with DEXTER | |
![]() |
Figure 17:
Ratio of the integrated M/LK(<
|
| Open with DEXTER | |
In contrast, the
galaxies have systematically larger ratios; i.e., they
have more dark matter in their outer regions. Figure 17
shows that the
galaxies with a larger
have more dark matter at
.
The ratio of M 87 may also lie in the relation between
and dark to stellar mass ratio, considering that
M 87 may contain a similar amount of dark mass to stellar mass within
.
In other words, the X-ray luminosity of the
galaxies may
be determined in relation to their potential structure, as indicated by
Matsushita (2001) and Matsushita et al. (2002). The difference in temperature
profiles between the
and
galaxies would be due to differences in
the surrounding gravitational potential. These results suggest that
the X-ray luminous early-type galaxies commonly sit in the center of a
large-scale (a few hundred kpc) potential well, which leads to their
high luminosities. Other galaxies may lack such a large-scale
potential well and contain their own dark matter.
8 Conclusion
We analyzed 22 early-type galaxies using XMM-Newton and Chandra
data. To derive the gravitational mass profiles, we obtained the
temperature and ISM density profiles through spectral fitting and
spatial analysis, respectively. We classified the galaxies into two
categories,
and
galaxies, on the basis of whether the
temperature gradient is positive or negative toward the outer
radius. The ISM luminosity of the
galaxies is consistent with the
energy input from stellar mass loss. In contrast, the
galaxies have
higher ISM luminosity.
At the central regions, R < 0.5-
,
the derived integrated M/LKof both of the
and
galaxies are about 1 and have smaller scatter
than M/LB. The values and profiles of M/LK indicate that stellar mass
dominates the total mass in these regions. In the outer regions, M/LBand M/LK of the
galaxies are higher than those of the
galaxies.
On the basis of these results, we can conclude the following. The
normal early-type galaxies,
galaxies, contain their own dark
matter at amounts that are 1.5-2 times larger than the stellar
mass within
.
The
galaxies are located as the central galaxy in
a larger scale potential structure, such as a galaxy group. This fact
directly affects the gravitational potential profile of the galaxy
itself, and causes it to contain significantly higher amounts of dark
matter than that in the
galaxies. This difference in the
gravitational potential leads to the difference in the temperature
profile and X-ray ISM luminosity between the
and
galaxies.
References
- Anders, E., & Grevesse, N. 1989, Geochim. Cosmochim. Acta, 53, 197 [NASA ADS] [CrossRef] (In the text)
- Athey, A. E 2007, [arXiv:0711.0395]
- Bender, R., Burstein, D., & Faber, S. M. 1993, ApJ, 411, 153 [NASA ADS] [CrossRef]
- Beuing, J., Dobereiner, S., Bohringer, H., & Bender, R. 1999, MNRAS, 302, 209 [NASA ADS] [CrossRef]
- Blanton, E. L., Sarazin, C. L., & Irwin, J. A. 2001, ApJ, 552, 106 [NASA ADS] [CrossRef]
- Chakrabarty, D., & Raychaudhury, S. 2008, AJ, 135, 2350 [NASA ADS] [CrossRef]
- Canizares, C. R., Fabbiano, G., & Trinchieri, G. 1987, ApJ, 312, 503 [NASA ADS] [CrossRef]
- Ciotti, L., D'Ercole, A., Pellegrini, S., & Renzini, A. 1991, ApJ, 376, 380 [NASA ADS] [CrossRef] (In the text)
- Dickey, J. M., & Lockman, F. J. 1990, ARA&A, 28, 215 [NASA ADS] [CrossRef] (In the text)
- Diehl, S., & Statler, T. S. 2007, ApJ, 668, 150 [NASA ADS] [CrossRef]
- Diehl, S., & Statler, T. S. 2008, ApJ, 680, 897 [NASA ADS] [CrossRef]
- Djorgovski, S., & Davis, M. 1987, ApJ, 313, 59 [NASA ADS] [CrossRef]
- Fabbiano, G. Elvis, M., Markoff, S., et al. 2003, ApJ, 588, 175 [NASA ADS] [CrossRef] (In the text)
- Forman, W., Jones, C., & Tucker, W. 1985, ApJ, 293, 102 [NASA ADS] [CrossRef]
- Fukazawa, Y., Botoya-Nonesa, J. G., Pu, J., Ohto, A., & Kawano, N. 2006, ApJ, 636, 698 [NASA ADS] [CrossRef]
- Gerhard, O., Kronawitter, A., Saglia, R. P., & Bender, R. 2001, AJ, 121, 1936 [NASA ADS] [CrossRef]
- Humphrey, P. J., Buote, D. A., Gastaldello, F., et al. 2006, ApJ, 646, 899 [NASA ADS] [CrossRef] (In the text)
- Jones, C., Forman, W., Vikhlinin, A., et al. 2002, ApJ, 567, L115 [NASA ADS] [CrossRef] (In the text)
- Kronawitter, A., Saglia, R. P., Gerhard, O., & Bender, R. 2000, A&AS, 144, 53 [NASA ADS] [CrossRef] [EDP Sciences]
- Lin, Y.-T., & Mohr, J. J. 2004, ApJ, 617, 879 [NASA ADS] [CrossRef] (In the text)
- Machacek, M., Jones, C., Forman, W. R., & Nulsen, P. 2006, ApJ, 644, 155 [NASA ADS] [CrossRef] (In the text)
- Mathews, W. G., Brighenti, F., Faltenbacher, A., et al. 2006, ApJ, 652, L17 [NASA ADS] [CrossRef] (In the text)
- Matsushita, K. 2001, ApJ, 547, 693 [NASA ADS] [CrossRef]
- Matsushita, K., Makishima, K., Awaki, H., et al. 1994, ApJ, 436, L41 [NASA ADS] [CrossRef]
- Matsushita, K., Makishima, K., Ikebe, Y., et al. 1998, ApJ, 499, L13 [NASA ADS] [CrossRef]
- Matsushita, K., Ohashi, T., & Makishima, K. 2000, PASJ, 52, 685 [NASA ADS]
- Matsushita, K., Belsole, E., Finoguenov, A., & Boehringer, H. 2002, A&A, 386, 77 [NASA ADS] [CrossRef] [EDP Sciences] (In the text)
- Matsushita, K., Fukazawa, Y., Hughes, J. P., et al. 2007, PASJ, 59, 327
- Mellier, Y., & Mathez, G. 1987, A&A, 175, 1 [NASA ADS] (In the text)
- Navarro, J. F., Frenk, C. S., & White, S. D. M. 1996, ApJ, 462, 563 [NASA ADS] [CrossRef]
- Navarro, J. F., Frenk, C. S., & White, S. D. M. 1997, ApJ, 490, 493 [NASA ADS] [CrossRef] (In the text)
- O'Sullivan, E., Ponman, T. J., & Collins, R. S. 2003, MNRAS, 340, 1375 [NASA ADS] [CrossRef]
- Prugniel, P., & Simien, F. 1996, A&A, 309, 749 [NASA ADS]
- Randall, S. W., Sarazin, C. L., & Irwin, J. A. 2004, ApJ, 600, 729 [NASA ADS] [CrossRef]
- Romanowsky, A. J., Douglas, N. G., Arnaboldi, M., et al. 2003, Science, 301, 1696 [NASA ADS] [CrossRef]
- Rubin, V. C., Thonnard, N., & Ford, W. K., Jr. 1978, ApJ, 225, L107 [NASA ADS] [CrossRef]
- Smith, R. K., Brickhouse, N. S., Liedahl, D. A., & Raymond, J. C. 2001, ApJ, 556, L91 [NASA ADS] [CrossRef] (In the text)
- Takahashi, I. 2004, Ph.D. Thesis, Univ. of Tokyo (In the text)
- Tawara, Y., Matsumoto, C., Tozuka, M., et al. 2008, PASJ, 60, 307
- Tully, R. B. 1988, Nearby Galaxy Catalog (Cambridge and New York: Cambridge University Press), 221 (In the text)
- Xu, H., Kahn, S. M., Peterson, J. R., et al. 2002, ApJ, 579, 600 [NASA ADS] [CrossRef] (In the text)
- Zappacosta, L., Buote, D. A., Gastaldello, F., et al. 2006, ApJ, 650, 777 [NASA ADS] [CrossRef] (In the text)
- de Vaucouleurs, G., de Vaucouleurs, A., Corwin, H. G., Jr., et al. 1991, Third Reference Catalogue of Bright Galaxies, RC3 Catalog
- van Albada, T. S., Bahcall, J. N., Begeman, K., & Sancisi, R. 1985, ApJ, 295, 305 [NASA ADS] [CrossRef]
Online Material
Table 3: Spectral fitting results of the projected annular spectra.
Table 4: Spectral fitting results of the deprojected annular spectra.
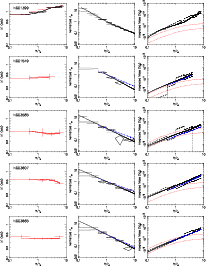
![]() |
Figure 18:
( Left) The ISM temperature profiles of sample galaxies. The
cross data points represent temperature profile derived from projected spectra,
and the diamond data points are from deprojected spectra. The solid lines
represent each best-fit function.
( Center) The ISM density profiles. The diamond data points represent XMM-Newton
data, and the cross data points are Chandra data obtained from
spatial analysis. The solid lines represent each best-fit function.
The black data points are used to fit the function, but the gray data points are not.
The dot-dashed lines show best-fit function of the ISM density
profile obtained from the spectral fit. These ISM density profiles are
normalized by the value at
|
| Open with DEXTER | |
![]() |
Figure 18: continued. |
| Open with DEXTER | |
![]() |
Figure 18: continued. |
| Open with DEXTER | |
![]() |
Figure 18: continued. |
| Open with DEXTER | |
![]() |
Figure 18: continued. |
| Open with DEXTER | |
Footnotes
- ... Chandra
- Tables 3, 4 and Fig. 18 are only available in electronic form at: http://www.aanda.org
All Tables
Table 1: Galaxy sample in the XMM-Newton archive data.
Table 2: Observational log of the sample galaxies.
Table 5:
X-ray luminosities within
of each sample galaxy.
Table 6:
Integrated M/LB and M/LK at 0.5, 3 and
.
Table 3: Spectral fitting results of the projected annular spectra.
Table 4: Spectral fitting results of the deprojected annular spectra.
All Figures
![]() |
Figure 1:
Raw MOS (MOS1 + MOS2) spectrum at r=6-14 |
| Open with DEXTER | |
| In the text | |
![]() |
Figure 2: a) Innermost projected spectra observed with MOS (black) and PN (red), and innermost deprojected spectra with MOS (blue) and PN (magenta). These spectra are fitted with a vAPEC model plus power-law multiplied by the Galactic absorption (solid line). Dashed lines correspond to the contribution from each component. b), c) The actual data to model ratio from the fit in panel a). The meanings of colors correspond to that in panel a). d) The same as panel b) and c), but using the vAPEC + vAPEC model plus power-law multiplied by the Galactic absorption as the fitting model. |
| Open with DEXTER | |
| In the text | |
![]() |
Figure 3:
|
| Open with DEXTER | |
| In the text | |
![]() |
Figure 4:
The derived temperature profiles of the ISM. The |
| Open with DEXTER | |
| In the text | |
![]() |
Figure 5:
The ISM temperature gradients parametrized by
kT(1-
|
| Open with DEXTER | |
| In the text | |
![]() |
Figure 6: X-ray surface brightness profiles derived from MOS images of NGC 720 (blue) and NGC 4636 (red). |
| Open with DEXTER | |
| In the text | |
![]() |
Figure 7:
ISM density profiles. The |
| Open with DEXTER | |
| In the text | |
![]() |
Figure 8: Integrated mass profiles of galaxies. The solid lines are total gravitational mass obtained from the best-fit functions of temperature and ISM density profiles. The dashed lines correspond to the upper and lower limits derived from the local gradients of temperature and density. We also plotted the stellar mass profiles assuming stellar M/LB to be 3 and 8 (dotted lines). |
| Open with DEXTER | |
| In the text | |
![]() |
Figure 8: continued. |
| Open with DEXTER | |
| In the text | |
![]() |
Figure 9:
Central ISM temperatures plotted against central stellar
velocity dispersion, |
| Open with DEXTER | |
| In the text | |
![]() |
Figure 10:
Temperature profiles of the ISM scaled with central stellar
velocity dispersion. The solid red, solid blue, and dashed blue lines
represent the |
| Open with DEXTER | |
| In the text | |
![]() |
Figure 11: Profiles of integrated M/LB ( left) and M/LK ( right). The meanings of colors and lines are the same as those in Fig. 10. |
| Open with DEXTER | |
| In the text | |
![]() |
Figure 12:
M/LB(<
|
| Open with DEXTER | |
| In the text | |
![]() |
Figure 13: Relationship between B-band and K-band luminosity of the sample galaxies. Meanings of the symbols are the same as those in Fig. 3. The dotted line corresponds to the appropriate color B-K=4.2 for early-type galaxies (Lin & Mohr 2004). |
| Open with DEXTER | |
| In the text | |
![]() |
Figure 14:
Integrated M/LK(<
|
| Open with DEXTER | |
| In the text | |
![]() |
Figure 15:
of M/LK normalized by M/LK(<
|
| Open with DEXTER | |
| In the text | |
![]() |
Figure 16:
Ratio of the integrated M/LK(<
|
| Open with DEXTER | |
| In the text | |
![]() |
Figure 17:
Ratio of the integrated M/LK(<
|
| Open with DEXTER | |
| In the text | |
![]() |
Figure 18:
( Left) The ISM temperature profiles of sample galaxies. The
cross data points represent temperature profile derived from projected spectra,
and the diamond data points are from deprojected spectra. The solid lines
represent each best-fit function.
( Center) The ISM density profiles. The diamond data points represent XMM-Newton
data, and the cross data points are Chandra data obtained from
spatial analysis. The solid lines represent each best-fit function.
The black data points are used to fit the function, but the gray data points are not.
The dot-dashed lines show best-fit function of the ISM density
profile obtained from the spectral fit. These ISM density profiles are
normalized by the value at
|
| Open with DEXTER | |
| In the text | |
![]() |
Figure 18: continued. |
| Open with DEXTER | |
| In the text | |
![]() |
Figure 18: continued. |
| Open with DEXTER | |
| In the text | |
![]() |
Figure 18: continued. |
| Open with DEXTER | |
| In the text | |
![]() |
Figure 18: continued. |
| Open with DEXTER | |
| In the text | |
Copyright ESO 2009
Current usage metrics show cumulative count of Article Views (full-text article views including HTML views, PDF and ePub downloads, according to the available data) and Abstracts Views on Vision4Press platform.
Data correspond to usage on the plateform after 2015. The current usage metrics is available 48-96 hours after online publication and is updated daily on week days.
Initial download of the metrics may take a while.
![\begin{figure}
\par\includegraphics[width=9cm,clip]{0978f01.eps} \end{figure}](/articles/aa/full_html/2009/25/aa10978-08/Timg43.png)
![\begin{figure}
\par\includegraphics[width=13.6cm,clip]{0978f02.eps}
\end{figure}](/articles/aa/full_html/2009/25/aa10978-08/Timg44.png)
![\begin{figure}
\par\includegraphics[width=13.0cm,clip]{0978f03.eps} \end{figure}](/articles/aa/full_html/2009/25/aa10978-08/Timg50.png)
![\begin{figure}
\par\includegraphics[width=12.5cm,clip]{0978f04.eps}
\end{figure}](/articles/aa/full_html/2009/25/aa10978-08/Timg71.png)
![\begin{figure}
\par\includegraphics[width=12.5cm,clip]{0978f05.eps}
\end{figure}](/articles/aa/full_html/2009/25/aa10978-08/Timg73.png)
![\begin{figure}
\par\includegraphics[width=7cm,clip]{0978f06.eps}
\end{figure}](/articles/aa/full_html/2009/25/aa10978-08/Timg74.png)

![\begin{figure}
\par\includegraphics[width=13cm,clip]{0978f07.eps}
\end{figure}](/articles/aa/full_html/2009/25/aa10978-08/Timg78.png)
![\begin{figure}
\mbox{\includegraphics[width=4.5cm,clip]{0978f08a.eps} \includeg...
...includegraphics[width=4.5cm,clip]{0978f08k.eps}\hspace*{2.25cm}}
\end{figure}](/articles/aa/full_html/2009/25/aa10978-08/Timg79.png)
![\begin{figure}
\par\mbox{\includegraphics[width=4.5cm]{0978f08l.eps} \includegra...
...ps} \includegraphics[width=4.5cm]{0978f08v.eps}\hspace*{2.25cm}}
\end{figure}](/articles/aa/full_html/2009/25/aa10978-08/Timg80.png)
![\begin{figure}
\par\includegraphics[width=9cm,clip]{0978f09.eps}
\end{figure}](/articles/aa/full_html/2009/25/aa10978-08/Timg83.png)
![\begin{figure}
\par\includegraphics[width=9cm,clip]{0978f10.eps}
\end{figure}](/articles/aa/full_html/2009/25/aa10978-08/Timg91.png)
![\begin{figure}
\par\includegraphics[width=13.7cm,clip]{0978f11.eps}
\end{figure}](/articles/aa/full_html/2009/25/aa10978-08/Timg92.png)
![\begin{figure}
\par\includegraphics[width=18cm,clip]{0978f12.eps} \end{figure}](/articles/aa/full_html/2009/25/aa10978-08/Timg96.png)
![\begin{figure}
\par\includegraphics[width=7cm,clip]{0978f13.eps} \end{figure}](/articles/aa/full_html/2009/25/aa10978-08/Timg104.png)
![\begin{figure}
\par\includegraphics[width=18cm,clip]{0978f14.eps}
\end{figure}](/articles/aa/full_html/2009/25/aa10978-08/Timg109.png)
![\begin{figure}
\par\includegraphics[width=9cm,clip]{0978f15.eps}
\end{figure}](/articles/aa/full_html/2009/25/aa10978-08/Timg110.png)
![\begin{figure}
\par\includegraphics[width=13cm,clip]{0978f16.eps}
\end{figure}](/articles/aa/full_html/2009/25/aa10978-08/Timg111.png)
![\begin{figure}
\par\includegraphics[width=13cm,clip]{0978f17.eps}
\end{figure}](/articles/aa/full_html/2009/25/aa10978-08/Timg112.png)
![\begin{figure}
\par\includegraphics[width=16cm,clip]{0978fA1a.eps}\\
\includeg...
...8fA1d.eps}\\
\includegraphics[width=16cm,clip]{0978fA1e.eps}\\
\end{figure}](/articles/aa/full_html/2009/25/aa10978-08/Timg562.png)
![\begin{figure}\par\includegraphics[width=18cm]{0978fA1f.eps}\\
\includegraphic...
...]{0978fA1i.eps}\\
\includegraphics[width=18cm]{0978fA1j.eps}\\
\end{figure}](/articles/aa/full_html/2009/25/aa10978-08/Timg563.png)
![\begin{figure}\par\includegraphics[width=18cm]{0978fA1k.eps}\\
\includegraphic...
...]{0978fA1n.eps}\\
\includegraphics[width=18cm]{0978fA1o.eps}\\
\end{figure}](/articles/aa/full_html/2009/25/aa10978-08/Timg564.png)
![\begin{figure}\par\includegraphics[width=18cm]{0978fA1p.eps}\\
\includegraphic...
...]{0978fA1s.eps}\\
\includegraphics[width=18cm]{0978fA1t.eps}\\
\end{figure}](/articles/aa/full_html/2009/25/aa10978-08/Timg565.png)
![\begin{figure}\par\includegraphics[width=18cm]{0978fA1u.eps}\\
\includegraphics[width=18cm]{0978fA1v.eps}\\
\end{figure}](/articles/aa/full_html/2009/25/aa10978-08/Timg566.png)