| Issue |
A&A
Volume 504, Number 3, September IV 2009
|
|
|---|---|---|
| Page(s) | 789 - 805 | |
| Section | Extragalactic astronomy | |
| DOI | https://doi.org/10.1051/0004-6361/200911995 | |
| Published online | 09 July 2009 | |
Integral field spectroscopy with SINFONI of VVDS galaxies
I. Galaxy dynamics and mass assembly at

,![[*]](/icons/foot_motif.png)
B. Epinat1,2 - T. Contini1 - O. Le Fèvre2 - D. Vergani3 - B. Garilli4 - P. Amram2 - J. Queyrel1 - L. Tasca4 - L. Tresse2
1 - Laboratoire d'Astrophysique de Toulouse-Tarbes, Université de Toulouse, CNRS, 14 Avenue Édouard Belin, 31400 Toulouse, France
2 - Laboratoire d'Astrophysique de Marseille, Université de Provence, CNRS,
38 rue Frédéric Joliot-Curie, 13388 Marseille Cedex 13, France
3 - INAF-Osservatorio Astronomico di Bologna, via Ranzani 1, 40127 Bologna, Italy
4 - IASF-INAF, via Bassini 15, 20133 Milano, Italy
Received 6 March 2009 / Accepted 10 June 2009
Abstract
Context. Identifying the main processes of galaxy assembly at high redshifts is still a major issue in understanding galaxy formation and evolution at early epochs in the history of the Universe.
Aims. This work aims to provide a first insight into the dynamics and mass assembly of galaxies at redshifts
1.2 < z < 1.6, the early epoch just before the sharp decrease of the cosmic star formation rate.
Methods. We use the near-infrared integral field spectrograph SINFONI on the ESO-VLT under 0.65
seeing to obtain spatially resolved spectroscopy on nine emission line galaxies with
from the VIMOS VLT Deep Survey. We derive the velocity fields and velocity dispersions on kpc scales using the H
emission line.
Results. Out of the nine star-forming galaxies, we find that galaxies are distributed in three groups: two galaxies can be well reproduced by a rotating disk, three systems can be classified as major mergers and four galaxies show disturbed dynamics and high velocity dispersion. We argue that there is evidence for hierarchical mass assembly from major merging, with most massive galaxies with
subject to at least one major merger over a 3 Gyr period as well as for continuous accretion feeding strong star formation.
Conclusions. These results point towards a galaxy formation and assembly scenario which involves several processes, possibly acting in parallel, with major mergers and continuous gas accretion playing a major role. Well controlled samples representative of the bulk of the galaxy population at this key cosmic time are necessary to make further progress.
Key words: galaxies: evolution - galaxies: formation - galaxies: kinematics and dynamics - galaxies: high-redshift
1 Introduction
In the current paradigm, galaxies are formed in dark matter haloes which grow along cosmic time via hierarchical assembly of smaller units. While in this picture halo-halo merging is the main physical process driving the assembly of dark matter haloes, it is unclear how this merging process directly affects the build-up of galaxies, and how other physical processes play a role.
Considerable efforts have been invested to
understand galaxy evolution in the past two decades.
We now have a global, but as yet incomplete, picture
of the evolution of the parameters describing
the main galaxy population, with e.g. the global star formation
rate reaching a peak at redshifts 1 to 2.5 (e.g. Tresse et al. 2007; Hopkins & Beacom 2006).
A clear result now emerging is that early type galaxies
have experienced a major growth in stellar mass density
from a redshift
to
,
while late-type
galaxies have been growing their stellar mass more
slowly in this period (e.g. Arnouts et al. 2007; Bundy et al. 2005). It is also claimed
that galaxy evolution proceeds via a downsizing
scenario, whereby the most massive galaxies assemble
their mass first (Cowie et al. 1996).
However, much remains to be done to understand how galaxies of different types have been built along cosmic time. Several key questions are still subject to considerable debate: (i) how were galaxies assembled in detail? (ii) When and at what rate did galaxies of different masses form? (iii) What is the connection between bulge and disk formation? (iv) What is the link between the various high-z galaxy populations, their origin and their subsequent fates? (v) What is the connection between star formation and the AGN phenomenon?
Several physical processes have been identified to contribute to the evolution of galaxies, but their relative contribution, main epoch of action, and associated timescale, remain poorly constrained. Merging is identified as an important contributor through direct evidence of on-going events, or indirect fossil remnants (e.g. Conselice et al. 2003; Lotz et al. 2008), and the merger rate and its evolution is now demonstrated to be strongly dependent on the luminosity or stellar mass of the galaxies involved (e.g. de Ravel et al. 2009). In addition, the effect of the competing processes of cooling, angular momentum exchange, feedback from star formation and AGNs, or gas accretion, are to be further investigated (Somerville et al. 2008).
Until recently, the favoured picture was that the star formation and stellar mass assembly of massive galaxies was a direct consequence of major merging events at early cosmic epochs (Glazebrook et al. 2004).
However, recent observations of individual
galaxies have revealed that large and massive disks with
strong star formation seem to be already in place at redshifts
,
without apparent signs for major merging events
(Wright et al. 2007; Genzel et al. 2006; Law et al. 2007; Förster Schreiber et al. 2006; Genzel et al. 2008; Law et al. 2009; Wright et al. 2009). This has
led to the suggestion that the majority of star forming galaxies
is fed by gas via cold flows along streams of the
cosmic web (including minor merger),
continuously fueling
the star formation (Dekel et al. 2009).
This scenario is further supported by the tight correlation between stellar mass and star formation rate in high redshift star forming galaxies (e.g. Elbaz et al. 2007; Daddi et al. 2007; Noeske et al. 2007).
Dynamical processes internal to
galaxies can then drive secular evolution of disks and the
formation of bulges and spheroids.
A detailed knowledge of the kinematics of a galaxy on kiloparsec scales is needed to identify its dynamical state (disk in rotation, spheroid, major merger event or more complex kinematics). The integral field technique enables one to compute accurate total dynamical masses, to trace the spatial distribution of stars and gas, as well as to evaluate the contribution of stellar populations including stellar initial mass function (IMF), or gas metallicity. The velocity field of spiral/disk galaxies can be used to place important constraints on total masses and hence on dark matter halo masses, thought to be an important driver of galaxy evolution.
At low redshifts, the knowledge of 2D velocity fields has
proved to be a powerful kinematical tool to investigate the
properties of nearby galaxies (Epinat et al. 2008b; Garrido et al. 2004; Östlin et al. 2001; Epinat et al. 2008a; Veilleux et al. 2001; Mendes de Oliveira et al. 2003; Swinbank et al. 2003). The velocity fields of
galaxies at intermediate redshift (
0.4<z<0.75) have been investigated using FLAMES/GIRAFFE at VLT (Flores et al. 2006; Yang et al. 2008; Puech et al. 2008,2006; Neichel et al. 2008).
In their sample of 65 galaxies, Yang et al. (2008)
found about 32% relaxed rotating disks. These rotating disks
produce a Tully-Fisher relation (Tully & Fisher 1977) that has apparently not evolved in slope and scatter since z=0.6. They, however, detect an evolution of the K-band Tully-Fisher relation zero point that, if interpreted as an evolution of the K-band luminosity, would imply a brightening of
mag between
and z=0. They suggest that the large scatter found in previously reported Tully-Fisher relations at moderate redshifts is produced by the numerous (65%) galaxies with perturbed or complex kinematics.
At higher redshifts, the SINS survey has pioneered the
detailed observations of galaxies at
(Genzel et al. 2006; Shapiro et al. 2008; Förster Schreiber et al. 2006; Cresci et al. 2009; Genzel et al. 2008), demonstrating that near infrared
integral field spectroscopy is the best tool to
securely measure kinematical properties at high redshifts z>1.
These authors have found that galaxies have an extremely large velocity
dispersion (
)
compared to their rotational velocity.
They favor the hypothesis of early buildup of central disks and bulges
by secular evolution in gas-rich disks. Fast turbulent speeds in the
gaseous component imply the formation of massive clumps. Gas-rich
primordial disks may evolve through a clumpy phase into bright
early-type disk galaxies with a massive exponential disk, a classical
bulge and possibly a central black hole (Noguchi 1999; Immeli et al. 2004b,a; Elmegreen et al. 2005; Bournaud et al. 2007, 2008).
These massive clumps are suggested from NACO high resolution deep imaging and H
maps from adaptive optics SINFONI observations in two galaxies of the SINS sample (Genzel et al. 2008).
The number of galaxies observed at or around the
peak in star-formation at
is still relatively small,
and detailed observations of
a large volume-complete sample of galaxies selected
from a homogeneous set of selection criteria are needed to clarify the respective contributions of merging and continuous gas feed by accretion.
Assembling large samples of galaxies is not an easy task as we need to
extract from large spectroscopic surveys,
selected with well controlled criteria, those galaxies
with accurate spectroscopic redshifts for which
the H
line emission falls outside bright OH sky
lines. The VVDS (Le Fèvre et al. 2005) survey has been designed to map the evolution of galaxies, large scale
structures and AGNs from the spectroscopic redshift
measurement of tens of thousands of objects.
This dedicated program has successfully crossed the ``redshift desert'' 1 < z < 3, providing for the
first time a complete magnitude-limited sample of
800 galaxy
redshifts in the ``Ultra-deep'' (
)
sample
(Le Fèvre et al., in preparation),
11 000 galaxy
redshifts in the ``deep'' (
)
sample
(Le Fèvre et al. 2005), and
40 000 in the ``wide'' (
)
sample (Garilli et al. 2008).
We use VVDS to select targets for a large
observing program at the ESO-VLT aimed at probing the mass assembly and metallicity evolution of a
representative sample of galaxies at 1 < z < 2, a crucial epoch corresponding to the peak of cosmic star formation activity.
The main goal of the
MASSIV
(Mass Assembly Survey with SINFONI in VVDS) project is to obtain a detailed
description of the mix of dynamical types
at this epoch and to follow the evolution of
fundamental scaling relations, such as the Tully-Fisher or the
mass-metallicity relations, and therefore constrain galaxy
evolution scenarios.
In this paper, we present the first results obtained by MASSIV
focusing on the kinematics
of nine galaxies with
observed during the MASSIV pilot program.
A companion paper (Queyrel et al. 2009)
is devoted to the mass-metallicity relation of galaxies at
these redshifts using the same data.
In Sect. 2 we describe our observations and data reduction. In Sect. 3 we present the morphological, physical, kinematical and dynamical measurements of the galaxies of our sample. In Sect. 4 we classify the galaxies exploiting the full kinematical information and discuss the Tully-Fisher relation. Our discussion and conclusions are provided in Sect. 5. Appendix A contains detailed individual comments for each galaxy.
We assume a cosmology with
,
and H0 = 70 km s-1 Mpc-1 throughout.
Table 1: Table of observations.
2 Data and observations
2.1 Sample selection
![]() |
Figure 1:
Selection of late-type
1 < z < 1.54 star-forming galaxies with secure redshift
and measured [O II] |
| Open with DEXTER | |
We have used the VIMOS VLT Deep Survey sample to select galaxies with known spectroscopic redshifts across the peak of star formation activity. The VVDS is a complete magnitude selected sample avoiding the biases linked to a priori color selection techniques. This sample offers the advantage of combining a large sample with a robust selection function and secure spectroscopic redshifts. The latter are necessary to ensure that long single object integrations with SINFONI (Eisenhauer et al. 2003; Bonnet et al. 2004) observe the H
line outside bright OH night-sky emission lines.
From the existing VVDS dataset, today we have available a unique sample of more than 1500 galaxies in the redshift domain 1 < z < 2 with accurate (to the fourth digit) and secure spectroscopic redshifts (confidence level >90%, Le Fèvre et al. 2005).
This sample, being purely I-band limited, contains both star-forming and passive galaxies distributed over a wide range of
stellar masses, enabling us to easily define
volume limited sub-samples. For the MASSIV program, we have defined a sample of
140 VVDS star-forming galaxies at
1.0 < z < 1.8suitable for SINFONI observations. In most of the cases, the galaxies are selected on the basis of their measured intensity of the [O II]
3727 emission line in the VIMOS spectrum or, for a
few cases, on their observed photometric UBVRIK spectral energy distribution, which is typical of star-forming galaxies. The star formation criteria ensure that the brightest rest-frame optical emission lines, mainly H
,
[O III]
4959, 5007, [N II]
6584 used to probe kinematics and chemical abundances, will be observed with SINFONI in the NIR bands.
For the pilot observations presented in this paper, the selection has been made on the [O II]
3727 emission line only, thus restricting the redshift range
to
1 < z < 1.54. We have selected galaxies showing the strongest [O II]
3727 emission line (
Å and flux
>
erg s-1 cm-2) as measured on VIMOS spectra (see Fig. 1) for H
to be easily
detected in the near-IR. Among these candidates, we have further restricted the sample taking
into account one important observational constraint: the observed wavelength of H
line had to fall at least 10 Å away from strong OH night-sky lines, to avoid heavy contamination of the galaxy spectrum by sky subtraction residuals. Among the remaining list of promising
candidates, we have randomly picked twelve galaxies to carry out these first pilot observations.
These criteria for selecting late-type star-forming galaxies have been shown to be very efficient. For the
first observing runs, our success rate of selection was around 85%: 9 galaxies out of 12 observed show strong rest-frame
optical emission lines in SINFONI datacubes, the 3 remaining show a signal too faint to derive reliable velocity maps. Among the nine VVDS star-forming galaxies, five have been selected in the
VVDS-22h (
)
field and four in the VVDS-02h (
)
field.
These targets span a redshift range between
and
(see Table 1).
Table 2: Fluxes and luminosities of VVDS galaxies.
Table 3: SFRs and extinctions of VVDS galaxies.
![]() |
Figure 2: Best SED model fit (continuous line) and photometric points overplotted for the nine galaxies of the sample. |
| Open with DEXTER | |
2.2 SINFONI observations and data reduction
The NIR spectroscopic observations were obtained with the 3D-spectrograph SINFONI at ESO-VLT during two four-nights runs, on September 5-8, 2005 (ESO run 75.A-0318) and on November 12-15, 2006 (ESO run 78.A-0177). SINFONI was used in its seeing-limited mode, with theData reduction has been performed with the ESO-SINFONI pipeline (version 1.7.1, see Abuter et al. 2006; Modigliani et al. 2007). The pipeline subtracts the sky background from the temporally contiguous frames, flat-fields images, spectrally calibrates each individual observation and then reconstructs the datacube. Individual cubes were aligned in the spatial direction by relying on the telescope offsets from a nearby bright star and then combined. A flux calibration is mandatory in order to derive absolute parameters (e.g. star formation rate) from the flux measured in emission lines. To this end, each science observation was immediately followed by the observation of a telluric standard star.
3 Measurements
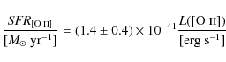
3.1 Stellar masses, star formation rates and extinction
Stellar mass
and star formation rate (SFR) estimates for our sample were obtained using the GOSSIP spectral energy distribution (SED) modeling software (Franzetti et al. 2008). We used as input for the SED fitting the multi-band photometric observations available in VVDS fields, including BVRI data from the CFHT, UBVRZs data from the CFHT Legacy Survey, J- and K-bands data from SOFI at the NTT and from the UKIDSS survey, and the VVDS-Deep spectra. The photometric and spectroscopic data were fitted with a grid of stellar population models, generated using the BC03 population synthesis code (Bruzual & Charlot 2003), assuming a set of ``delayed'' star formation histories (see Gavazzi et al. 2002, for details), a Salpeter (1955) IMF with lower and upper mass cutoffs of respectively 0.1 and 100
,
a metallicity ranging from 0.02 and 2.5 solar metallicity and a Large Magellanic Cloud reddening law (Pei 1992) with an extinction E(B-V) ranging from 0 to 0.3. The parameters for the best-fitting model for each galaxy are taken as the best fitting values for both the galaxy stellar mass and SFR. As well as the best fitting values, GOSSIP also computes the probability distribution function (PDF), following the method described in Walcher et al. (2008). The median of the PDF and its confidence regions are then used to derive a robust estimate of value and error for the parameter that is to be determined. Stellar masses for the galaxies of this paper are reported in Table 5. The best SED fit model for each galaxy is presented in Fig. 2.
In addition to the determination from the SED fitting (SFR
), SFRs for the nine star-forming galaxies in our sample can be deduced
from the H
(SFR
)
flux, from the [O II]
3727 flux (SFR
)
and from the rest-frame UV continuum emission (SFR
).
As these four estimators are affected differently by dust and star formation history, our results can in principle tell us about the extinction and stellar populations of the galaxies.
The H
recombination line is a direct probe of the young, massive stellar population and therefore provides a nearly instantaneous (i.e. averaged over the last ten million years) measure of the SFR. Moreover, the H
line is less affected by dust extinction compared to e.g. UV estimators. We calculated SFR
following Kennicutt (1998):
where the H
The [O II]
3727 emission line luminosity
is not directly coupled to the ionising luminosity and its excitation is sensitive to abundance and the ionization state of the gas. It can however be empirically used as a quantitative SFR tracer. We have computed SFR
following the calibration provided by Kennicutt (1998):
where L([O II]) has been derived from the [O II]
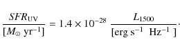
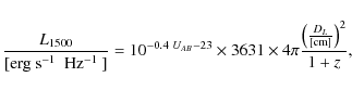
Ultraviolet-derived SFRs were calculated from the broadband optical photometry. Indeed, given the redshifts of our targets, optical photometry provides information on the amount of rest-frame UV flux. The UV continuum around 1500 Å is roughly flat if the flux is expressed in frequency units. The mean luminosity inside the optical broad-band filter which corresponds to the rest-frame 1500 Å continuum L1500, at the given redshift z of the source, is thus a very good approximation of the level of this continuum. The mean luminosity in frequency units is calculated following this equation:
![]() |
(3) |
DL being the luminous distance.
We have then deduced SFR
following Kennicutt (1998):
The three Eqs. (1), (2) and (4) assume a Salpeter IMF with lower and upper mass cutoffs of 0.1 and 100
Table 2 gives the AB magnitude in U-band, UV flux, H
and [O II]
3727 fluxes and luminosities used to compute the four SFRs stored in Table 3 together with the reddening values deduced from SED fitting and from the UV/H
SFR ratio.
The UV SFR may be much more strongly affected by extinction than the H
one due to a shorter wavelength emission. Its comparison with the H
SFR may thus provide an estimate of the amount of dust.
Assuming that all of the ionizing photons are reprocessed into lines, therefore
,
we thus computed the interstellar gas extinction (E(B-V)) using the intrinsic starburst flux density
via:
![]() |
(5) |
where the obscuration curve for the stellar continuum,
![]() |
(6) |
for
The amount of interstellar extinction estimated in our sample (mean value
)
is typical of star-forming galaxies in the local and intermediate-redshift universe and is in very good agreement with the reddening values derived at similar redshifts in UV-selected galaxy samples by Erb et al. (2006).
Figure 3 shows a good agreement between extinctions derived from SED fitting and from the UV/H
SFR ratio. However, the SFR-based extinctions are systematically underestimated compared to the SED ones. This may be due to the uncertainties in the absolute flux calibration both in the rest-frame UV and even more important in the SINFONI data.
In Fig. 4 (left), we compare the SFR derived from [O II] and H
emission lines. The agreement is good taking into account that neither H
nor [O II] flux has been corrected for reddening. Indeed, H
based SFR are systematically higher than [O II] ones because [O II] is more affected by extinction than H
,
except for the two galaxies with almost no extinction (see Table 3). The fact that the two galaxies with the highest extinction (
)
show the largest deviation supports this interpretation.
![]() |
Figure 3:
Comparison of extinctions computed from SED fitting (x-axis) and from the comparison of SFRs deduced from UV and H |
| Open with DEXTER | |
The SFR deduced from the SED fitting (SFR
)
provides an internal correction for dust extinction but is averaged on a timescale ten times longer than the SFR derived from H
.
The comparison between these two SFRs may provide information on the ratio between recent and older star formation activity, and thus can give an hint to the presence of recent bursts (see Fig. 4, right).
Despite the large uncertainties inherent to the SED-based SFR determination, a good
agreement between the two SFR estimators is seen for the three galaxies
classified as perturbed rotators (see Sect. 4.1) with an H
-based SFR value lower than 50
yr-1.
The two galaxies classified as rotating disks
and the two merging systems VVDS020116027 and VVDS220596913 show an instantaneous
H
-based SFR (timescale
10 Myr) which is lower
(by a factor 2-4) than the SED-based SFR integrated over a longer
timescale (a few hundred Myr). On the contrary, the two galaxies with
the highest values of H
-based SFR (>150
yr-1,
VVDS220544103 and VVDS220014252) are typical starburst galaxies with
a high ratio between the instantaneous and integrated SFRs.
![]() |
Figure 4:
Comparison of H |
| Open with DEXTER | |
3.2 Morphologies
For each galaxy of our sample, we have estimated the inclination from the I-band CFHT images using the GALFIT software (Peng et al. 2002). We have used CFHT legacy survey images with best seeing (<0.65
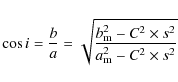
Epinat et al. (2009) have shown that observation of high redshift disk galaxies, strongly affected by beam smearing effects, have a disk inclination that is difficult to retrieve. The uncertainty on the inclination is
the main source of errors in the rotational velocity determinations and thus on the Tully-Fisher relation, on the mass determination and on the mass assembly history. The extreme cases are provided by galaxies appearing face-on or edge-one from broad-band imagery: the radial velocity field of a face-on galaxy may show a velocity gradient indicating that the disk is not face-on; alternatively, an edge-on disk appears thicker and leads to an underestimation of the inclination.
In order to check the disk inclinations determined by GALFIT, we have compared them to the ones computed using a simple correction provided in Epinat et al. (2009).
They modeled inclined thin disks having exponential or flat truncated luminosity profiles with scale lengths from 2 to 6 kpc, observed at redshift z=1.7 with a seeing of 0.5
and a sampling of 0.125
.
They introduced a parameter C in order to recover the true inclination i from the seeing FWHM (s) and the measured major (
)
and minor (
)
axis lenghts (FWHMs) estimated in arcseconds from a 2D Gaussian fit:
![]() |
(7) |
where a and b are actual major and minor axis lengths (FWHMs) in the sky plane. The parameter C represents the fraction of the seeing by which both measured minor and major axis are quadratically overestimated. In Epinat et al. (2009), it is shown that
In order to evaluate error bars on the inclination, the uncertainty on both major and minor axis lengths has been taken into account. Assuming that the error
is the same for both axes, we have computed upper and lower limits for the inclination reported in Table 4 following:
![]() |
(8) | ||
![]() |
(9) |
The typical uncertainty is
3.3 Kinematics of the ionized gas
3.3.1
kinematics
Table 4: Kinematical parameters.
The SINFONI data were analysed using routines written in IDL environment
. Our main goal was to determine the kinematics of the ionised gas using the strongest emission line, H
.
In order to increase the signal to noise ratio without degrading the spatial resolution, we have performed a sub-seeing spatial Gaussian smoothing (
pixels) on the data cube (the mean seeing is around 0.65
i.e. 5 pixels). For each galaxy of the sample, we fit the spectrum around H
to a single Gaussian function in order to characterize the emission line, and a pedestal to characterise the continuum.
To minimize the effects of sky line residuals on line parameter determination, the sky spectrum has been used in the fitting procedure in order to lower the weight of strong emitting sky line wavelengths.
From these fitting techniques it was possible, for each source, to recover the line flux map, the velocity field and the velocity dispersion map after correcting for instrumental dispersion (around 2.75 Å) measured on sky lines. 2D error maps have also been derived for each quantity from the fitting procedure. These are statistical errors that take into account the error spectrum and that indicate the accuracy of the fit for each parameter. A signal to noise ratio map was computed, the signal being the intensity of the fitted line and the noise being the standard deviation of the residual spectrum. These maps are presented in Figs. A.1 to A.9. The velocity maps have been masked using several criteria: we have imposed (i) the line width to be larger than the one of the spectral PSF (the major part of the white pixels in the velocity dispersion error maps), (ii) the uncertainty on the velocity to be less than 30
and (iii) the signal to noise ratio to be larger than
2 (1.5 for the faintest object VVDS020182331). We also made a careful visual inspection of the spectrum to remove outer regions validating the criteria but for which the line was associated with strong sky residuals (see Figs. A.5 and A.6).
3.3.2 Model fitting
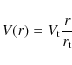
To analyze the velocity fields of high redshift galaxies, four rotation curve models used in the literature (an exponential disk by Förster Schreiber et al. 2006; Cresci et al. 2009; an isothermal disk by Spano et al. 2008; an arctangent function by Puech et al. 2008; and a flat rotation curve by Wright et al. 2007,2009, described hereafter) have been tested on a sub-sample of around 150 data cubes of nearby galaxies that are part of the GHASP sample and which have been projected at high redshift (Epinat et al. 2009). These models consist of two parameters rotation curves that have various shapes, mainly the plateau (decreasing, increasing or flat) and the presence or not of an inner velocity bump. By comparing the parameters determined from high resolution and projected data, Epinat et al. (2009) have shown that the simple model used by Wright et al. (2007,2009) leads to the best estimation of the kinematical parameters on average.
The high resolution rotation curve (velocity V as a function of the radius r) of this model is given by:
![]() |
(10) |
when
| (11) |
when
In the present work, this fit was attempted for all sources in their velocity field using the associated velocity error map
in order to evalutate which ones are compatible with rotating disks.
For objects that we have classified as merging systems (Sect. 4.1), fitting rotating disks on substructures has been attempted and discussed in Appendix A.
The high resolution model is convolved with the seeing measured on the PSF stars and by the 2-pixels Gaussian smoothing applied on the data cubes. The parameters of the model are the position angle of the major axis (measured from North to East), the inclination, the center, the systemic velocity, the plateau of the rotation curve
and the radius
at which the plateau is reached.
This model fitting procedure described in detail in Epinat et al. (2009) is based on a
minimization. One main concern in fitting the data is that the actual high resolution line flux distribution is unknown.
We have assumed that the observed line flux is representative of the high resolution one.
Furthermore, due to projection effects, kinematical models are affected by a degeneracy between the rotation velocity V(r) and the inclination. Even for local resolved galaxies, this degeneracy leads to large error bars on kinematical inclinations (Epinat et al. 2008b,a). Due to the low sampling, this degeneracy cannot be ruled out for high redshift galaxies. We have fixed the inclination to the morphological value determined from I-band continuum images as described in Sect. 3.2.
From the best fit model, we have computed a model velocity dispersion map. This model velocity dispersion map only includes the enlargement of the profiles due to the unresolved velocity gradient because of beam smearing effects (see Epinat et al. 2009, for an analytical computation). It does not include enlargement due to the physics of the gas. Thus, by quadratically subtracting the model from the measured velocity dispersion map, we are able to recover the local velocity dispersion noted hereafter as
.
In order to take into account the uncertainty on the velocity dispersion map while computing the mean velocity dispersion, we have used a weight inversely proportional to the error. The same procedure has been applied while computing the mean velocity residual.
Table 5: Mass parameters.
The results of this fitting procedure are presented in Table 4. It contains the redshifts determined from SINFONI data, the morphological inclination used for the kinematical model, the kinematical position angle, the rotation curve parameters
and
,
the mean velocity residual, the reduced
of the fit and the inner velocity gradient computed by the models. The center has been fixed to match the maximum of the flux distribution except for VVDS220584167 and VVDS220014252 (see Appendix A) since the determination of the kinematical center is severaly affected by the low spatial resolution as underlined in Epinat et al. (2009). Since no clear turnover is reached in the velocity fields and due to a symmetrization process, the center could be offset by more than 0.5
if free, which is unrealistic. This biases the maximum velocity determination, since the extent appears to be larger on the one side than on the other. The bias depends on the offset. It also changes the value of the geocentric spectroscopic redshift to the value corresponding to the center. However, the position angle of the major axis remains a stable parameter.
The centers used are displayed in Figs. A.1 to A.9. The maximum velocity suggested by the models is sytematically higher than the maximum velocity deduced from the maps computed as
where
3.3.3 Dynamical masses
To follow mass assembly along cosmic time, we can compare dynamical masses and stellar masses even if uncertainties for both are rather large.
Given our high resolution 3D data on rotating disk candidates, the most robust mass estimate is the enclosed mass estimate.
However, a mass estimate requires several assumptions. First of all, the system has to be relaxed. The geometry of the system also has important consequences. If we consider that the mass is principally contained in spheroidal haloes, the enclosed mass
at radius R can be expressed as follows:
V being the velocity at radius R.
![]() |
Figure 5: Comparison between total dynamical (y-axis) and stellar (x-axis) masses in log units. Black dots, red squares, green triangles correspond respectively to objects classified (see Sect. 4.1) as rotating disks (RD), perturbed rotators (PR) and merging systems (MS). The solid line represents y=x. |
| Open with DEXTER | |
For some of the galaxies of our sample, there is no strong evidence for rotation and their kinematics are compatible with slowly rotating spherical systems, since the velocity gradient is lower than the velocity dispersion. For spherical, bound and dynamically relaxed systems with random motion, the virial mass is more appropriate than the enclosed mass:
![]() |
(14) |
The parameter C depends on the mass distribution and the geometry of the system, r1/2 is the half light radius and
Since our objects clearly show both rotation and dispersion motion, one might take into account both components to compute the total dynamical mass. To do that, we have to apply an ``asymmetric drift correction'' term (Meurer et al. 1996) which involves radial gradients of the gas surface density, the gaseous velocity dispersion, and the disk scale height. To simplifiy, we assume that the disk scale height radial gradient is null, as well as the dispersion one, since we do not see clear radial dependency in our data.
Thus, assuming that the gas is in dynamical equilibrium and that the gas velocity ellipsoid is isotropic, the total dynamical mass can be expressed as:
where h is the gas surface density disk scale length when described by a Gaussian function and
The first term
is equal to the enclosed mass within radius R. The second term
is similar to the virial mass. Indeed, the gas surface density is well described by a Gaussian function with
.
The virial mass is thus equal to the asymmetric drift correction term at
![]() |
(16) |
In Table 5, we computed
The use of the mass estimates instead of the
For galaxies classified as mergers (see Sect. 4.1), this method to compute the mass is more approximate than for rotating disks. Indeed, the rotation velocity and the extent measurements used to compute the rotation mass component
as well as the half light radius measurement used to compute the dispersion mass component
are derived using a disk hypothesis.
However, since it is difficult to unambiguously extract the components, this method gives a trend (see Appendix A for individual details).
![]() |
Figure 6: Comparison between rotation (y-axis) and dispersion (x-axis) masses in log units. Black dots, red squares, green triangles correspond respectively to objects classified (see Sect. 4.1) as rotating disks (RD), perturbed rotators (PR) and merging systems (MS). The solid line represents y=x. |
| Open with DEXTER | |
As shown in Fig. 5, the total dynamical mass is higher than or equal to the stellar mass within the uncertainties. The difference between dynamical and stellar masses could be even larger if for some galaxies the turnover in the rotation curve is not reached or if the extent of the stellar distribution is much larger than the gas one. This trend shows that in most of the cases, the gravitational potential is mainly due to gas and dark matter.
Rotating disks (dynamical classes are defined in Sect. 4.1) have both high dynamical and stellar masses (around
), while mergers and perturbed rotators present a larger mass range. The comparison between dynamical and stellar masses is discussed for each galaxy in Appendix A.
In Fig. 6, that compares rotation and dispersion masses, rotation-dominated systems are clearly distinguished from dispersion-dominated ones. Indeed, on the one hand, for the two galaxies classified as rotating disks (VVDS220584167 and VVDS220015726), the rotation mass is higher than the dispersion mass by a factor larger than 13, showing that their gravitational support is rotation dominated. On the other hand, VVDS020116027 and VVDS020147106 are clearly dominated by random motion (
)
even if inclination effects may lead to slightly higher values. The five remaining galaxies with
show both rotation and dispersion gravitational supports.
![]() |
Figure 7:
VIMOS optical spectra from which the original redshifts were derived ( left) and SINFONI ( right) 1D spectra around the H |
| Open with DEXTER | |
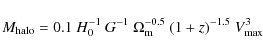
3.3.4 Halo masses
We have estimated the total halo mass (
)
using a spherical virialized collapse model (Peebles 1980; Mo & White 2002; White & Frenk 1991). We assumed that the plateau has been reached in our observations and that the plateau velocity
traces the modeled halo circular velocity:
![]() |
(18) |
where H0 is the local Hubble constant,
In the cases where our models indicate that the plateau is not reached within the observation, we have used the maximum velocity derived from our kinematical modeling within the radius
instead of the plateau velocity of the model
since the plateau is not constrained correctly. The values are available in Table 5.
If we assume that the length of the halo is the size that a galaxy should have in order that its enclosed mass is equal to the halo mass, then for our sample, the halo length is
.
It is larger for rapidly rotating disks since:
![]() |
(19) |
These total halo masses have no physical meaning for galaxies that are not gravitationally supported by rotation. For galaxies having
3.4 Search for type 2 AGN and metallicity
![]() |
Figure 8: Same as Fig. 7 for the five VVDS-22h field galaxies. |
| Open with DEXTER | |
Along with the VIMOS optical spectra, we show in Figs. 7 and 8 the integrated 1D SINFONI spectra
around the H
line, resulting from the sum of all spatial resolution elements in the datacubes at the position of the
sources.
VIMOS and SINFONI combined spectra of the nine observed galaxies are shown in Fig. 9.
These are median spectra that have been computed using respectively [O II] flux and H
flux to normalize each individual spectrum.
One can clearly identify [N II]
6548 and [N II]
6584 emission lines, as well as the [S II] doublet at 6717
and 6731 Å in the SINFONI combined spectrum. The low [N II]
6584/H
and [S II]
6717,6731/H
ratios
(=0.13 and 0.23 respectively) indicate the lack of AGN contribution in our sample. We further performed a careful
inspection of the spatial distribution of the [N II]
6584/H
ratio for each galaxy. [N II]
6584 line flux maps were derived similarly to the H
ones (see Sect. 3.3.1). However, since the [N II]
6584 flux is rather weak, we used the H
line to constrain the line position.
We do not find any significant peak in the flux ratio maps, contrary to Wright et al. (2009) who found an AGN in two of their six
galaxies.
This lack of AGN contribution is further supported by other indicators.
- The quite low mean value of reddening (
or
)
measured in our sample galaxies argues against any dusty AGN alternative.
- We do not detect any strong [Ne III]
3869 or [Ne V]
3426 emission in the VIMOS composite spectrum, which would be a clear signature of Sey2-like activity (e.g. Zakamska et al. 2003).
- No evidence for Sey2-like activity is found in X-ray data. Indeed, we have checked in the HEASARC archive that no X-ray counterpart has been detected at less than 30
from our objects. Moreover, when they exist, the counterparts are closer to brighter objects.
The [N II]
6584/H
ratio can be used to roughly estimate the typical metallicity of our sample. Using the last calibrations proposed by Pérez-Montero & Contini (2009), we have estimated a rather low oxygen abundance
,
corresponding to half the solar metallicity (see Queyrel et al. 2009, for a full discussion of the mass-metallicity relation).
4 Results
4.1 Kinematical classification
It has already been observed by other authors studying z>1 star-forming galaxies with 3D-spectroscopy (Wright et al. 2007; Genzel et al. 2006; Law et al. 2007; Förster Schreiber et al. 2006; Cresci et al. 2009; Genzel et al. 2008; Wright et al. 2009) that the gaseous velocity dispersion of these objects is larger than at lower redshifts (Yang et al. 2008). As shown from kinematical modeling, an unresolved velocity gradient cannot account for high velocity dispersion values (Epinat et al. 2009). The kinematical classification as performed by Flores et al. (2006) on FLAMES/GIRAFFE data relies mainly on the ability to observe a signature of an unresolved velocity gradient in the velocity dispersion map: rotating disks are defined as systems showing a regular velocity gradient and a central peak in the velocity dispersion map, where the actual velocity gradient is the steepest; systems with an offset velocity dispersion peak from the center, or without a peak, are defined as perturbed rotators; the galaxies with no regular velocity gradient and no velocity dispersion central peak are classified as galaxies having complex kinematics. For systems with a high local velocity dispersion of the ionized gas, the velocity dispersion argument is thus not valid any longer. In Fig. 11, we show examples of rotating disk models for two objects from our sample illustrating this point. For VVDS220015726 (first line) and VVDS220014252 (second line), the model velocity fields (first column) show that the kinematics of these objects reasonably match rotating disks (the second column shows the residual velocity fields). For VVDS220015726, the signature in the velocity dispersion map (third column) correctly matches the unresolved velocity gradient signature since the velocity dispersion map central signature (see Fig. A.2) is well removed when quadratically subtracting the model (last column of Fig. 11). For VVDS220014252, which has a higher velocity dispersion, the model velocity dispersion map does not account for the observed velocity dispersion as demonstrated by the resemblance between corrected (last column of Fig. 11) and uncorrected (see Fig. A.2) velocity dispersion maps.
![]() |
Figure 9: Combined spectrum of the nine VVDS galaxies at 1.2 < z < 1.6observed with VIMOS ( top) and SINFONI ( bottom), in arbitrary flux units and rest frame wavelengths. The position of the main emission and absorption lines are indicated in red and blue respectively. |
| Open with DEXTER | |
The
0.65
seeing continuum images from CFHT do not allow a morphological classification as accurate as performed by Neichel et al. (2008)
from HST data on IMAGES sample. However, relying on line flux morphology, the kinematical maps derived from our SINFONI data and from attempts to fit a rotating disk model, we are able to derive a first order kinematical classification.
We defined rotating disks (RDs) as systems for which the rotation mass is higher than the dispersion mass (rotation dominated systems, see the two parameters
and
linked by Eq. (17) and given in Table 5) as shown in Fig. 6 and for which both velocity field and velocity dispersion map are described by rotating disk models.
Merger systems (MSs) are defined as systems with two spatially resolved components in the H
map and for which the velocity field is not described accurately by rotating disk models.
Other systems are classified as perturbed rotators (PRs). They mainly show high velocity dispersions, higher than around 60
,
and their velocity fields show some peculiarities not described by rotating disks.
Figure 10 shows a correlation between the maximum rotation velocity
and the ``1/error''-weighted mean local velocity dispersion corrected for beam smearing effects,
,
in particular for rotating disks and perturbed rotators.
The most massive galaxies (see Table 5) are our two RDs.
This would imply that the most massive disks are stable earlier or that stable disks can already be formed at these redshifts. Random motion is converted into organized motion (rotation) more rapidly for massive systems.
From our classification, we obtain three clear major merging systems, two clear rotating disks and four perturbed rotators that could be either perturbed by minor merging events or by continuous gas accretion. The classification is summarized in Col. (10) of Table 5 and individual detailed comments on the kinematics and dynamics of each galaxy are provided in Appendix A.
4.2 The Tully-Fisher relation
The Tully-Fisher relation (hereafter TFR) (Tully & Fisher 1977) links the maximum rotation velocity to the actual flux or mass of a galaxy (via their logarithm). Extensive work has been produced in order to probe the evolution of the TFR with cosmic time in both B-band and K-band up to redshifts
(e.g. Fernández Lorenzo et al. 2009, for references). Since it requires a large sample of galaxies (more than
50 galaxies), high redshift TFR were derived from long-slit spectroscopy samples, except the ones derived by
(i) Flores et al. (2006) and Puech et al. (2008)
from FLAMES/GIRAFFE IFUs data at
;
(ii) Cresci et al. (2009) from SINFONI data at
and
(iii) Swinbank et al. (2006) from lensed galaxies at
observed with GMOS.
In the framework of the present study, due to the small number of objects, we only look at the distribution of the different kinematical types accross the local TFR. We present the local TFR derived from HI data by Meyer et al. (2008) (solid line) since they provide both K-band (Fig. 12, top) and B-band (Fig. 12, middle) relations.
Puech et al. (2008)
used a subsample of the SDSS sample (Pizagno et al. 2007) to derive a local reference TFR. The latter has been derived using V80 velocities instead of maximum velocities (from H
kinematics) since they argue that their maximum velocity is statistically not measured
(see Puech et al. 2008;
and Pizagno et al. 2007, for details). We thus also plot this K-band reference TFR in Fig. 12, top (dotted line).
![]() |
Figure 10:
Maximum rotation velocity
|
| Open with DEXTER | |
For local samples with H
kinematical data, usually one has to exclude galaxies with low inclination because the uncertainty on their maximum velocity is high, but also galaxies with high inclination because of dust extinction in the disk that can bias the maximum velocity determination.
For high redshift, as mentioned in Sect. 3.2, the inclination is poorly known, thus we expect to observe both face-on and edge-on systems that we are not able to identify.
![]() |
Figure 11: From left to right: model velocity field, velocity field residuals, model velocity dispersion map and velocity dispersion map quadratic residuals. North is up, East is left. The center of the models is marked on each kinematical map with a black and white double cross. The solid line represents the orientation of the kinematical major axis and ends at half light radius measured on I-band images. The flux contours are overplotted. |
| Open with DEXTER | |
Absolute magnitudes in the desired rest-frame band (using the appropriate filter response curve) and stellar masses with their associated error bars for our objects were obtained from the same spectral energy distribution modeling as described in Sect. 3.1 using the GOSSIP software (Franzetti et al. 2008). Stellar masses and the associated errors are provided in Table 5 whereas rest-frame B- and K-band absolute magnitudes and their associated errors determined from the PDF are provided in Table 6. Uncertainties on K-band magnitudes are larger than for the B-band. They result from the lack of any measurement of the K rest-frame (![]()
m) to efficiently constrain the SED fit.
In Fig. 12 top and middle, we show the K- and B-band TFR for our nine
objects. The maximum velocities
have been derived from the rotating disk models.
is systematically higher when coming from the models that take into account the beam smearing effects (see Table 6).
In these figures, to distinguish the three kinematical types, we use different colors and symbols (see caption).
We see that the RD galaxies accurately follow the local B-band TFR as well as the PR with the highest
.
These galaxies show a better agreement with the SDSS K-band TFR rather than the HI one.
The two objects with no substantial rotation observed are the furthest from the local TFR (both K- and B-band). For the one classified as PR, this can be accounted for by the inclination. As for local galaxies, these galaxies have to be excluded from the TFR analysis because of the uncertainty on the inclination.
The other objects classified as PR or MS lie in a restricted area in the TFR and present some correlation (if we exclude the slowest rotator) parallel to the local TFR, both in B- and K-bands. The three kinematical types seem to behave as the three kinematical types of Puech et al. (2008).
Table 6: Magnitudes and maximum velocities.
Given the strong evolution in luminosity with redshift and the fact that the B-band rest-frame magnitude is sensitive to short bursts of star formation, we also consider in Fig. 12 (bottom) the stellar mass TFR which has the advantage of probing more closely the actual stellar mass build-up of galaxies. As for the absolute magnitude TFR, the two rotating disks follow the stellar mass TFR traced by Cresci et al. (2009) between
and
.
A larger sample will be needed in order to provide more advanced conclusions on TFR evolution.
5 Discussion and conclusions
Using high spatial resolution integral
field spectroscopy in the near infrared, we have produced a detailed analysis
of the kinematical maps of nine galaxies with
selected from the VVDS. We have identified three major mergers
systems, two massive rotating disks with total
dynamical mass >
,
and four galaxies with an indication of rotation but with perturbed
velocity maps, two of them with high gaseous
velocity dispersion unseen in local isolated disks (Epinat et al. 2009).
Our sample, although still small but comparable in
size to other samples in the literature, has the
advantage of being selected from an unbiased sample drawn
from the I-band magnitude selected VVDS
and with [OII]3727
Å.
![]() |
Figure 12:
K-band ( top), B-band ( middle) and stellar mass ( bottom) TFRs for our nine |
| Open with DEXTER | |
The effects of beam smearing on the data (mean seeing around 0.65
corresponding to around 5 kpc at these redshifts) have been taken into account in the interpretation of the kinematical maps in particular to correct the velocity dispersion maps for unresolved velocity gradients, using model fitting methods as done by Förster Schreiber et al. (2006) or Wright et al. (2007).
Finding three major merging systems, representing 30% of
our sample, is a high occurence. We can compare this pair fraction to the measurements at lower
redshifts: de Ravel et al. (2009) find that at
about 10% of galaxies with a
stellar mass
are in pairs
likely to lead to a major merger, making the
merger rate in our higher redshift sample significantly
higher.
When taking into account typical merger timescales
of
0.5-1 Gyr, the high rate in our sample means that
over a
3 Gyr period virtually
all galaxies with stellar mass >
will have undergone at least one major merger event.
Although the observed sample is small, this
result is comparable to the fraction of
mergers in other samples at similar (Wright et al. 2009) or higher
redshifts (Shapiro et al. 2008).
In two of our merger systems, we can identify that
one of the galaxies is compatible with
a rotating disk, indicating that disk galaxies
are indeed involved in merging events at these
high redshifts.
The two massive rotating disks, with velocity dispersion
maps indicating stable disks,
confirm that massive rotating disks
with total dynamical mass
are already
well assembled at
.
The stability is underlined by the agreement of these galaxies with local Tully-Fisher relations obtained from local samples. These disks obviously need
to have been assembled at earlier cosmic times, therefore
requiring an early process of formation. These objects
are comparable to some of the massive disks observed at similar
redshifts by Wright et al. (2009), or at higher
redshifts by Förster Schreiber et al. (2006),
Genzel et al. (2008) and Law et al. (2009).
However, we note that these disks make up
only about 20% of our sample.
Perturbed rotators are the dominant population in our
sample, with four galaxies out of nine. These objects show perturbed
velocity maps, two of them with
high velocity dispersion, with a
lower than for typical rotating disks (Fig. 13), indicating that the gravitational support is not mainly due to rotation.
These objects
are clearly a separate class not observed at lower redshifts.
Their dynamical state is comparable to some of the galaxies observed by
Förster Schreiber et al. (2006), Wright et al. (2009),
or Law et al. (2009). At a resolution of a few kiloparsecs,
we argue that it is difficult to disentangle whether
the high velocity dispersion is produced by instabilities resulting from
gas accretion e.g. along the filaments of the cosmic web,
representing early-stage disks with a high cold gas fraction
that fragmented under self-gravity and collapsed to form
a starburst (Immeli et al. 2004b), or by gas-rich minor merger events
(e.g. Semelin & Combes 2002).
Indeed, both scenarios of continuous accretion of cold gas coming from cosmological filaments and frequent mergers of minor cold gas satellites may fuel the disk in fresh gas. If minor mergers (ranging from 10:1 to 50:1) are relatively significant, the relaxation processes will expulse the pre-existing stars from the disk to a spheroid structure or to a very thick disk not directly observable for high redshift galaxies. On the other hand, the formation of these structures would not perturb dramatically the kinematics of the disk, and thus would not be easily observable. Indirect signatures of the existence of a spheroid could be the stabilization of the gaseous disk, reducing the star formation out of merger phases and thus reducing the amount of sub-structures like H
or UV clumps in the disk. On the contrary, a very smooth accretion of diffuse gas coming from an extended halo or from the cosmological filaments will not be efficient enough to form a stellar spheroid. Thus instabilities would be more numerous in the disks and possibly observable through deep imaging addressing the formation of clumps. For very minors mergers (e.g. mass ratio >100:1), the dwarf galaxies will be dislocated by the tidal field once they experience the gravitational field of the main galaxy. Thus, torn by the tidal field, the accretion of very small companions will closely resemble diffuse gas accretion. For a baryonic mass galaxy of
,
these satellites correspond to masses lower than
.
If they exist, due to the lack of spatial resolution, these galaxies would not be observed either in observations or in numerical simulations.
For two of the perturbed rotators observed in our sample (VVDS020147106 and VVDS220014252), the velocity maps are asymmetric and consistent with a small companion in the process of merging. More generally, these perturbed rotators indicate that disk build-up is on-going at the peak of cosmic star formation history.
![]() |
Figure 13:
Ratio of the maximum rotation velocity
|
| Open with DEXTER | |
Star formation rates in our sample are high, with
an average of
55
yr-1,
meaning that over the
1 Gyr between z=1.6 and 1.2 more
than
would be formed if this
rate is sustained, comparable to the average dynamical mass.
This seems to indicate that any external accretion
should last only a limited time.
We have not found any evidence of type 2 AGN in our sample
(type 1 were excluded from our parent
galaxy sample).
The average [N II]/H
and [S II]/H
ratios are typical of star-forming
galaxies (Stasinska et al. 2006), and the [N II]/H
2D maps do not
show a central excess of [N II] that could indicate an AGN.
Although we cannot exclude low luminosity or highly
obscured AGN, this seems to indicate that the AGN
and star formation phenomena may be only weakly connected
in the main star-forming galaxy population.
The question of the assembly of galaxies via major dissipative
mergers or internal secular processes has been
highly debated in the literature. Genzel et al. (2008) advocated
a secular process of assembly to form bulges and disks in
massive galaxies at
.
Law et al. (2009) concluded that the
high velocity dispersions they observe in most galaxies
at
may be neither a ``merger'' nor a ``disk'', but rather
the result of instabilities related to cold gas accretion
becoming dynamically dominant. Our data seem rather to indicate
that several processes are acting at these epochs.
Among them, merging seems to play a key role. On the one hand, we
find a high rate of 30% of close pairs of galaxies expected to
merge in less than 1 Gyr, indicating that the hierarchical build up of
galaxies at the peak of star formation is fully in progress.
On the other hand, in our sample the dominant ``perturbed rotators''
may include a significant fraction of galaxies with
minor mergers in progress or cold gas accretion along streams of the cosmic web, producing
a high velocity dispersion. Minor merging
may be an important phenomenon in the build-up of
galaxies, which will require higher spatial resolution
than currently available on 8-10 m telescopes, even with adaptive
optics, to be confirmed.
In large numerical simulations, major and minor mergers
do play an important role (Bournaud et al. 2005), in parallel to continuous gas accretion (Dekel et al. 2009; Semelin & Combes 2005).
Whether the two massive disks that we observe in our sample
are the result of secular processes with continuous accretion (Genzel et al. 2008) or
of anterior hierarchical build up by major and/or minor mergers
cannot be assessed as both processes take a relatively short time
(less than a 1 Gyr) to complete. These arguments will need to
be revisited with larger representative samples.
Thus, the statistics of this representative sample, based on nine galaxies, show that there does not seem to be one single process driving the mass assembly in galaxies. Major mergers certainly play an important role, while the contribution of minor mergers is likely but will remain difficult to confirm. In addition, secular evolution with accretion that drives gas and stars in the central regions of galaxies remains a possibility to assemble bulges and disks early in the life of the universe. Furthermore, the absence of type 2 AGN in our sample indicates that the AGN phenomenon in high redshift galaxies is at best a short lived event. With the small samples observed to date, we cannot exclude that in the lifetime of galaxies these processes will act at different epochs.
Whether the differences between our sample and other existing samples are mainly due to different selection functions will need to be investigated with larger, well controlled samples. With the on-going MASSIV program at the VLT, we will be able to investigate these issues in more detail.
Acknowledgements
We wish to thank the ESO staff at Paranal Observatory and especially the SINFONI team at VLT for their support during observations. We thank the referee for the constructive comments which helped to improve the quality of this paper. We thank David R. Law for kindly providing us their velocity and velocity dispersion maps before publication (Law et al. 2009). This work has been partially supported by the CNRS-INSU Programme National de Galaxies and by the french ANR grant ANR-07-JCJC-0009. Based on observations obtained with MegaPrime/MegaCam, a joint project of CFHT and CEA/DAPNIA, at the Canada-France-Hawaii Telescope (CFHT) which is operated by the National Research Council (NRC) of Canada, the Institut National des Science de l'Univers of the Centre National de la Recherche Scientifique (CNRS) of France, and the University of Hawaii. This work is based in part on data products produced at TERAPIX and the Canadian Astronomy Data Centre as part of the Canada-France-Hawaii Telescope Legacy Survey, a collaborative project of NRC and CNRS.
References
- Abuter, R., Schreiber, J., Eisenhauer, F., et al. 2006, New Astronomy Review, 50, 398 [NASA ADS] [CrossRef]
- Amram, P., Mendes de Oliveira, C., Plana, H., Balkowski, C., & Hernandez, O. 2007, A&A, 471, 753 [NASA ADS] [CrossRef] [EDP Sciences] (In the text)
- Arnouts, S., Walcher, C. J., Le Fèvre, O., et al. 2007, A&A, 476, 137 [NASA ADS] [CrossRef] [EDP Sciences]
- Bell, E. F., & de Jong, R. S. 2001, ApJ, 550, 212 [NASA ADS] [CrossRef] (In the text)
- Binney, J., & Tremaine, S. 2008, Galactic Dynamics second edition, ed. J. Binney, & S. Tremaine (Princeton, NJ, USA: Princeton University Press) (In the text)
- Blais-Ouellette, S., Amram, P., & Carignan, C. 2001, AJ, 121, 1952 [NASA ADS] [CrossRef]
- Bonnet, H., Abuter, R., Baker, A., et al. 2004, The Messenger, 117, 17 [NASA ADS]
- Bournaud, F., Jog, C. J., & Combes, F. 2005, A&A, 437, 69 [NASA ADS] [CrossRef] [EDP Sciences] (In the text)
- Bournaud, F., Elmegreen, B. G., & Elmegreen, D. M. 2007, ApJ, 670, 237 [NASA ADS] [CrossRef] (In the text)
- Bournaud, F., Daddi, E., Elmegreen, B. G., et al. 2008, A&A, 486, 741 [NASA ADS] [CrossRef] [EDP Sciences] (In the text)
- Bruzual, G. & Charlot, S. 2003, MNRAS, 344, 1000 [NASA ADS] [CrossRef] (In the text)
- Bundy, K., Ellis, R. S., & Conselice, C. J. 2005, ApJ, 625, 621 [NASA ADS] [CrossRef]
- Calzetti, D., Armus, L., Bohlin, R. C., et al. 2000, ApJ, 533, 682 [NASA ADS] [CrossRef] (In the text)
- Conselice, C. J., Bershady, M. A., Dickinson, M., & Papovich, C. 2003, AJ, 126, 1183 [NASA ADS] [CrossRef]
- Cowie, L. L., Songaila, A., Hu, E. M., & Cohen, J. G. 1996, AJ, 112, 839 [NASA ADS] [CrossRef] (In the text)
- Cresci, G., Hicks, E. K. S., Genzel, R., et al. 2009, ApJ, 697, 115 [NASA ADS] [CrossRef]
- Daddi, E., Dickinson, M., Morrison, G., et al. 2007, ApJ, 670, 156 [NASA ADS] [CrossRef]
- de Ravel, L., Le Fèvre, O., Tresse, L., et al. 2009, A&A, 498, 379 [NASA ADS] [CrossRef] [EDP Sciences] (In the text)
- Dekel, A., Birnboim, Y., Engel, G., et al. 2009, Nature, 457, 451 [NASA ADS] [CrossRef] (In the text)
- Eisenhauer, F., Abuter, R., Bickert, K., et al. 2003, in SPIE Conf. Ser. 4841, ed. M. Iye, & A. F. M., 1548
- Elbaz, D., Daddi, E., Le Borgne, D., et al. 2007, A&A, 468, 33 [NASA ADS] [CrossRef] [EDP Sciences]
- Elmegreen, B. G., Elmegreen, D. M., Vollbach, D. R., Foster, E. R., & Ferguson, T. E. 2005, ApJ, 634, 101 [NASA ADS] [CrossRef] (In the text)
- Epinat, B., Amram, P., & Marcelin, M. 2008a, MNRAS, 390, 466 [NASA ADS]
- Epinat, B., Amram, P., Marcelin, M., et al. 2008b, MNRAS, 388, 500 [NASA ADS] [CrossRef]
- Epinat, B., Amram, P., Balkowski, C., & Marcelin, M. 2009, MNRAS, submitted, [arXiv:0904.3891] (In the text)
- Erb, D. K., Steidel, C. C., Shapley, A. E., et al. 2006, ApJ, 647, 128 [NASA ADS] [CrossRef] (In the text)
- Fernández Lorenzo, M., Cepa, J., Bongiovanni, A., et al. 2009, A&A, 496, 389 [NASA ADS] [CrossRef] [EDP Sciences] (In the text)
- Flores, H., Hammer, F., Puech, M., Amram, P., & Balkowski, C. 2006, A&A, 455, 107 [NASA ADS] [CrossRef] [EDP Sciences]
- Förster Schreiber, N. M., Genzel, R., Lehnert, M. D., et al. 2006, ApJ, 645, 1062 [NASA ADS] [CrossRef]
- Franzetti, P., Scodeggio, M., Garilli, B., Fumana, M., & Paioro, L. 2008, in Astronomical Data Analysis Software and Systems XVII, ed. R. W. Argyle, P. S. Bunclark, & J. R. Lewis, ASP Conf. Ser., 394, 642 (In the text)
- Garilli, B., Le Fèvre, O., Guzzo, L., et al. 2008, A&A, 486, 683 [NASA ADS] [CrossRef] [EDP Sciences] (In the text)
- Garrido, O., Marcelin, M., & Amram, P. 2004, MNRAS, 349, 225 [NASA ADS] [CrossRef]
- Gavazzi, G., Bonfanti, C., Sanvito, G., Boselli, A., & Scodeggio, M. 2002, ApJ, 576, 135 [NASA ADS] [CrossRef] (In the text)
- Genzel, R., Tacconi, L. J., Eisenhauer, F., et al. 2006, Nature, 442, 786 [NASA ADS] [CrossRef]
- Genzel, R., Burkert, A., Bouché, N., et al. 2008, ApJ, 687, 59 [NASA ADS] [CrossRef]
- Glazebrook, K., Abraham, R. G., McCarthy, P. J., et al. 2004, Nature, 430, 181 [NASA ADS] [CrossRef] (In the text)
- Hopkins, A. M. & Beacom, J. F. 2006, ApJ, 651, 142 [NASA ADS] [CrossRef]
- Immeli, A., Samland, M., Gerhard, O., & Westera, P. 2004a, A&A, 413, 547 [NASA ADS] [CrossRef] [EDP Sciences]
- Immeli, A., Samland, M., Westera, P., & Gerhard, O. 2004b, ApJ, 611, 20 [NASA ADS] [CrossRef]
- Kennicutt, J. R. C. 1998, ARA&A, 36, 189 [NASA ADS] [CrossRef] (In the text)
- Kitzbichler, M. G., & White, S. D. M. 2008, MNRAS, 391, 1489 [NASA ADS] [CrossRef] (In the text)
- Komatsu, E., Dunkley, J., Nolta, M. R., et al. 2009, ApJS, 180, 330 [NASA ADS] [CrossRef] (In the text)
- Law, D. R., Steidel, C. C., Erb, D. K., et al. 2007, ApJ, 669, 929 [NASA ADS] [CrossRef]
- Law, D. R., Steidel, C. C., Erb, D. K., et al. 2009, ApJ, 697, 2057 [NASA ADS] [CrossRef]
- Le Fèvre, O., Vettolani, G., Garilli, B., et al. 2005, A&A, 439, 845 [NASA ADS] [CrossRef] [EDP Sciences] (In the text)
- Lotz, J. M., Davis, M., Faber, S. M., et al. 2008, ApJ, 672, 177 [NASA ADS] [CrossRef]
- McCracken, H. J., Radovich, M., Bertin, E., et al. 2003, A&A, 410, 17 [NASA ADS] [CrossRef] [EDP Sciences] (In the text)
- Mendes de Oliveira, C., Amram, P., Plana, H., & Balkowski, C. 2003, AJ, 126, 2635 [NASA ADS] [CrossRef]
- Meurer, G. R., Carignan, C., Beaulieu, S. F., & Freeman, K. C. 1996, AJ, 111, 1551 [NASA ADS] [CrossRef] (In the text)
- Meyer, M. J., Zwaan, M. A., Webster, R. L., Schneider, S., & Staveley-Smith, L. 2008, MNRAS, 391, 1712 [NASA ADS] [CrossRef] (In the text)
- Mo, H. J., & White, S. D. M. 2002, MNRAS, 336, 112 [NASA ADS] [CrossRef]
- Modigliani, A., Hummel, W., Abuter, R., et al. 2007, ArXiv Astrophysics e-prints
- Neichel, B., Hammer, F., Puech, M., et al. 2008, A&A, 484, 159 [NASA ADS] [CrossRef] [EDP Sciences]
- Noeske, K. G., Weiner, B. J., Faber, S. M., et al. 2007, ApJ, 660, L43 [NASA ADS] [CrossRef]
- Noguchi, M. 1999, ApJ, 514, 77 [NASA ADS] [CrossRef] (In the text)
- Östlin, G., Amram, P., Bergvall, N., et al. 2001, A&A, 374, 800 [NASA ADS] [CrossRef] [EDP Sciences]
- Peebles, P. J. E. 1980, The large-scale structure of the universe, Research supported by the National Science Foundation (Princeton, N.J., Princeton University Press), 435
- Pei, Y. C. 1992, ApJ, 395, 130 [NASA ADS] [CrossRef] (In the text)
- Peng, C. Y., Ho, L. C., Impey, C. D., & Rix, H.-W. 2002, AJ, 124, 266 [NASA ADS] [CrossRef] (In the text)
- Pérez-Montero, E., & Contini, T. 2009, MNRAS, in press, ArXiv e-prints 0905.4621 (In the text)
- Pizagno, J., Prada, F., Weinberg, D. H., et al. 2007, AJ, 134, 945 [NASA ADS] [CrossRef] (In the text)
- Puech, M., Flores, H., Hammer, F., et al. 2008, A&A, 484, 173 [NASA ADS] [CrossRef] [EDP Sciences]
- Puech, M., Hammer, F., Flores, H., Östlin, G., & Marquart, T. 2006, A&A, 455, 119 [NASA ADS] [CrossRef] [EDP Sciences]
- Queyrel, J., Contini, T., Perez-Montero, E., et al. 2009, A&A, submitted, [arXiv:0903.1211] (In the text)
- Salpeter, E. E. 1955, ApJ, 121, 161 [NASA ADS] [CrossRef] (In the text)
- Semelin, B., & Combes, F. 2002, A&A, 388, 826 [NASA ADS] [CrossRef] [EDP Sciences] (In the text)
- Semelin, B., & Combes, F. 2005, A&A, 441, 55 [NASA ADS] [CrossRef] [EDP Sciences]
- Sersic, J. L. 1968, Atlas de galaxias australes (Cordoba, Argentina: Observatorio Astronomico) (In the text)
- Shapiro, K. L., Genzel, R., Förster Schreiber, N. M., et al. 2008, ApJ, 682, 231 [NASA ADS] [CrossRef]
- Somerville, R. S., Hopkins, P. F., Cox, T. J., Robertson, B. E., & Hernquist, L. 2008, MNRAS, 391, 481 [NASA ADS] [CrossRef] (In the text)
- Spano, M., Marcelin, M., Amram, P., et al. 2008, MNRAS, 383, 297 [NASA ADS] (In the text)
- Stark, D. P., Swinbank, A. M., Ellis, R. S., et al. 2008, Nature, 455, 775 [NASA ADS] [CrossRef] (In the text)
- Stasinska, G., Cid Fernandes, R., Mateus, A., Sodré, L., & Asari, N. V. 2006, MNRAS, 371, 972 [NASA ADS] [CrossRef] (In the text)
- Swinbank, A. M., Smith, J., Bower, R. G., et al. 2003, ApJ, 598, 162 [NASA ADS] [CrossRef]
- Swinbank, A. M., Bower, R. G., Smith, G. P., et al. 2006, MNRAS, 368, 1631 [NASA ADS] [CrossRef] (In the text)
- Tresse, L., Ilbert, O., Zucca, E., et al. 2007, A&A, 472, 403 [NASA ADS] [CrossRef] [EDP Sciences]
- Tully, R. B. & Fisher, J. R. 1977, A&A, 54, 661 [NASA ADS] (In the text)
- Veilleux, S., Shopbell, P. L., & Miller, S. T. 2001, AJ, 121, 198 [NASA ADS] [CrossRef]
- Walcher, C. J., Lamareille, F., Vergani, D., et al. 2008, A&A, 491, 713 [NASA ADS] [CrossRef] [EDP Sciences] (In the text)
- White, S. D. M. & Frenk, C. S. 1991, ApJ, 379, 52 [NASA ADS] [CrossRef]
- Wright, S. A., Larkin, J. E., Barczys, M., et al. 2007, ApJ, 658, 78 [NASA ADS] [CrossRef]
- Wright, S. A., Larkin, J. E., Law, D. R., et al. 2009, ApJ, 699, 421 [NASA ADS] [CrossRef]
- Yang, Y., Flores, H., Hammer, F., et al. 2008, A&A, 477, 789 [NASA ADS] [CrossRef] [EDP Sciences]
- Zakamska, N. L., Strauss, M. A., Krolik, J. H., et al. 2003, AJ, 126, 2125 [NASA ADS] [CrossRef] (In the text)
Online Material
Appendix A: Properties of individual galaxies
In this appendix, we present the morphological, kinematical and dynamical properties for each galaxy derived from
I-band images, H
flux maps, radial velocity maps, velocity dispersion maps and their associated error maps (Figs. A.1 to A.9). On each velocity map, the kinematical center used for the kinematical analysis is plotted with a black and white double cross.
The kinematical position angle is also displayed and ends at half light radius r1/2 (Table 5). The flux contours are overplotted on both velocity fields and velocity dispersion maps. In all figures, North is up and East is to the left. The kinematical parameters and the masses are given in Tables 4 and 5.
In error maps, pixels with values out of the scale range are displayed in white.
![]() |
Figure A.1:
VVDS020116027 maps. From left to right: I-band CFHT legacy survey best seeing image, H |
| Open with DEXTER | |
![]() |
Figure A.2: Same as Fig. A.1 for VVDS020182331. The signal to noise ratio threshold for this galaxy has been set to 1.5. |
| Open with DEXTER | |
VVDS020116027.
This galaxy shows a faint and irregular velocity gradient. The H
flux map, the velocity field and the velocity dispersion map suggest
two components separated by about 6 kpc (0.75
). Indeed, the velocities decrease from South to North accross the main component but decrease by around 15
when reaching the faint component. The separation between the two components is characterized by a higher velocity dispersion that could indicate a merging event (Amram et al. 2007) or an unresolved gap in velocity between the two components.
The velocity separation of the centers of these two components is close to 0
.
The merging timescale would be around 0.4 Gyr (from Kitzbichler & White 2008). The faint component is not seen in the I-band CFHTLS image, but the system appears as distorted and elongated, leading to an inclination of the whole system of 50
.
The very low maximum rotation velocity (50
)
may indicate that the object is almost not rotating (
)
or that the main component is seen nearly face-on.
![]() |
Figure A.3: Same as Fig. A.1 for VVDS020147106. |
| Open with DEXTER | |
![]() |
Figure A.4: Same as Fig. A.1 for VVDS020261328. The East feature in the signal to noise ratio map corresponds to a badly subtracted cosmic ray. |
| Open with DEXTER | |
VVDS020182331.
The flux of this galaxy is mostly concentrated in the central parts. This galaxy shows a perturbed velocity field. A strong sky line residual (14605 Å) perturbs the line measurements and is responsible for both northern velocity dispersion and line flux peaks observed towards the North.
The uncertainty on the velocity measurements is lower than 20
for the central arcsecond only (in diameter). In this central part, a rotating disk model is acceptable. The corrected velocity dispersion of this object is high (71
). We do not detect in H
the close-by object revealed in CFHTLS best seeing images, indicating that this object is a foreground or background galaxy or that it is a companion with no star formation with which VVDS020182331 may interact. The latter explanation could explain the perturbed rotation observed in VVDS020182331. This object is slightly more rotation supported than dispersion supported (
)
and has a dynamical mass of
.
It is classified as a perturbed rotator.
VVDS020147106.
The H
flux is concentrated in the center. The size of the galaxy is twice the seeing (see Table 1). This galaxy shows a faint velocity shear compatible with a face-on rotating disk. The velocity dispersion map does not show any peak but is higher on the eastern side (by about 20
). The northern edge shows higher velocities of about 30
.
However, the one pixel crown of the edges has higher uncertainties due to a low signal to noise ratio (lower than 4) and was masked to fit a rotating disk model. The fit indicates that a low velocity plateau (30
)
is reached close to the center. This low maximum rotation velocity suggests that the inclination of this system is even lower than suggested from the I-band image or that this object is strongly dispersion dominated (
). Due to the compactness of this object (
r1/2=1.2 kpc) and compared to the total extent of H
emission (
kpc), the dispersion mass is estimated to be
,
which is 15 times larger than the stellar mass (
). This suggests that this star-forming galaxy is embedded in a large dark matter halo or that it contains a large amount of gas. Even if it cannot be excluded that this galaxy is a dispersion dominated spheroid
, this galaxy is classified as a perturbed rotating disk since it has a high velocity dispersion (80
)
and shows rotation in its perturbed velocity field. The asymmetries observed in the velocity maps could be accounted for by a minor merging event.
VVDS020261328.
The H
flux map is peaked and faintly extends toward the South. The velocity dispersion map has a peak around 120
to the South-East. The velocity field shows a clear but irregular velocity shear of about 100
that extends over 0.8
in radius. Fitting a rotating disk model suggests that only the central part of the galaxy is detected since the plateau is not reached. It also shows that the velocity dispersion peak cannot be explained by beam smearing effects. For the same reasons as VVDS020147106, VVDS020261328 has a dynamical mass (
)
30 times higher than the stellar mass (
), suggesting
that dark matter and cool gas dominate the gravitational potential of this galaxy. The SFR is the lowest of our sample (see Table 3).
This galaxy is classified as a pertubed rotator that is mainly rotation supported (
).
VVDS220596913.
The H
flux map shows two main components separated by 12.5 kpc (1.5
)
that are not clearly distinguished in the I-band image. The brigthest component is located on the western side and is composed of two peaks of equal intensity. The eastern component is much fainter. It has a smooth velocity gradient and two peaks in the velocity dispersion map (around 100
). One corresponds to the brightest H
knot, and the other is more diffuse and corresponds to the transition region between the two components where the H
emission is the faintest (signal to noise ratio around 4). The high velocity dispersion between the two components can be a signature of merging as for the Hickson compact group H31 (Amram et al. 2007). The velocity shear of the faint component is misaligned by around 20
with respect to the one of the bright component suggesting, as does the flux distribution, that this system is composed of two galaxies in the process of merging. The velocity separation of the two components is estimated to be
150
.
The merging timescale would be around 1.2 Gyr.
Although a large and unique rotating disk consituted by large clumps as seen in Bournaud et al. (2008) cannot be excluded (leading to
), fitting the brightest component alone gives better results in terms of
,
suggesting that the main component is rotating with a maximum velocity of around 200
.
We fixed the center between the two flux peaks of the main component, and used an inclination of 55
.
Assuming that both components have the same dimensions (half the whole system dimensions), we obtained a dynamical mass of around
(dominated by rotation) for the bright component and
(dominated by dispersion) for the faint one. This implies a total dynamical mass of
,
of the same order as the one computed considering a unique object (
).
This object is classified as a major merger system.
VVDS220584167.
VVDS220584167 is the object that presents the most extended H
map of the sample. It has an elongated peak in the velocity dispersion map close to the center. The observation is affected by a strong sky line residual (16195 Å, see Fig. 8) that induces large uncertainties on line measurements, mainly on the southern side.
The velocity field shows asymmetry and the galaxy presents a distorted morphology in the I-band image which makes possible the existence of a strong bar (see for comparison UGC 08937 in Epinat et al. 2009). Moreover, the observed displacement between I-band and H
morphologies suggests a violent star formation event compatible with the high SFR of this galaxy.
The velocity field is reasonably fit by a simple rotational disk model, and the central velocity dispersion peak is not accounted for by the model since it does not simulate the effect of a bar. VVDS220584167 is the most massive disk of the sample, with a dynamical mass of
.
It is also the most rotation-dominated object (
and
).
Thus this galaxy is classified as a rotating disk with a bar.
![]() |
Figure A.5: Same as Fig. A.1 for VVDS220596913. The North feature is compatible with sky line residuals. The I-band map is a CFH12K/CFHT image. |
| Open with DEXTER | |
![]() |
Figure A.6: Same as Fig. A.5 for VVDS220584167. The North-West feature is compatible with sky line residuals. |
| Open with DEXTER | |
VVDS220544103.
The H
flux map of VVDS220544103 shows two peaks separated by around 6 kpc (0.75
). It also shows a distorted morphology both in the line flux map and in the I-band image. A faint velocity gradient (
30
)
is observed toward the main northern peak, whereas a strong velocity gradient (
120
)
is observed to the South of the fainter southern peak. The two gradients are in the same direction and the velocity field is continuous accross the whole object. The isovelocity contours are perpendicular to the distorted and elongated morphology. The strongest peaks in the velocity dispersion are located at the edges where the signal to noise ratio is low. Excluding these peaks, the velocity dispersion map shows an elongated peak close to the faint H
flux peak.
Fitting a simple rotating disk model to the whole system leads to a ratio
.
However, this object is hard to fit with such a model and the dynamical mass estimates just give an indication of its total mass.
From our data, it is not possible to separate two components and compute mass estimates for both. We estimated the total dynamical mass as
using a unique rotating disk object hypothesis. However, one might guess that at least one component could be seen nearly face-on and thus have a higher maximum velocity and thus a higher total mass.
The velocity separation between the two components is around 40
.
The merging timescale for this system would be around 0.5 Gyr. This object could be two or more galaxies in a merging process and is classified as a merging system.
![]() |
Figure A.7: Same as Fig. A.5 for VVDS220544103. |
| Open with DEXTER | |
![]() |
Figure A.8: Same as Fig. A.5 for VVDS220015726. |
| Open with DEXTER | |
VVDS220015726.
The central regions give a clean signal, while the low signal regions are affected by sky residuals due to the proximity of two strong sky lines next to H
(15053 Å and 15056 Å).
The H
map is peaked at the center and it also has a peak at the same location in the velocity dispersion map (
100
). The kinematical maps of this galaxy are well reproduced by the rotating disk model. In particular, this model shows that the central velocity dispersion is due to beam smearing effects (see Fig. 11). The relatively high
value of the fit is only due to the fact that this object shows the highest velocities. VVDS220015726 is clearly dominated by rotation (
)
since it is the fastest rotator of the sample (
)
but also the object with the lowest velocity dispersion (
). Its total dynamical mass (
)
is compatible within the error bars to its stellar mass (
). This indicates that the halo contribution is low in the central parts of this galaxy. This object is classified as a rotating disk.
![]() |
Figure A.9: Same as Fig. A.5 for VVDS220014252. |
| Open with DEXTER | |
VVDS220014252.
The H
flux map of VVDS220014252 shows an elongated peak and diffuse emission in the outer parts, compatible with the I-band morphology. The peak does not perfectly match the center of external isophotes. The H
flux map also suggests the presence of an arm on the western side.
The velocity field is the one of a rotating disk except in the eastern side where it shows unexpectedly high velocities.
A rotating disk model correctly fits the velocity field. The fit is better (smaller
)
when the center does not match the H
flux peak, but the center of external isophotes. Adopting an inclination of 56
,
the deprojected maximum rotation velocity is quite low (103
). The model shows that the maximum rotation velocity is reached close to the kinematical center.
The North-West side of the velocity field shows a bump and thus a small decrease.
Around this bump, profiles are broad and asymmetric. Broad profiles (more than 150
)
are also observed at the North-East edge, with a rather good signal to noise ratio (larger than 5). The velocity dispersion is not peaked at the center of the galaxy but is high everywhere. Moreover, the mean velocity dispersion of this galaxy is the highest of the whole sample (92
). The model shows that the velocity dispersion is not due to beam smearing effects(see Fig. 11).
The broad and asymmetric profiles suggests the possibility of having intrinsic double profiles that can be signatures of interactions (Amram et al. 2007). Moreover, the kinematics is not dominated by rotation since
and the total dynamical mass (
)
is dominated by the dispersion mass (
).
For these reasons, this galaxy showing the highest SFR of the sample is classified as a perturbed rotator possibly in the process of a minor merging event.
Footnotes
- ...

- Based on observations collected at the European Southern Observatory (ESO) Very Large Telescope, Paranal, Chile, as part of the Programs 75.A-0318 and 78.A-0177.
- ...
- Appendix A is only available in electronic form at http://www.aanda.org
- ...
MASSIV
- www.ast.obs-mip.fr/massiv/
- ... environment
- Interactive Data Language.
All Tables
Table 1: Table of observations.
Table 2: Fluxes and luminosities of VVDS galaxies.
Table 3: SFRs and extinctions of VVDS galaxies.
Table 4: Kinematical parameters.
Table 5: Mass parameters.
Table 6: Magnitudes and maximum velocities.
All Figures
![]() |
Figure 1:
Selection of late-type
1 < z < 1.54 star-forming galaxies with secure redshift
and measured [O II] |
| Open with DEXTER | |
| In the text | |
![]() |
Figure 2: Best SED model fit (continuous line) and photometric points overplotted for the nine galaxies of the sample. |
| Open with DEXTER | |
| In the text | |
![]() |
Figure 3:
Comparison of extinctions computed from SED fitting (x-axis) and from the comparison of SFRs deduced from UV and H |
| Open with DEXTER | |
| In the text | |
![]() |
Figure 4:
Comparison of H |
| Open with DEXTER | |
| In the text | |
![]() |
Figure 5: Comparison between total dynamical (y-axis) and stellar (x-axis) masses in log units. Black dots, red squares, green triangles correspond respectively to objects classified (see Sect. 4.1) as rotating disks (RD), perturbed rotators (PR) and merging systems (MS). The solid line represents y=x. |
| Open with DEXTER | |
| In the text | |
![]() |
Figure 6: Comparison between rotation (y-axis) and dispersion (x-axis) masses in log units. Black dots, red squares, green triangles correspond respectively to objects classified (see Sect. 4.1) as rotating disks (RD), perturbed rotators (PR) and merging systems (MS). The solid line represents y=x. |
| Open with DEXTER | |
| In the text | |
![]() |
Figure 7:
VIMOS optical spectra from which the original redshifts were derived ( left) and SINFONI ( right) 1D spectra around the H |
| Open with DEXTER | |
| In the text | |
![]() |
Figure 8: Same as Fig. 7 for the five VVDS-22h field galaxies. |
| Open with DEXTER | |
| In the text | |
![]() |
Figure 9: Combined spectrum of the nine VVDS galaxies at 1.2 < z < 1.6observed with VIMOS ( top) and SINFONI ( bottom), in arbitrary flux units and rest frame wavelengths. The position of the main emission and absorption lines are indicated in red and blue respectively. |
| Open with DEXTER | |
| In the text | |
![]() |
Figure 10:
Maximum rotation velocity
|
| Open with DEXTER | |
| In the text | |
![]() |
Figure 11: From left to right: model velocity field, velocity field residuals, model velocity dispersion map and velocity dispersion map quadratic residuals. North is up, East is left. The center of the models is marked on each kinematical map with a black and white double cross. The solid line represents the orientation of the kinematical major axis and ends at half light radius measured on I-band images. The flux contours are overplotted. |
| Open with DEXTER | |
| In the text | |
![]() |
Figure 12:
K-band ( top), B-band ( middle) and stellar mass ( bottom) TFRs for our nine |
| Open with DEXTER | |
| In the text | |
![]() |
Figure 13:
Ratio of the maximum rotation velocity
|
| Open with DEXTER | |
| In the text | |
![]() |
Figure A.1:
VVDS020116027 maps. From left to right: I-band CFHT legacy survey best seeing image, H |
| Open with DEXTER | |
| In the text | |
![]() |
Figure A.2: Same as Fig. A.1 for VVDS020182331. The signal to noise ratio threshold for this galaxy has been set to 1.5. |
| Open with DEXTER | |
| In the text | |
![]() |
Figure A.3: Same as Fig. A.1 for VVDS020147106. |
| Open with DEXTER | |
| In the text | |
![]() |
Figure A.4: Same as Fig. A.1 for VVDS020261328. The East feature in the signal to noise ratio map corresponds to a badly subtracted cosmic ray. |
| Open with DEXTER | |
| In the text | |
![]() |
Figure A.5: Same as Fig. A.1 for VVDS220596913. The North feature is compatible with sky line residuals. The I-band map is a CFH12K/CFHT image. |
| Open with DEXTER | |
| In the text | |
![]() |
Figure A.6: Same as Fig. A.5 for VVDS220584167. The North-West feature is compatible with sky line residuals. |
| Open with DEXTER | |
| In the text | |
![]() |
Figure A.7: Same as Fig. A.5 for VVDS220544103. |
| Open with DEXTER | |
| In the text | |
![]() |
Figure A.8: Same as Fig. A.5 for VVDS220015726. |
| Open with DEXTER | |
| In the text | |
![]() |
Figure A.9: Same as Fig. A.5 for VVDS220014252. |
| Open with DEXTER | |
| In the text | |
Copyright ESO 2009
Current usage metrics show cumulative count of Article Views (full-text article views including HTML views, PDF and ePub downloads, according to the available data) and Abstracts Views on Vision4Press platform.
Data correspond to usage on the plateform after 2015. The current usage metrics is available 48-96 hours after online publication and is updated daily on week days.
Initial download of the metrics may take a while.


![\begin{displaymath}\frac{{{\it SFR}}_{{\rm H}\alpha}}{[{M_\odot}\textup{ yr}^{-1...
...imes 10^{-42} \frac{{L}({\rm H}\alpha)}{[\textup{erg s}^{-1}]}
\end{displaymath}](/articles/aa/full_html/2009/36/aa11995-09/img68.png)
![\begin{displaymath}\frac{{{\it SFR}}_{\textup{\scriptsize {[O~{\sc ii}]}}}}{[{M_...
...0^{-41} \frac{L\textup{([O~{\sc ii}])}}{[\textup{erg s}^{-1}]}
\end{displaymath}](/articles/aa/full_html/2009/36/aa11995-09/img71.png)
![\begin{displaymath}\frac{{L}_{1500}} {[\textup{erg~s$^{-1}$ ~Hz$^{-1}$ }]} = 10^...
...imes 4\pi \frac{\left(\frac{D_{L}}{[{\rm cm}]}\right)^2}{1+z},
\end{displaymath}](/articles/aa/full_html/2009/36/aa11995-09/img72.png)
![\begin{displaymath}\frac{{{\it SFR}}_{\rm UV}}{[{M_\odot}\textup{ yr}^{-1}]} = 1...
...8}~\frac{{L}_{1500}}{[\textup{erg~s$^{-1}$ ~Hz$^{-1}$ }]}\cdot
\end{displaymath}](/articles/aa/full_html/2009/36/aa11995-09/img73.png)





![$\displaystyle i_{\rm max}=a\cos\left[ \frac{b-\Delta}{a+\Delta}\right]$](/articles/aa/full_html/2009/36/aa11995-09/img90.png)
![$\displaystyle i_{\rm min}=a\cos\left[ \frac{b+\Delta}{a-\Delta}\right]\cdot$](/articles/aa/full_html/2009/36/aa11995-09/img91.png)














![\begin{figure}
\par\includegraphics[width=8.7cm,clip]{11995f11}
\end{figure}](/articles/aa/full_html/2009/36/aa11995-09/Timg214.png)











