| Issue |
A&A
Volume 506, Number 2, November I 2009
|
|
|---|---|---|
| Page(s) | 999 - 1042 | |
| Section | Astronomical instrumentation | |
| DOI | https://doi.org/10.1051/0004-6361/200912446 | |
| Published online | 27 August 2009 | |
A&A 506, 999-1042 (2009)
Photometric calibration of the Supernova
Legacy Survey fields
,
N. Regnault1 - A. Conley2 - J. Guy1 - M. Sullivan3 - J.-C. Cuillandre4 - P. Astier1 - C. Balland1,5 - S. Basa6 - R. G. Carlberg2 - D. Fouchez7 - D. Hardin1 - I. M. Hook3,8 - D. A. Howell9,10 - R. Pain1 - K. Perrett2 - C. J. Pritchet11
1 - LPNHE, CNRS-IN2P3 and Universités Paris 6 & 7, 4 place
Jussieu, 75252 Paris Cedex 05, France
2 - Department of Physics and Astronomy, University of Toronto, 50 St.
George Street, Toronto, ON M5S 3H4, Canada
3 - Department of Astrophysics, University of Oxford, Keble Road,
Oxford OX1 3RH, UK
4 - Canada-France-Hawaii Telescope Corp., Kamuela, HI 96743, USA
5 - University Paris 11, 91405 Orsay, France
6 - LAM, CNRS, BP8, Traverse du Siphon, 13376 Marseille Cedex 12,
France
7 - CPPM, CNRS-IN2P3 and Université Aix-Marseille II, Case 907, 13288
Marseille Cedex 9, France
8 - INAF - Osservatorio Astronomico di Roma, via Frascati 33, 00040
Monteporzio (RM), Italy
9 - Las Cumbres Observatory Global Telescope Network, 6740 Cortona Dr.,
Suite 102, Goleta, CA 93117, USA
10 - Department of Physics, University of California, Santa Barbara,
Broida Hall, Mail Code 9530, Santa Barbara, CA 93106-9530, USA
11 - Department of Physics and Astronomy, University of Victoria, PO
Box 3055, Victoria, BC V8W 3P6, Canada
Received 7 May 2009 / Accepted 8 August 2009
Abstract
Aims. We present the photometric calibration of the
Supernova Legacy Survey (SNLS) fields. The SNLS aims at measuring the
distances to SNe Ia at (0.3<z<1)
using MegaCam, the 1 deg2 imager on the
Canada-France-Hawaii Telescope (CFHT). The uncertainty affecting the
photometric calibration of the survey dominates the systematic
uncertainty of the key measurement of the survey, namely the
dark energy equation of state. The photometric calibration of the SNLS
requires obtaining a uniform response across the imager, calibrating
the science field stars in each survey band (SDSS-like
bands)
with respect to standards with known flux in the same bands, and
binding the calibration to the
Landolt standards used to calibrate the nearby SNe from the literature
necessary to produce cosmological constraints.
Methods. The spatial non-uniformities of the imager
photometric response are mapped using dithered observations of dense
stellar fields. Photometric zero-points against Landolt standards are
obtained. The linearity of the instrument is studied.
Results. We show that the imager filters and
photometric response are not uniform and publish correction maps. We
present models of the effective passbands of the instrument as a
function of the position on the focal plane. We define a natural
magnitude system for MegaCam. We show that the systematics affecting
the magnitude-to-flux relations can be reduced if we use the
spectrophotometric standard star BD +17 4708 instead
of Vega as a fundamental flux standard. We publish
catalogs
of tertiary standards for all the SNLS fields.
Key words: cosmology: observations - techniques: photometric - methods: observational
1 Introduction
As we enter an era of precision supernova cosmology, photometric calibration becomes an increasingly important contribution to the systematic error budgets. All cosmology oriented surveys have therefore undertaken ambitious calibration efforts in order to ``break the 1% barrier''. A notable example is the work published by the Sloan Digital Sky Survey (SDSS) (Ivezic et al. 2007; Padmanabhan et al. 2008). Major future surveys are also planning ambitious photometric calibration programs, relying on stellar calibrator observations and in-situ laboratory measurements (Keller et al. 2007; Stubbs & Tonry 2006; Tucker et al. 2007; Burke 2007; Magnier 2007).
An example of a program demanding a better than
1% photometric precision is the measurement of the
cosmological parameters using type Ia supernovae
(SNe Ia) (Wood-Vasey
et al. 2007; Riess et al. 2007; Astier
et al. 2006). This measurement is all about
comparing the luminosity distances of a set of distant SNe Ia
with those of their nearby counterparts. High-z (
)
SN Ia distances are determined from measurements taken with
the redder bands of the survey (r, i
and z), a model of the
SNe Ia spectral energy distribution (SED) and a model of the
survey passbands. Intermediate (
)
SN Ia distances rely on the same ingredients but measurements
taken with the bluer bands of the survey (typically g
and r). Nearby (
)
supernovae usually come from datasets collected in the 1990s by
dedicated low-redshift surveys (Riess et al. 1999; Hamuy
et al. 1996; Jha et al. 2006), and
calibrated in the Landolt
system. Astier et al. (2006)
analyze in detail the impact of the high-redshift survey calibration
uncertainties on the cosmological parameters. They show that
a 1% shift of the high-redshift survey zero-points
results in a variation of the dark-energy equation of state
parameter - w -
of 0.040; a 1 nm precision of the survey
passband central wavelength results in an uncertainty of 0.013
on w; finally, an error of 1% in
the intercalibration of the B and R passbands
(respectively
and
)
has also a sizeable impact on w,
of 0.024.
Another example is the determination of photometric redshifts of galaxies (Brodwin et al. 2006; Ilbert et al. 2006). The measurement involves comparing the measured fluxes in several bands with synthetic photometry computed from galaxy SED models and models of the survey passbands. Ilbert et al. (2006) demonstrate that photometric redshift determination and galaxy type identification are sensitive to 1%-level zero point changes. The analysis also requires an accurate determination of the survey passbands.
In many applications, notably the two presented above, the
survey measurements must be converted
into physical fluxes at some point in the analysis, in order to be
compared with predicted synthetic
fluxes, computed from a SED model and a model of the survey
passbands. A requirement of the photometric calibration is
therefore that the connection between the magnitudes and their
broadband flux counterparts is not broken. The most direct way to
ensure this, is to define the survey calibrated magnitudes as natural
magnitudes. In other words, the survey magnitude m
of an object whose measured broadband flux is
must be defined as:

and may not depend on the object's colors.
This paper presents the photometric calibration of the Canada-France-Hawaii Telescope Supernova Legacy Survey (SNLS, Astier et al. 2006) 3-year dataset, taken with the wide field imager MegaCam. Our primary motivation is the calibration of the luminosity distances to the type Ia supernovae discovered by the SNLS. However, the results presented here should be useful for all applications relying on photometric data taken with MegaCam since the beginning of the CFHT Legacy Survey (CFHTLS) operations in 2003.
Many broadband magnitude systems have been defined over the
last few decades and implemented under the form of catalogs of standard
star magnitudes (Landolt
1992b; Stetson
2000; Stetson
et al. 2005; Smith et al. 2002; Landolt 1983,1973; Ivezic
et al. 2007; Menzies et al. 1989).
The most widely used standard star network is that of Landolt (1992b). Using it to
calibrate the SNLS dataset is not the most obvious choice, notably
because the Johnson-Kron-Cousins
filters used by
Landolt differ significantly from the
filters which equip
MegaCam. Unfortunately, the magnitudes of the nearby supernovae used
to supplement the SNLS dataset are reported in the Landolt system.
Hence, adopting the same standard star network allows one to minimize
the systematic uncertainties which affect the comparison of the
(external) nearby and (SNLS) distant-SN Ia luminosity
distances.
The goal of the SNLS 3-year calibration was set by the results of the systematic uncertainty analyzes presented in Astier et al. (2006). Improving the precision on w requires pushing the uncertainties on the calibrated supernova fluxes as close to 1% as possible. Attaining this kind of precision turned out to be challenging. The key problems that had to be solved were (1) the control of the imager photometric response uniformity (2) the modeling of the large and non-linear Landolt-to-MegaCam color transformations (3) the choice of the optimal fundamental spectrophotometric standard used to interpret the calibrated magnitudes as physical fluxes minimizing the associated systematic errors and (4) the modeling of the imager effective passbands. All these aspects are discussed in detail in this paper.
The main output of the calibration consists in catalogs of g,r,i,z natural magnitudes for each of the four fields surveyed by SNLS, along with a recipe to map these magnitudes to fluxes. Another key result is a model of the imager effective passbands. The last important output of this work, the photometric response maps, shall be released along with the next release of the survey images.
![]() |
Figure 1: SDSS 2.5-m effective passbands, and MegaCam effective passbands at the center of the focal plane. The g' and i' SDSS passbands are slightly bluer than the corresponding MegaCam passbands. The central value of the SDSS r' and z' are very similar to those of their MegaCam counterparts. |
| Open with DEXTER | |
The calibration of the u-band data poses additional problems, and deserves a paper of its own. In particular, the mean wavelength of the effective u MegaCam passbands is extremely sensitive to the atmospheric conditions and to the airmass. As an example, it varies by almost 2 nanometers between airmass 1 and 1.5. Moreover, the DEEP field u-band observations are not used by the SNLS project and are therefore not time sequenced. As a consequence less epochs are available, which makes the calibration much less robust. The u-band magnitudes of the SNLS tertiaries are presented in appendix. The precision on the calibrated u-band fluxes is of about 5%, much larger than the 1% obtained in the other bands.
A plan of the paper follows. In Sects. 2 and 3 we present the MegaCam wide field imager and the SNLS survey. The photometry algorithms used to derive the survey calibration are presented in Sect. 4. Section 5 is devoted to the presentation of Elixir, the image pre-processing pipeline developed at CFHT. Given the stringent requirements on the calibration precision, the Elixir results have been scrutinized by the SNLS collaboration, and new maps of the imager photometric response have been derived. This work is presented in Sect. 6. An essential ingredient needed to interpret the calibrated magnitudes as fluxes is a reliable model of the imager effective passbands. The derivation of those is presented in Sect. 7. The last sections of the paper are devoted to the main output of the calibration: the derivation of the tertiary star catalogs. In Sect. 8 we discuss how we derive the survey zero-points from the Landolt star observations. The next section, Sect. 9, is devoted to the definition of a natural MegaCam magnitude system. Section 10 discusses the conversion of these natural magnitudes into physical fluxes, through the use of a well chosen fundamental flux standard, namely the spectrophotometric standard star BD +17 4708. Section 11 presents the derivation of the tertiary catalogs and the selection of the photometric nights. Finally, we discuss in Sect. 12 the systematic uncertainties affecting the calibrated magnitude measurements and their physical flux counterparts.
2 MegaPrime and MegaCam
MegaCam is a wide-field camera, hosted in the dedicated prime focus
environment MegaPrime on the Canada France Hawaii 3.6 m
telescope (Boulade et al.
2003). The camera images a field of
view 0.96
0.94 deg2, using 36
thinned E2V 2048
4612 CCDs, with pixels of 13.5
that subtend 0.185
on a side - the focal
ratio being F/4.1. Each CCD is
read out from two amplifiers, which allows one to read out the
340 Mpixel focal plane in 35 s. The output of each
amplifier is sampled by a 16 bit ADC. The
gains of the readout chain have been set to about 1.5 e-/ADU
with the consequence that only half of the MegaCam CCD full well (
200 000 e-)
is actually sampled by the readout electronics. The CFHT has an
equatorial mount and the camera angle is fixed with respect to both the
telescope and the sky.
The linearity of the imager photometric response has been carefully checked using images of a dense stellar field, observed under photometric conditions, with increasing exposure times (see Appendix C for details). The linearity has been found to be better than 1% at the pixel level. The corresponding upper limit for the non-linearities affecting the star fluxes is much smaller, of the order of 0.1%.
The filter system is a juke box which holds up to 8 filters. The CFHT Legacy Survey performs observations in five bands, labeled uM, gM, rM, iM, zM, similar to the SDSS u,g,r,i,z bands (Gunn et al. 1998; Fukugita et al. 1996) and realized using interference filters. The thinned MegaCam CCDs exhibit fringing, of about 6% of the sky background peak to peak in iM, and 15% in zM. The filters initially mounted on MegaPrime were manufactured by Sagem/REOSC. In June 2007, the iM filter was accidentally broken and a new filter (labeled i2M hereafter), was procured from Barr Associates and installed on the camera in October 2007. This new filter is not discussed in this work, and the calibration obtained for the old filter cannot be applied to the new one.
The transmission of the MegaPrime filters were characterized by their respective manufacturers and the CFHT team upon reception. Their most salient feature is the significant spatial non-uniformity of their transmission curves (namely of their central wavelength), which impacts significantly the observations (see Sect. 6). Interestingly, the new i2M filter exhibits a variation pattern similar to the old one, although different manufacturers produced them.
Systematic differences were found between the MegaCam and
SDSS filters, which translate into small color terms between
both instruments (see Appendices B
and G).
In particular, the uM-band
filter is significantly bluer than its SDSS counterpart. This
is a deliberate design choice as the MegaCam E2V chips are
much more efficient in the blue than the SITe CCDs used in the SDSS
imager. For this reason, the uM-filter
is sometimes labeled
,
in order to distinguish it from a standard u' filter.
The shutter is made of a half disk (1 m in diameter) whose rotation is controlled precisely, in order to ensure a constant speed when the shutter crosses the CCD mosaic. The minimum exposure time that can be obtained is of 1 s, with uniformity of illumination of the large focal plane better than 10 ms. In order to increase the accuracy of the short exposure times, the exact duration of the exposure is measured with a 1 ms accuracy using a dedicated system independent from the shutter motion controller.
MegaPrime is operated and maintained by the
CFHT team, which has steadily improved the performance of the
imager. From the first light, MegaPrime images appeared to suffer from
an image quality (IQ)
degradation of 0.25
(FWHM) from
center to corner. For example, the mean
image quality of the rM-band
exposures was 0.65
at the center of the focal
plane, and almost 0.9
on the corners. Despite an
optimization of the vertical position of the
four-lens wide field corrector (WFC), this situation prevailed until
November 2004, when the almost flat WFC L3 lens was
flipped during an investigation. This resulted in a dramatic
improvement of the IQ uniformity, with no degradation of the
median IQ. In July 2005, a small tilt was applied to
the camera itself resulting in an essentially uniform image quality.
Exposures with IQ varying from 0.4
to 0.48
across the field of view have
been routinely obtained since then.
A summary of the main modifications of the imager setup is
presented in Table 5.
3 The SNLS survey
The SNLS survey is a ground-based supernova survey, aiming primarily at measuring the dark-energy equation of state parameter w. It has been designed to build up a sample of 500 SNe Ia in the redshift range 0.3 < z < 1.0. The SNLS project has two components: a large imaging survey using MegaPrime to detect supernovae and monitor their lightcurves, and a spectroscopic survey to confirm the nature of the candidates, and determine their redshift. During its five years of operation (mid-2003 to mid-2008), the survey delivered about 100 spectroscopically identified SNe Ia per year. The cosmological measurements based on the first year dataset have been presented in Astier et al. (2006).
SNLS exploits the DEEP component of the CFHT Legacy Survey (CFHTLS), which targets four low Galactic extinction fields (see Table 1 for coordinates and extinction). The data are time sequenced in gM,rM,iM and zM with observations conducted every 3-4 nights in dark time, allowing the construction of high-quality multicolor supernova light curves. Because SNLS is highly vulnerable to gaps in the supernova light curves, MegaPrime was mounted on the telescope at least 14 nights around every new moon during the course of the survey - every such observing period is called a MegaCam (or MegaPrime) run. The deep CFHTLS component comprises additional observations in the MegaCam uM band, which are not time sequenced, and not directly used by the SNLS. The calibration of the uM band data has however been included in the present work.
Table 1: Fields observed by the DEEP/SN component of the CFHTLS.
The CFHT Legacy Survey observations are taken in ``queue
service observing'' (QSO) mode by the CFHT staff (Martin et al. 2002). For
the SNLS, an image quality better than 1
is required. Sometimes this
constraint is relaxed to meet additional
constraints on the sequencing needed to ensure a regular sampling of
the supernova lightcurves. However, since the SNLS is a high-priority
program, and the median seeing at CFHT (in the rM-band)
is 0.75'', the actual average IQ obtained over the four fields
is about 0.96
,
0.88
,
0.84
and 0.82
in the
bands.
The cumulated exposure times acquired every four nights
(1125 s, 1800 s, 1800 to 3600 s,
3600 s in gM,
rM, iM
and zM
respectively) are split into 5 to 10 individual
exposures of 225 to 520 s each (see Sullivan et al. 2006).
The science exposures are dithered, in order to limit the impact of the
dead areas (dead columns, gaps) on
the science observations. The dithering offsets are essentially
determined by the size of the gaps between the CCDs, and reach
100 pixels in x (or right
ascension) and 500 pixels in y
(or declination).
On average, the D1 and D2 fields are observed at an airmass of 1.2, while the D3 and D4 fields are observed at a slightly higher airmass of about 1.3.
Photometric calibration exposures are routinely taken, often
at the beginning and/or the end of every potentially photometric night.
The science and calibration observations can therefore be separated by
a few hours, and a careful detection of the non-photometric nights must
be
implemented. The standard calibration program consists in
5 band observations of one Landolt
(1992b) field at a time. The calibration fields also contain
several standard stars from the Smith
et al. (2002) catalog. Since these latter standards
can be bright (mag
), the telescope is slightly
defocused, by 0.1 mm, which still allows a Gaussian PSF
profile, but reduces the maximum pixel flux by about a factor two in
order to avoid saturation. The exposure time of
the calibration exposures is kept between two and three seconds.
All the exposures taken with MegaCam are pre-processed at CFHT by the Elixir pipeline (Magnier & Cuillandre 2004 and Sect. 5 of this paper). This pre-processing stage comprises a bias removal, a flat field correction, a photometric flat correction (see Sects. 5 and 6), and defringing of the long exposures (over 10 s) taken in the iM and zM bands. No defringing is applied to the calibration exposures.
This paper relies on the first 3.5 years of the survey - from August 2003 to December 2006. Table 2 shows the number of seasons and epochs for each field. It also presents the number of photometric nights, as will be discussed in Sect. 11. As will be shown below, the large number of observations allows us to implement a very robust calibration procedure, and reach low levels of internal systematic uncertainties.
4 Photometry
SNLS aims ultimately at assigning magnitudes to supernovae. In practice, this means that we have to measure ratios of supernovae fluxes to standard star fluxes. The measurement of these ratios is carried out in two steps: the ratio of (secondary) standards to science field stars (i.e. tertiary standard candidates), and the ratio of supernova to field stars. In order to be optimal, faint supernovae should be measured using PSF photometry, and hence the ratios of SN to tertiaries will be a ratio of PSF fluxes, in the same exposure. This measurement is not in the scope of this paper, and we refer interested readers to Guy et al. (2009); Astier et al. (2006).
Because we have a large number of epochs and several images per epoch, the ratio of standard fluxes to science field star fluxes is not photon-noise limited and can therefore be measured using aperture photometry. This avoids the shortcomings of PSF flux ratios over different images, with different PSFs. In this section, we describe the aperture photometry algorithm and discuss systematics affecting the ratio of standards to field star fluxes.
Table 2: SNLS/DEEP and Landolt field observations.
4.1 Aperture photometry
The calibration and science data is reduced using the SNLS standard reduction software used in Astier et al. (2006). Each exposure file is split into 36 smaller FITS images each corresponding to a CCD. On each smaller CCD-image, we detect the sources and model the sky background using the SExtractor package (Bertin & Arnouts 1996). We recompute the sky background map, using only the pixels not affected by the detected object fluxes. We subtract this new background map from the image. We recompute the object Gaussian moments and aperture fluxes.
Figure 2 show the Gaussian second moments of the field stars as a function of the position on the mosaic for a r-band image taken in 2003 and a r-band image taken in the same conditions, in 2005. It is apparent from this figure that the uniformity of the PSF has improved over the course of the survey. However, given the variations of the image quality across the mosaic, we scale the photometry apertures with an estimate of the local image quality, in order to try and minimize the spatial variations of the aperture corrections.
The image quality on each CCD is estimated as the radius of the circle that has the same area as the ellipse defined by the average star second moments. We carry out the aperture photometry in a set of 10 (IQ scaled) radii (typically from 5 to 30 pixels) of all the objects detected. The apertures are centered on the positions obtained from the Gaussian fit. Tests on synthetic data demonstrated that our aperture photometry code gives accurate estimates of fluxes and errors.
Aperture pollution by neighbor objects can bias the flux
estimations. We therefore chose to work with smaller apertures of
radius equal to 7.5
HWHM (14 pixels on average). This leads to
non-negligible aperture corrections, of at least 3%. This is perfectly
acceptable, as long as we check that these aperture corrections
(1) are uniform across the focal plane and (2) are
the same at the per mil level on the science and calibration exposures.
![]() |
Figure 2: Value of the bright star Gaussian moments as a function of the radial distance to the focal plane center. Black circles: Gaussian moments, computed on a rM-band image, taken in 2003-10-31 (before the L3-flip). Red triangles: Gaussian moments, computed on a rM-band image of identical seeing (at the center of the focal plane), taken two years later on 2003-10-31. As can be seen, the uniformity of the image quality has been noticeably improved. |
| Open with DEXTER | |
To check that the scaling aperture strategy gives a uniform photometry, we studied the ratio of the flux within the standard aperture adopted for the calibration studies (7.5 HWHM) over the flux computed in a much larger aperture (20 HWHM).
![]() |
Figure 3: Ratio of the flux computed in two apertures of different sizes (7.5 HWHM and 20 HWHM) as a function of the image quality computed for each CCD, for a set of rM-band images taken on 2003-10-01, when the PSF was not uniform over the focal plane. As can be seen, the ratio is not sensitive to the image quality, and hence, on the focal plane position. |
| Open with DEXTER | |
This shows that capturing a constant fraction of the flux of stars at the per mil level across the mosaic is not straightforward. There is a benefit for scaling apertures, but this approach is not sufficient for excellent quality photometry, in terms of systematic errors. We however settled for scaling apertures, using an aperture of 7.5 seeings (RMS) in radius, which makes the aperture size an issue at the 0.2% level.
4.2 Background estimation
The ``underlying background'' is the sum of all the underlying sources of photons which do not come from the star itself - sky background, mainly, plus undetected objects. It is subtracted directly from the pixels using a background map computed by SExtractor. An incorrect background subtraction may bias the flux estimations, and this bias varies quadratically with the aperture radius. In order to estimate the quality of the background measurements, we chose to study the variation of the aperture corrections in a large annulus around isolated stars as a function of the star fluxes, and measure how these corrections extrapolate to very low flux. The residual background measured is +0.06(0.003), -0.03(0.006), -0.23(0.03) and -0.04(0.02) ADU per pixel in the gM, rM, iM- and zM-bands respectively. In the gM- and rM-bands, the impact of the residual background on the aperture magnitudes reported is smaller than 0.001 mag up to mag 21. Idem in the zM-band up to mag 19. In the iM-band, however, it induces a sizeable magnitude dependent effect, reaching 0.005 mag at magnitude 21. However, since the measurement of the residual background on a night basis is affected by large statistical uncertainties, we chose not to correct for this effect, and include it in the systematic uncertainty budget (Sect. 12).
4.3 Aperture corrections
The tertiary stars in science frames are calibrated with respect to observations of standard star fields. Although in both kinds of frames the fluxes are measured using aperture photometry, there is a possibility that the fraction of the flux within the aperture in both cases be different. Indeed, standard exposures are typically 2-3 s, without guiding, and with a telescope slightly defocused, while science exposure are integrated for 300 to 500 s, with guiding. In addition, there is evidence that the telescope is still vibrating when taking the standard star exposures. As a consequence, the PSF on each dataset is expected to be different, leading to different aperture corrections.
To address this issue, we computed the fractional increase of flux of sufficiently isolated objects in an aperture twice as large (12 HWHM) as the one chosen for calibration purposes (7.5 HWHM). This large aperture is considered here as an acceptable proxy for the total flux, because we expect that the PSF shape at large radii becomes increasingly independent of atmospheric variability and guiding. This flux increase is averaged over all measurements of a given night, separately for science and standard images, and separately for each band. Only nights where both science and standards were observed enter in these averages. These averages are refered to as aperture corrections, although fluxes are not ``corrected''. We report in Table 3 the average and rms of these aperture corrections together with statistics of the image quality. One can note that aperture corrections differ only by 0.2% between science and standard frames, and are well correlated over the same night. This difference is small and is probably due to standards being observed on average with a poorer image quality. These differential aperture corrections are about 0.2% for g, r, i and z bands, and compatible with 0 for u band, where the image quality is on average identical for science and standard fields. This effect is accounted for by correcting the tertiary standard calibrated magnitudes, as discussed in Sect. 12.
5 The Elixir pipeline
At the end of each MegaPrime run, master twilight flat field frames and master fringe frames are built from all the exposures taken during the run, including non-CFHTLS data (which represents about half of the total dataset). The Elixir pipeline, developed and operated by the CFHT team (Magnier & Cuillandre 2004), builds master flat fields for each filter by stacking the individual flat field frames. Individual frames inadvertently contaminated by clouds or nearby moon light are rejected. They are identified by dividing each individual flat field exposure by the master flat, and inspecting the result visually. Typically, no more than one iteration is needed to reject the outliers. In order to mitigate possible non-linearity residuals at the sub-percent level, individual flat field images are acquired in the 10 000 to 15 000 ADU range. After two weeks, there are typically 40 to 60 usable frames that can be stacked into a final normalized frame equivalent to a single 400 000 ADU counts per pixels, reducing to negligible photon noise levels (between one and two per mil).
If one measures the photometry of the same star on an image
flatfielded from the twilight flats, the flux varies by about
in the uM
band and
in the gM-,
rM-, iM-,
and zM-bands
when moving the star from center to edges of the field of view. The
variation is monotonic and essentially follows a circular pattern.
A photometric flat, which ought to
deliver uniform photometry across the field of view (see below and
Sect. 6)
is then created by multiplying the master flat frame
by the maps of the imager photometric response non-uniformities. This
frame is the one used for flatfielding the science images of the entire
run, and allows for all multiplicative effects in the image to be
corrected at once. The photometric flat was expected to correct this to
within a percent. Section 6
will reveal that this is not the case, with 4% peak-to-peak
residuals remaining.
Fringe patterns are built by processing all iM- and zM-band images corrected by the final flat. First the sky background is mapped at a large scale (100 pixels) and subtracted. Then, the exposures are scaled according to the fringe amplitudes measured on 100 peak-valley pairs on each CCD. Since all CCDs see the same sky, a single scaling factor is derived from the 36 CCDs. The scaled exposures are stacked, and an iterative process similar to the one described above is carried out, with a visual control allowing the rejection of frames containing extended astrophysical sources such as large galaxies. Note that the fringe pattern contains the signature of the photometric grid.
Table 3: Statistics of the average aperture corrections and image quality over nights when both science and standards were observed.
After these steps, Elixir processes all the images of the run, and derives an astrometric solution per CCD only, at the pixel scale level (0.2'') - no global solution over the mosaic is computed. The goal is to provide the users with a first order astrometric solution. Following this step, all the frames containing Smith et al. (2002) standards are identified and processed, with the SExtractor package (Bertin & Arnouts 1996). The flux of the Smith et al. (2002) standard stars is determined using the SExtractor bestphot algorithm. A median zero-point for the entire run is derived for each filter, since it is not reasonable time wise to obtain enough Smith et al. (2002) standard star observations per night to derive solid zero-point solutions. Again, the intention is to provide users with a photometric scaling, but SNLS uses its own procedures to calibrate the images, as the default calibration is not precise enough for our needs.
5.1 Plate scale variations
Plate scale variations cause a variation of the photometric response on images flat-fielded using twilight images (or any kind of isotropic illumination), because twilight images encode both sensitivity variations and variations of the solid angle subtended by the instrument pixels. To correct this photometric distortion introduced through flat fielding by plate scale variations, it is common to resample images on a iso-area projection prior to photometry, ignoring the Jacobian of the geometrical transformation in the course of the resampling. As this approach assumes that the only source of photometric non-uniformity of flatfielded images is the plate-scale variation, we should compare plate-scale variations and photometric non-uniformity. Note however that SNLS photometric reductions do not involve any resampling on iso-area projections.
The plate scale can be determined with a precision better than 1 from the astrometry of dense stellar fields:
![]() |
(1) |
where
is the solid
angle subtended by one pixel,
and
refer to (e.g.) equatorial coordinates on the sky, and x
and y are pixel coordinates on CCDs.
Figure 4
shows the variations of
on
the focal plane, relative to a point located on CCD #13,
close to the center of the camera. The pixel area scale can be up
to 4% smaller on the focal plane corners than on the
center. Since this variation is far smaller than the variation of
photometric response we measure (
), we should conclude that
most of the photometric non-uniformity is not due
to plate scale variations.
The measured plate scale variation pattern is similar in all bands and seems to be extremely stable. It was not affected by the substantial changes of the imaging system: we have compared plate scales measured on semester 2003B and 2006B and found them to be identical at the 1-level.
5.2 Elixir strategy
The residual non-uniformity of photometric response is likely to be due to some source of light hitting the focal plane that does not follow the normal light path that forms a star image. This ``extra'' light is called ``scattered light'' in Elixir parlance. This name remains although the elimination of genuine sources of scattered light by extra baffling added in MegaPrime did not change the overall shape of twilight images.
It is however not necessary to identify the source of photometric response variations across the field of view to correct it. The pragmatic approach of the Elixir team has been to measure as precisely as possible the non-uniformity of the photometric response and include a correction in the flat-field images applied to the raw images. This choice has two consequences. First, images flat-fielded this way have a spatially varying sky background. Second, the 4% response variation expected from plate-scale variations is corrected for in the flat-fielding and users resampling images should account for the Jacobian of the resampling transformation prior to photometry, in order to preserve fluxes across the resampling.
![]() |
Figure 4:
Pixel area variations (i.e. square of the plate scale
variations) computed on the MegaCam focal plane. Each grid rectangle
corresponds to one CCD. CCD #0 is up left. CCD #35 is
down right. Each CCD has been divided into 4 |
| Open with DEXTER | |
The key data to measure the photometric response is a set of dithered exposures on low Galactic latitude fields, also called the ``photometric grid'' by the Elixir team. Elixir has implemented a reduction of these data sets and the resulting correction maps are incorporated into the flat-fields. Since the goal of the SNLS is to calibrate the imager with a sub percent precision, we have decided to put the Elixir pipeline results under scrutiny and to redetermine independently the grid correction maps applied to the data.
6 The photometric grids
The photometric response non-uniformity maps are derived from dithered observations of the two dense fields listed in Table 4. The dithered sequence starts with an exposure followed by a series of 6 offset observations in the X direction and 6 in the Y direction. The steps increase logarithmically from a few hundred pixels up to half a mosaic. Such observations are performed almost each semester, and after each significant change in the optical path. Table 5 lists all the datasets taken since the beginning of the survey, along with the improvements of the optical path performed by the CFHT team. In order to limit the shortcomings of extinction corrections, observations are carried out in a single sequence and over a limited airmass range (typically 0.01 or less). This data is refered to as ``grid observations'' in the Elixir parlance, and the corrections derived from them are called ``grid corrections''.
Table 4: The dense stellar fields observed to model the imager non-uniformities (Grid Fields).
Table 5: Grid field observations and MegaCam/MegaPrime optical improvements.
The grid exposures are processed with the standard Elixir procedure, except that no photometric flat is applied to the pixels. The instrumental fluxes of the grid stars are therefore affected by the 10% to 15% non-uniformities we are trying to model.
The data is reduced using the standard SNLS reduction
procedure described below (4.1).
In particular, we filter the detected objects on each
individual exposure, selecting isolated star-like objects. In the rM-band,
this leaves us with
usable
flux measurements per CCD. For a whole grid sequence
(13 dithered observations), this represent
about 100 000 stars measured twice or more, and about
600 000 flux measurements.
6.1 The photometric response maps
Our goal is to determine how the instrumental magnitudes
of a star vary as a
function of the position on the focal plane. In practice, it is
convenient to choose a specific location as the reference
location,
,
and the relation between the instrumental magnitudes of an object, at
positions
and
,
and
can
be parametrized as:

where
The quantity
is
the star color, measured in the MegaCam passbands at the reference
location. There is some degree of arbitrariness in the definition of
,
since it is always possible to redefine the color reference
,
and absorb the difference in the
's:
.
Hence, there is a color convention associated with each
map,
which must be made explicit. We choose to define a conventional grid
reference color,
,
and parametrize the grid corrections as:
There are several ways to choose the grid reference colors. One possibility is to define them as the mean color of the grid stars, in order to minimize the statistical uncertainties carried by the
In the next section, we detail how we extract the
and
maps
from the grid data.
6.2 Measuring the photometric response maps
As described in Sect. 5 the
grid data in one MegaCam band consists in 13 dithered
observations of a dense stellar field (about 100 000 isolated
stars per exposure). Each field star being observed at various
locations on the focal plane, one can compare the instrumental
magnitudes at those locations and fit the
and
maps
defined in the previous section.
To parametrize the grid maps, we chose to develop them on
basis functions:
and
.
Since the photometric response variations may be sharp, especially when
transitioning from one CCD to another, we used a basis of independent
superpixels (also called cells thereafter),
rather than smooth functions such as splines or polynomials.
To model the
map,
we divided each CCD into Nx
Ny =
4
9 superpixels. Each superpixel is 512
512 pixels wide and contains about 70 bright,
isolated grid stars, which is enough to measure the
with
a precision better than 0.001 mag. We have found that
determining the
requires more stars per superpixel, in order to have a sufficient color
lever-arm in each cell. We therefore used larger cells, dividing each
CCD into Nx
Ny = 2
3 cells.
With such a parametrization, the number of grid parameters is
4
9
36 + 2
3
36 - 2 = 1510, one cell
being taken as a reference for each map. Fitting
such a model (i.e. building and inverting
a 1510
1510 symmetric positive definite matrix) is routinely done on
modern desktop computers.
With only 13 dithered exposures, about 99% of the grid stars
are never observed on the reference cells. Hence the instrumental
magnitudes of these stars at the reference location,
,
are never directly measured and must be fitted along with the grid map
parameters. The same is true for the star colors
,
which means that we must analyze the grid data in two bands
simultaneously. This adds about 200 000 (nuisance)
parameters to the fit, turning it into a large dimensionality,
non-linear problem, which is much more difficult to solve.
In order to make the problem tractable, we have followed an
iterative approach, after checking with simulations that this is
feasible. In the first step, we fit the data independently in each
band, ignoring the
terms.
We then update the star colors, and refit the grid data in each band.
We have found that it suffices to iterate the procedure twice in order
to retrieve the correct colors. No such iterative procedure applies for
the star magnitudes
though. Fitting 100 000 parameters is still possible,
using approximate methods, which do not require to build the
second
derivative matrix, such as the conjugate gradient method. It is also
possible to fit alternatively one set of parameters, keeping the other
ones fixed. We have experienced however, that the conjugate gradient
method converges very slowly and can lead to wrong solutions, if one is
not ready to perform the O(100 000) required
iterations. Successive optimizations on the grid parameters at fixed
star magnitudes, and vice versa also converge very slowly and remain
far from the true minimum.
Fortunately, we have found that the structure of the problem
is simple enough to allow us to obtain the true minimum of the
,
and determine simultaneously the grid parameters, the grid star
magnitudes, along with their exact covariances. The details of the
method are documented in details in Appendix A.
The approach in fact applies to many
other calibration problems, such as least squares for astrometric
solutions as posed in e.g. Kaiser et al. (1999); Padmanabhan
et al. (2008). In the remaining of this section, we
will present the results obtained with this technique.
6.3 Monte-Carlo checks
The extraction technique described in Appendix A was tested on simulated data. Our main concern was to look for possible degeneracies affecting the determination of the grid correction parameters, as well as possible biases, coming from the fact that the fit is slightly non-linear.
A realistic catalog of grid stars was built from real rM-
and iM-band
measurements. Using this catalog, a photometric distortion model and
the dithering pattern applied to the grid sequence, we generated a
hundred realizations of a typical two-band grid run. From this set of
data, the grid
corrections,
and
were reconstructed from each
realization and compared to the
photometric distorsion model.
![]() |
Figure 5:
Top panel: normalized distribution of the
difference between the reconstructed and simulated
|
| Open with DEXTER | |
![]() |
Figure 6:
Top panel: distribution of the difference
between the reconstructed and simulated |
| Open with DEXTER | |
Figures 5 and 6 show the distribution of the difference between the simulated photometric distorsion model and the reconstructed grid calibration parameters, in the iM-band, for all the 100 realization processed. It is clear from those figures that the extraction method is an unbiased estimator of the photometric distorsion model, as could be expected from a (almost) linear fit.
On the same figure, we have represented the same difference,
obtained for one realization only. We see that the reconstructed grid
correction parameters are offset by a small amount, and the
value of the offset is almost exactly opposite for the
and
the
.
This effect comes from the structure of the noise affecting the
and
map estimates. All the
(resp.
)
are positively correlated with a correlation coefficient of
about 0.5. These values can be easily explained if we consider
that each
(resp.
)
cell value is the difference between the the zero point (resp. color
term) of cell number i and the zero point
(resp. color term) of the reference cell.
![]() |
Figure 7:
gM,
rM, iM-
and zM-band
|
| Open with DEXTER | |
Robustification algorithms have been implemented in the fit procedure:
the fit was performed several times, and at each cycle, the
measurements with a partial
above 4 sigmas of the median
were
removed. This is unavoidable, since least-square methods are extremely
vulnerable to outliers, and since we are dealing with
105-106 measurements,
potentially affected by undetected cosmics or bad pixels. We have
checked the robustification scheme by generating 2%
of outliers in the simulated dataset. The error affecting the outliers
was chosen uniform in the
range.
The results presented in Figs. 5
and 6
show that the robustification procedure correctly rejects the outliers.
![]() |
Figure 8:
rM-band
|
| Open with DEXTER | |
The extraction method described above ignores possible variations of the atmospheric absorption during one dithering scan. Since such variations can bias the grid parameter reconstruction, it is tempting to fit, along with the grid parameters, one global zero point per exposure, in order to correct from such variations. We have implemented this model, and run it on simulated data. We have found, inspecting the covariance matrix of the fit that there is an almost total degeneracy between the grid parameters and the exposure zero-points.
Not surprisingly, the uncertainties on the reconstructed grid
parameters, marginalized over the exposure zero points are much higher,
of the order of several percents. Hence, the only way to deal
with atmospheric absorption is to add a control exposure at the end of
the sequence, similar to the first exposure. This would allow one to
assess whether the sequence was photometric or not. Unfortunately, no
such control exposure is currently available. One may recover an
acceptable accuracy by fitting a coarser (typically one coefficient per
CCD) non-uniformity model to the data. One can still be reasonably
confident that the atmospheric variations do not affect the grid data.
Indeed, before taking a grid sequence, the observers ensured that the
conditions were indeed photometric according to the SkyProbe
monitor.
Finally, it is interesting to compare the minimum
values
obtained when fitting either the grid model presented above or the same
model, with all
parameters
fixed to zero. We notice that the
between
both models is of the order of 3000 (for
215 parameters added). This is a very significant improvement.
However the fractional improvement on the fit residuals remains very
modest: below 10-2. This shows that
when dealing with such a large
dimensionality problem, we can get a perfectly acceptable
reduced
for a model which is obviously
wrong. Hence, obtaining the true minimum
of the
function
using an exact technique such as the one presented in Appendix A
is vital to determine the optimal grid corrections.
6.4 Results
All the datasets presented in Table 5 were analyzed with the procedure described in Sects. 6.2, 6.3 and Appendix A. We parametrize the color corrections as follows:
Figure 7 presents the gM, rM, iM- and zM-band
![]() |
Figure 9:
gM-,
rM, iM-
and zM-band
|
| Open with DEXTER | |
The
maps are presented in Fig. 9. We do
measure non-zero color terms between the reference location and any
other focal plane location. This came as a surprise, and was
later validated by the filter scans provided by the filter manufacturer
(see Sect. 7).
The non-uniformity pattern is essentially invariant by rotation around
the center of each filter. This is inherently the result of the
manufacturer pushing the
technology when coating filters of that size (
)
with multiple layers. The coating chambers simply do have a projection
beam uniform enough to deliver the uniformity routinely achieved on
smaller filters. The
maps
were determined independently on each grid set. No significant
variations of the maps were found between 2003
and 2006.
The reduced
obtained from the fits is of about 4 in the gM-band
and 3 in the rM,
iM and zM-bands.
Indeed, we have neglected the contribution of the flat field errors and
of the fringing when evaluating the photometric measurement
uncertainties. Since the fit is
linear, we have chosen to re-scale the photometric errors by the
appropriate amount, in order to obtain
,
and to renormalize the covariance matrix of the grid
corrections accordingly.
The statistical uncertainties affecting the
are
of a little less than 0.001 mag in all bands. This
uncertainty level is comparable to the photon noise affecting the
bright star instrumental magnitudes. The statistical uncertainties on
the
maps
are of about
0.002 mag in all MegaCam bands. At the chosen grid reference
color, they are slightly correlated with the
maps
with a correlation coefficient of -0.25. We have checked that,
in all bands, the statistical uncertainty introduced by the grid
corrections on the magnitudes transformed to the reference location is
never larger than 0.002 mag for stars of colors
gM-
rM<
1.0, and of about 0.003 for stars of
.
The fact that the imager passbands depend on the focal plane position has important consequences on the calibration scheme. In particular, a significant part (up to 1-2%) of the uniformity corrections depend on the color of each object. We will detail how we account for the grid corrections in Sect. 6.6.
6.5 Comparison with Elixir findings
The Elixir analysis of the grid data did not find significant color
terms and solved for the
without
terms
and did not solve for star magnitudes. The results are hence
significantly different: the
maps
re-analyzed by the SNLS collaboration span a range
larger by about 0.04 mag than the ones found by Elixir, as
shown in Fig. 10.
We found that the residual non-uniformity pattern observed on the
Elixir processed images is not constant and varies from one grid
observation set to
another. The discovery of these non-uniformities triggered the
reanalysis of the grid dataset described above.
Up to the T0006 CFHTLS release (spring 2009), data were processed using the standard Elixir recipe. The uniformity corrections presented in the previous section will be integrated in 2009 after further interactions with the Elixir team and the CFHTLS users community. This is planned for the final release of the CFHTLS data T0007 (spring 2010).
![]() |
Figure 10: Residual non-uniformities measured on a set of grid exposures taken during semester 2004B, and processed with Elixir, using the photometric correction maps in use for releases T0004. |
| Open with DEXTER | |
6.6 Applying the grid corrections to the data
Because the grid corrections are color dependent, it is impossible to obtain uniform instrumental magnitudes for all objects. In practice, we have chosen to apply the| (3) |
It would have been possible to apply them directly at the pixel level. We have chosen to deal directly with the fluxes mainly for practical reasons, as it did not imply a full reprocessing of the SNLS data.
The hat magnitudes of stars of colors equal to the grid
reference colors are uniform across the focal plane. The hat magnitudes
of all other objects vary according to the relations:
| (4) |
It should be pointed out once again that the definition of the hat magnitudes depend on the conventional grid reference colors,
The instrumental magnitudes entering the calibration pipeline
were measured on the survey images processed with the official Elixir
pipeline, which included a correction for the non-uniformities of the
imager. This correction was applied at the pixel level (see above).
Hence, what we measured were actually ``Elixir hat-magnitudes'':
| (5) |
As a consequence, the Elixir grid corrections had to be removed and the new

There are basically two ways to handle the residual color corrections. We can elect a specific focal plane position (e.g.
The average
maps may be obtained from the CDS. The
will
be made available along with the next Elixir data release. Indeed,
some further work with the Elixir team is needed, in order to decide
the optimal grid reference colors for each component of the CFHT Legacy
Survey and validate the new reduction procedure with a larger user
base.
7 MegaCam passbands
7.1 Transmission of the filters in the telescope beam
MegaCam filters are interference filters and exhibit a transmission depending on the crossing angle, as expected for this type of filters. We describe in this paragraph how we synthesized the transmission of the filters in the telescope beam from laboratory measurements of the filter transmissions.
We have at our disposal two kinds of laboratory measurements: a set of transmission curves measured at about a dozen of positions on the filter, all on the sides of the filters because the equipment has a limited mechanical clearance. Some of the positions were measured at 0, 2, 4 and 6 degrees from normal incidence (Benedict, private communication). The other set of measurements was provided by the filters manufacturer: it consists in a transmission curve at normal incidence at 10 positions along a radius for each filter. From the first set of measurements, we can check that the circular symmetry is an excellent approximation. We can also model the angular dependence. Assuming the circular symmetry, interpolating the other set of measurements provides us with transmission curves at normal incidence anywhere on the filters. Since filters are located at about 10 cm from the focal plane, we identify in what follows a position on the focal plane with a position on the filter.
The angular dependence of interference filters transmission
can be approximated by:
![\begin{eqnarray*}T \left( \lambda,\theta \right) = T \left(\lambda \left[ 1-\frac{\sin^2 \theta}{n^2} \right ]^{-1/2}, \;\theta=0 \right)
\end{eqnarray*}](/articles/aa/full_html/2009/41/aa12446-09/img113.png)
where n is the refracting index of the filter, and
7.2 Effective passbands
The effective passbands combine many contributions, among which
(1) the CCD quantum efficiencies (2) the filter
transmissions (3) the transmission of the various lenses and
windows in the optical path (4) the mirror reflectivity
(5) the average atmospheric transmission at Mauna Kea as
recently determined by the Nearby Supernova Factory (SNF) (Buton & SNfactory 2009)
and (6) the transmission spectrum of the telluric features
including the strong
,
and
absorption features in the red and near infrared (Hinkle
et al. 2003).
The effective passbands, along with their ingredients are listed in Appendix B. The full electronic version of these tables can be retrieved from the CDS.
7.3 Comparison of the observed and synthetic color terms
![]() |
Figure 11:
Difference between the iM
instrumental magnitude of stars located on the edge of the focal
plane (ccd # 9, 17, 18 and 26) as a
function of their (rM-iM) color
at the reference location. The large dots are the profile of the star
measurements, corrected for the
|
| Open with DEXTER | |
Figure 11 compares the iM-band instrumental magnitudes of stars observed at the edge of the focal plane and at the reference location as a function of the star (rM- iM) colors. As can be seen, there is a good agreement between the synthetic magnitudes computed using the effective passband models presented in this section and the grid measurements. Note also that the effect of the filter non-uniformities is small, and well described by a linear color term. Figure 12 compares the color terms across the focal plane measured with the grid data with synthetic evaluations from the Pickles (1998) stellar library. Except for the filter itself, we used average transmissions, and in particular the average quantum efficiency curve for the CCDs.
Similar results are obtained using the Stritzinger et al. (2005) stellar library, except for the rM band, where the agreement becomes worse than shown here. We suspect that stellar SEDs are poorly indexed by rM-iM, and do not regard this mild disagreement (at the level of 0.01) as very serious. The fair agreement in the other bands, together with its stability with a change of stellar library is indeed a good indication of the quality of the grid solution. Taken at face value, the differences between the two sets of curves cause shifts of the zero points below the millimagnitude level for all bands (and is hence negligible) except for rM band where it would reach 2 mmag. We decided to ignore this potential contribution to the error budget because the synthetic rM color terms are very sensitive to the assumed stellar population, making the result questionable.
8 Landolt stars
8.1 The Landolt photometric system
The photometric catalog published by Landolt
(1992b) is the most widely used standard star network. It
contains
Johnson-Kron-Cousins
magnitudes of 526 stars centered on the celestial equator in
the 11.5 < V
< 16.0 mag range. The repeatability is of
about 1% in all bands resulting in magnitude uncertainties of
0.003 mag. The uniformity of the catalog is believed to be
excellent, of about 1%. This standard star network was used to
calibrate the broadband observations of the nearby SNe Ia used
to supplement the SNLS dataset. The systematic differences
between photometric systems are not well controlled and can amount
to
.
In order to avoid this additional source of error in the cosmological
analyzes, we rely on the Landolt
(1992b) standard star network to calibrate the
SNLS survey.
![]() |
Figure 12: Comparison of the color terms measured on the grid data, with synthetic ones as a function of the distance to field center. The measurement points are averages at the quoted radius, with their error bars displaying the rms over the circle. The synthetic ones are computed by integrating the Pickles (1998) stellar library in the synthetic transmissions. The synthetic color terms depend only mildly on the color range and stellar types, except for the rM band, where the disagreement worsens with the Stritzinger et al. (2005) library. |
| Open with DEXTER | |
The genealogy of the Landolt
magnitudes can be traced back to the pioneering work of
Johnson
(1955); Johnson
& Morgan (1951); Johnson (1963); Johnson
& Harris (1954); Johnson & Morgan (1953).
Landolt (1973) transferred
the Johnson (1963)
photometric system to a set of 642 bright (
6.0 < V
< 12.5) equatorial stars, selected for their stability. This
program was conducted at Kitt Peak National Observatory (KPNO), using
the 16- and 36-inches telescopes, and a refrigerated
1P21 photomultiplier similar to that used by Johnson and
collaborators. R- and I-band
magnitudes were added about ten years
later. The catalog published in (Landolt
1983) gives
magnitudes
of 223 7.0
< V < 12.5 stars. This work
was based on observations made on the Cerro Tololo Inter-American
Observatory
(CTIO) 0.4- and 0.9-m telescopes, using a different type of
photomultiplier (RCA 31034) and slightly different filters.
The
magnitudes
were tied to the Landolt (1973)
system, the RI band
observations were tied to the system defined by Cousins
(1978). Finally, Landolt
(1992b) published
magnitudes of
526 fainter (
11.5<V<16.0)
equatorial stars, tied to
the 1983 catalog. This catalog was built from observations
taken with the CTIO 0.9-m and 1.5-m telescopes, RCA 31034A and
Hamamatsu R943-02 photomultipliers and the same
filters used to
develop the 1983 catalog. Additional papers containing
photometry of particularly well-studied
stars, mainly spectrophotometric standards were also published (Landolt 1992a;
Landolt
& Uomoto 2007). In particular, Landolt & Uomoto (2007)
contains Landolt magnitudes of 31 stars, among which
spectrophotometric standards used to calibrate the Hubble Space
Telescope. Most Landolt (1992b)
standards are red objects with an average B-V color
of 0.81
.
The Landolt stars observed by MegaCam are mainly located in the
Selected Area (SA) fields, which contain very few blue stars. The
average B-V color of
the Landolt stars observed with MegaCam is 0.77
.
As a consequence there are very few observed stars in the
color range 0 < B-V
< 0.25.
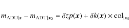
Contrary to statements found in the literature, the Landolt system is not defined in terms of any particular magnitude of Vega, nor is the Johnson system. The absolute ``gray'' zero-point of the Johnson system is linked to the former ``International Photovisual System'' via 9 stars in the so-called ``North Polar Sequence'', reobserved by Johnson & Morgan (1951). The color zero-points were set from 6 A0V stars of which Vega is one, by the condition that the average B-V and U-B color index of these stars is exactly zero (Johnson & Morgan 1953). Vega and the North Polar Sequence objects were too bright for Landolt to observe, even on small telescopes. As noted above, the Landolt R and I magnitudes are tied to the system defined by Cousins (1976). The zero-points of this latter system are also defined so that the colors of a ``typical'' A0V star are all zero. However, no mention of Vega appears in Cousins (1976). Hence, there are large uncertainties on the magnitudes of Vega in the Landolt system.
It must also be noted that the Landolt system is not a natural system. The reduction procedure used to derive the calibrated magnitudes from the raw observations is described in great detail in Landolt (2007) and can be summarized as follows. First, airmass corrections are applied to the data in order to obtain magnitudes above the atmosphere. Second order (i.e. color dependent) corrections are applied to the B-V, U-B, V-R, R-I, V-I color indexes, while only a first order correction was applied to the V band magnitudes. Then, zero-points as well as (unpublished) linear color corrections are determined, for each night using standard stars. This procedure is not discussed in the Landolt (1992b,1973,1983) papers. The zero-points and color corrections are parametrized as:

where the (X=0) quantities are the instrumental magnitudes and colors extrapolated to an airmass of zero. The color correction parameters vary from night to night, and can be large. For example, while building the Landolt & Uomoto (2007) catalog, typical values of +0.026, +1.036, +0.913, +1.033 and +1.093 and +1.069 were derived for the f, b, d, q, s and u parameters respectively (Landolt, private communication). Finally, at the end of the reduction procedure, smaller color corrections are applied to the calibrated magnitudes, in order to account for the changes of instrumentation throughout each program. These corrections are discussed in the Landolt papers. They are non-linear and parametrized using (non-continuous) piecewise-linear functions. They are generally about a factor two smaller than the unpublished color corrections discussed above.
An obvious difficulty when trying to calibrate MegaCam against
the Landolt system, is that the
and gM,
rM, iM,
zM passbands
are extremely different, leading to large and
non-linear color transformations between both systems. Furthermore,
these color transformation are extremely difficult to model, especially
for blue stars (
0 < B-V
< 0.4) given the scarcity of the Landolt stars in this region.
Note also that the reddest Landolt band, I-band, is significantly bluer than the MegaCam zM-band. Hence, calibrating the latter band requires extrapolating the Landolt calibration to redder wavelengths.
In Astier et al.
(2006), we attempted to model these color transformations,
using synthetic photometry and the library of spectra published by Pickles (1998). The color
transformations were interpolated from the synthetic MegaCam-Landolt
color-color
diagrams. The synthetic magnitudes of each spectrum were computed using
(1) models of the Landolt and MegaCam passbands and
(2) the measurement of the Vega spectral energy distribution
published by Bohlin &
Gilliland (2004b). The MegaCam filter model was not as
sophisticated as the one presented in Sect. 7 and
in Appendix B.
It was an average of the Sagem/REOSC measurements. Hence it was
significantly bluer than the filters at the center of the focal plane.
To approximate the Landolt passbands, we used the
determinations published in Bessell
(1990), each one being shifted in wavelength by a
quantity
that had to be determined.
These shifts were estimated by comparing the
synthetic and observed Landolt magnitudes of the Baldwin Stone Southern
Hemisphere spectrophotometric standard, observed by Landolt (1992a);
Hamuy
et al. (1992,1994). We found at that time that
the B, V, R
and I Bessell filters had to be blueshifted
by 41, 27, 21 and 25 Å respectively, in order to
match the Landolt effective filters. The Landolt-to-MegaCam synthetic
color transformations computed using these blueshifted filters
reproduced the measurements well.
Redoing this study using the new determination of the MegaCam filters, and alternate libraries of spectrophotometric standards with known Landolt magnitudes, (Stritzinger et al. 2005; Bohlin 2007, aka CALSPEC) we were not able to reproduce the blueshifts listed above. Both libraries gave compatible results, namely small redshifts of less than 10 Å for the B, V and R-bands, and a blueshift of about -40 Å for the I-band. The reasons for the discrepancy between the results relying on the Hamuy data, on one hand, and the Stritzinger or CALSPEC data on the other hand are not yet well understood. It may point to a wavelength, or flux calibration problem affecting the Hamuy et al. (1992,1994) spectra. By an unhappy coincidence, the (probably) incorrect Bessell filter blueshifts derived in Astier et al. (2006) allowed us nevertheless to obtain the correct synthetic color transformations, because the MegaCam filter models we used at that time were also slightly bluer than our current model at the center of the focal plane, where most Landolt stars are observed (see Fig. 13).
Because of the large differences between the Landolt and MegaCam filters, the modeling of the large Landolt-to-MegaCam color relations turned out to be delicate. In addition to the broken linear relations used in this paper (see below), we also considered a more physical model based on SED libraries and manipulating filter passbands. To decide between the two approaches, we did a series of blind tests on fake standard star observations based on physical models and including realistic noise. We found that the broken linear method used here was considerably more robust to uncertainties in the stellar library, although at the cost of not providing as direct a physical interpretation to our measurements.
![]() |
Figure 13: Average number of Landolt star observations per CCD, in the iM-band. CCD number 0 is top left, while CCD number 35 bottom right. Two to three stars per night and per band are observed on the central CCDs. On the other hand, often less than 0.5 (and even less than 0.1 for CCDs 27 to 35) star are observed on the CCDs located on the side of the focal plane. Hence, each CCD cannot be calibrated independently, and we have to rely on the uniformity maps to propagate the calibration to the entire focal plane. |
| Open with DEXTER | |
Further attempts to refine the analysis presented in Astier et al. (2006) using synthetic photometry proved unsuccessful. Eventually, we came to the following conclusions. First, it is illusory to seek a description of the Landolt system as a natural system of some ``effective'' hypothetical instrument. Using shifted Bessell filters to describe the Landolt passbands is not accurate given how the shape of these filters differ from the shape of the filters used by Landolt. For example, using a refined modeling of the Landolt instrument, we obtained an estimate of the B-V magnitude of Vega which differed by 0.02 mag from the estimate obtained with shifted Bessell filters.
Second, the concept of Landolt-to-MegaCam color transformation
is not well-defined. These transformations depend on the mean
properties (metallicity and
)
of the stellar population observed by Landolt. In particular, since
there are less than a dozen of Landolt stars observed in the
0 < B-V <
0.25 region - where most A0V stars lie,
including Vega - there are large systematic uncertainties
affecting these transformations in this region.
Finally, it is possible to reduce significantly the impact of the systematics affecting the Landolt-to-MegaCam color transformations by choosing a fundamental standard whose colors are close to the mean color of the Landolt stars. It is then enough to model roughly the color transformations using piecewise-linear functions, as described in the next section. The choice of an optimal primary standard is discussed in Sect. 10.
8.2 Calibration model
Landolt fields are observed almost each potentially photometric night. The flux of the Landolt stars is measured using the aperture photometry algorithm described in Sect. 4. On average, between 2 and 3 stars are observed each night, in each band, on each central CCD (Fig. 13). On the other hand, less than 0.5 Landolt star per night are observed on the CCDs which are on the sides of the focal plane. The Landolt star observations allow us to determine the zero-points of each night, in each band, along with additional (nuisance) parameters, such as the coefficients describing the Landolt to MegaCam transformations and the mean airmass coefficients.
Due to the significant differences between the Landolt
Johnson-Kron-Cousins-
and MegaCam gM,
rM, iM,
zM filter-sets,
the Landolt-to-MegaCam color transformations were found
to be large and even non-linear. We model them using piecewise-linear
functions of the form:

where
Since the MegaCam passbands are not uniform, there are, in
practice as many photometric systems as there are locations on the
focal plane. The density of Landolt stars in the calibration fields
does not allow us to calibrate independently each location, and we must
rely on the grid maps to propagate the calibration to the whole focal
plane. To establish the calibration equations, let's first
assume that the Landolt stars are all observed at the reference
location,
.
The relations between the MegaCam instrumental ``hat magnitudes''
(corrected for ``gray'' non-uniformities) as defined in Sect. 6
and the magnitudes reported by Landolt (
)
can be parametrized as:

X is the airmass of the observation,
The airmass range of the calibration data taken each night is extremely variable and does not allow one to fit an airmass coefficient per night and per band. For this reason, we have chosen to fit one global airmass coefficient per band. This has no consequence on the tertiary magnitudes which are built by averaging the data coming from many different epochs.
Quite often, second order terms of the form k'
(X-1)
enter the airmass
parametrization and are neglected here. This will be
discussed in more detail in Sect. 12.
We have estimated the magnitude of these contributions using the
passband models discussed in Sect. 7 and
synthetic photometry and found them to be extremely small
(<0.001 mag).
In reality, the Landolt stars are not observed at the focal
plane reference location, but at many random locations. We therefore
rely on the grid transformations determined in Sect. 6
in order to relate the instrumental magnitudes of the Landolt stars at
any position with the same magnitudes at the reference position. The
calibration equations
actually implemented in the zero-point fit are therefore a little more
complex:

These equations imply that the MegaCam colors of the Landolt stars, measured at the reference location:
![]() |
Figure 14: Upper panels: color-color plots considered in the gM, rM, iM and zM zero-point fits. The black points correspond to individual Landolt star measurements. The red points are the average of the calibrated measurements of a same star. The color-color transformations are modeled as piecewise-linear functions, with breaks at B-V = +0.45, V-R=+0.65, R-I=+0.40 and R-I=+0.35 in the gM, rM, iM and zM bands respectively. Lower panels: color-color plots residuals (average of each Landolt star's calibrated measurements only). |
| Open with DEXTER | |
The fact that the grid reference colors appear explicitly in the
calibration equations may seem a little odd. As mentioned above, these
colors are internal quantities, and should not impact the calibration.
Indeed, it can be verified that changing the grid reference colors and
changing the
maps
entering in the definition of the hat magnitudes accordingly has no
impact on the value of the zero points.
Finally, a few words must be said about the uncertainty model.
One must recall that the Landolt stars do not form an exact
one-parameter sequence, and cannot be perfectly indexed by one color
only. In practice, the Landolt-MegaCam color-color diagrams are
affected by an intrinsic star-to-star dispersion partly of
astrophysical origin, of about 1% in the gMrMiM-bands
and 2% in the zM-band.
The dispersion of the fit residuals is dominated by this star-to-star
dispersion and not by the star measurement uncertainties (closer
to 0.1%). Since each star is measured several times, this
means that the error model has a very specific structure which must be
modeled. The star-to-star dispersion, in each band, is estimated from
the fit residuals. The correlations between the same band contributions
of each star are accounted for by fitting one additional parameter per
star and per band,
,
this parameter being constrained by adding terms in the
of the form
.
8.3 Results
Table 6: Landolt to MegaCam color transformation slopes and airmass correction terms.
Figure 14 presents the color-color diagrams considered in the zero-point fit described above. The parameters of the Landolt-to-MegaCam color transformations are summarized in Table 6. These slopes are measured with precisions of about 1% on average, this error budget being dominated by the star-to-star dispersion.
![]() |
Figure 15: gM, rM, iM and zM zero-point as a function of time. The zero-point evolution is classically due to dust accumulating in the optical path and the natural degradation of the mirror coating over time. We also indicate the main events (recoating, labeled ``[R]'', and washings ``[W]'') which affected the primary mirror during the three first years of the survey. The significant improvement observed around +200 days is due a mirror recoating (August 15th, 2003). The effect of two additional mirror cleanings, which took place on April 14th, 2004 and January 26th, 2005 are also clearly visible. The full MegaCam/MegaPrime history log is available at http://www.cfht.hawaii.edu/Instruments/Imaging/MegaPrime/megaprimehistory.html. |
| Open with DEXTER | |
The airmass coefficients are summarized in Table 6. As can be seen, they do differ from the mean coefficients reported by Elixir, and these differences induce sizeable differences on the calibrated magnitudes.
Figure 15
presents the variation of the gM,
rM, iM
and zM zero-points
as a function of time. The effect of dust accumulating on the optical
path is clearly visible. The recoveries observed at various points of
the survey can be explained with the full MegaCam / MegaPrime history
log
. The spectacular
improvement observed at the beginning of the survey is due to the
recoating of the mirror (August 15th, 2003). Two additional
significant improvements were due to mirror cleanings
(April 14th, 2004 and January 26th, 2005). Note that
an additional mirror recoating took place on August, 2007, during the
fourth year of the survey. It allowed one to recover the efficiency
levels observed at the beginning of the survey.
The zero-point uncertainties determined at this stage are of
about 0.007, 0.003, 0.004 and 0.011 mag in the gM,
rM, iM-
and zM-bands
respectively. These uncertainties, are dominated by the uncertainties
on the color transformation parameters discussed above. Indeed the
average Landolt star colors are very far from zero:
,
and
.
Since the color transformations are global, this also means that the
zero-points in a given band are correlated. If we remove the color
transformation contributions, the intrinsic zero-point uncertainties
are of about 0.003 mag in the gM,
rM, iM-bands
and 0.005 mag in zM.
We will see in the next sections that the impact of the zero-point uncertainties on the flux interpretation of the tertiary standard actually depends on the colors of the fundamental standard used to interpret the fluxes. If we choose a standard such as Vega, the color transformation uncertainties will dominate. If we choose a star whose colors are closer to the average Landolt star colors, the zero-point contributions to the calibrated flux error budget will be close to the intrinsic uncertainties.
9 MegaCam magnitudes
We are now ready to define the MegaCam magnitude system. As discussed in the introduction of this paper, a requirement of the SNLS calibration is that the MegaCam magnitudes must be easily interpreted as physical fluxes. This requires that the MegaCam magnitudes be defined as natural magnitudes, i.e. their definition should not integrate any term depending on each star's color.
9.1 Uniform magnitudes
First, let's assume that the MegaCam passbands are spatially uniform.
Or equivalently, that all our tertiary standards are observed at the
focal plane reference location. In this case, the definition of the
MegaCam magnitudes is:

In reality, the tertiary standards are observed at various reference locations. But since we know how the hat magnitudes transform all over the focal plane, we can define the MegaCam magnitudes as:
|
|
|||
| (6) |
With this definition, the calibrated magnitudes do not depend on the focal plane position where the stars have been observed. We call them Uniform Magnitudes. These are typically the kind of magnitudes we would like to report to the end users, since they hide the complexity of the MegaCam imager to the external user. However, the Uniform Magnitudes are not natural magnitudes: indeed, they include a color term in their definition.
9.2 Local natural magnitudes
The definition above tells us how to define the MegaCam natural
magnitudes. They must incorporate the grid color corrections. We define
these magnitudes as:
|
|
|||
| (7) |
where
|
|
= | ||
| = | (8) |
As we can see, the
Once again, it is easy to verify that the calibrated
magnitudes do not depend on the choice of the grid reference colors,
since the quantities
are
themselves independent of those reference colors. We also have
introduced another set of reference colors:
.
These colors have the same status as the grid reference colors: they
have been introduced to make explicit that
there is some degree of arbitrariness in the Local Magnitude
definition. In practice, it is useful to take these colors equal the
colors of the fundamental standard at the center of the focal plane:

10 Flux interpretation of the MegaCam magnitudes
Now that we have defined a system of natural magnitudes, we still have
to explicit the magnitude to flux conversion. To do this, we
rely on a ``fundamental spectrophotometric standard'', i.e. a
star of known SED,
and known MegaCam magnitudes in the system defined
above. The calibrated broadband flux,
of
an object of magnitude
is then:
where
Systematic uncertainties affect this mapping function. First, the MegaCam passbands are not known perfectly. Furthermore, the SED of the fundamental standard is not perfectly measured. Finally, the MegaCam magnitudes of the fundamental standard, in the system defined in the previous section are not known perfectly. At best, the fundamental standard is directly observed with the survey telescope, and the measurement uncertainties must be taken into account. Most often, the fundamental standard is too bright to be directly observed, and its magnitudes must be inferred in some way, introducing additional uncertainties.
It must also be noted that the quantities relevant for the
cosmology studies are not exactly physical fluxes, but rather the ratio
of physical fluxes, measured in different passbands. In other words,
the cosmological measurements are completely insensitive to any change
of the absolute flux scale. For this reason, we report the
uncertainties of the fluxes and magnitudes relative to a reference
band, namely the Landolt V-band. In particular, the
relevant uncertainties are those affecting (1) the ratios
and
(2) the colors
,
,
and
.
10.1 Selecting a fundamental standard
No spectrophotometric standard usable as a fundamental standard has
reliable magnitudes established from MegaCam observations. Such a
program is underway, but has not been completed yet. The MegaCam
magnitudes of the fundamental standard must therefore be infered from
its Landolt magnitudes, using the Landolt to MegaCam color
transformations. For example, if the Landolt colors of the star are
bluer than the color break:
where the quantities
A standard choice is the star
-Lyræ, also called Vega. Vega
is one of the six A0V stars that define the zero-points of the
historical Johnson
& Morgan (1951,1953) UBV system. The
Landolt
magnitudes of this star being all close to zero (although not exactly
zero), the Landolt system is often (improperly) referred to as a ``Vega
based system'' and the SED of Vega is generally used to convert the
Landolt magnitudes into fluxes. This was the approach used in Astier et al. (2006).
The ``canonical'' magnitudes of Vega reported, for example in Fukugita et al. (1996)
were used to twist the SED of Vega measured by Bohlin
& Gilliland (2004b) and to get an approximation of
the SED of the hypothetical fundamental standard of the Landolt system.
However, a close study of the systematic error budget shows that Vega is not a wise choice if we seek a 1% precision or better on the calibrated fluxes. First, Landolt did not actually observe Vega directly while building his catalogs due to its brightness. An estimate of the Landolt Vega U-B and B-V colors can be obtained by propagating the initial measurements of Johnson & Morgan (1951) through the color transformations cited by Landolt (1992b,1973,1983). The R-I color index can traced back from the original Cousins (1978) papers. However, values of R-I that differ by about 0.05 mag are cited in Fukugita et al. (1996); Taylor (1986). Furthermore, no measurement of the V-R color index could be found in the literature. In any case, it is not possible to guarantee a precision of 0.01 mag on the Vega magnitudes reconstructed in such a way.
Table 7: Landolt and MegaCam Magnitudes and colors of BD +17 4708 with their uncertainties.
Another problem with Vega, is that it is significantly bluer
than the average Landolt star (
)
and the average tertiary standards. As discussed in Sect. 8, there
are large uncertainties associated with the modeling of the
Landolt-to-MegaCam color transformations. In particular, given the low
number of blue Landolt stars, it is nearly impossible to tell anything
about the linearity of the color transformations in the bluer parts of
the color-color diagrams. Furthermore, as noted in Sect. 8, the
blue side of the Landolt-to-MegaCam transformations (the
parameters)
are determined with a precision not better than 1.5%
in g and
in z. This induces an additional
uncertainty of about 1% on the MegaCam colors of Vega infered
with Eq. (10).
This problem disappears if we use, as a fundamental standard, a star of
colors close to the average color of the Landolt stars, and if
possible, a star directly observed by Landolt.
Few Landolt stars have measured spectral energy distributions,
covering the wavelength-range
covered
by MegaCam. The HST community has put considerable effort into
building a database of high-quality spectrophotometric
standards - the so-called CALSPEC database (Bohlin 2000a). An absolute flux
scale was defined, based on NLTE models of three pure hydrogen
white-dwarfs: G191-B2B, GD 153 and GD 71. The SEDs of
several key standards such as Vega and BD +17 4708
have been re-observed and re-calibrated with the Space
Telescope Imaging Spectrograph (STIS) and the Near
Infrared Camera and Multi-Object Spectrometer (NICMOS)
instruments
(Bohlin 2000b,2007; Bohlin &
Gilliland 2004b). More recently, Landolt
& Uomoto (2007, hereafter LU07) published magnitudes
of some of the CALSPEC HST spectrophotometric standards.
Combining these two sources, we found that six stars have
simultaneously known Landolt magnitudes and known SEDs, published by
the CALSPEC project and measured exclusively with the HST STIS and
NICMOS instruments: AGK +81 266,
BD +17 4708, G 191-B2B, GD 71,
GRW 705824 and LDS 749B. Most of these objects are
very blue stars, except BD +17 4708, whose colors are
close to the average Landolt colors.
We have therefore selected BD +17 4708 as a
fundamental standard. This F8-type star has been chosen as a
fundamental standard for many photometric systems, notably that of the
Sloan Digital Sky Survey (SDSS) (Smith et al. 2002; Gunn
et al. 2006; Ivezic et al. 2007; Gunn
et al. 1998; Fukugita et al. 1996)
and consequently has been studied by many groups, which have derived
estimates of its extinction, effective temperature, metallicity and
surface gravity (see Ramírez
et al. 2006, and references therein). Bohlin & Gilliland (2004a)
have measured the absolute spectral energy distribution of
BD +17 4708 in the wavelength range
,
with an accuracy of less than 0.5% in the transfer of the flux
calibration of the three white dwarfs primary standards, and an
accuracy of the relative flux distribution of about 2%
.
On the other hand, it has been pointed out that
BD +17 4708 may be a binary system, with a faint
late-M companion of mass
revolving
around the main star in about 220 days (Latham
et al. 1988; Ramírez et al. 2006).
Furthermore, with a V-band magnitude
of 9.464, BD +17 4708 is a little bright to
be observed directly with MegaCam with a good accuracy. The indirect
determination
of its MegaCam magnitudes is presented in the next section.
In addition to BD +17 4708, LU07 present magnitudes for the fundamental CALSPEC white dwarf calibrators. We also considered using these stars, but the fact that they are even bluer than Vega exacerbates the extrapolation problem when calculating their MegaCam magnitudes. Furthermore, there is some evidence that a similar problem affects the Landolt magnitudes themselves. As noted earlier, the original Landolt telescope/detector system no longer exists, so the magnitudes tabulated in LU07 have been transformed from some natural system to the Landolt (1992b) system using a similar method as that described in 9.1. These transformations were calculated using ``typical'' Landolt stars, which are much redder than the white dwarfs. Therefore, these transformations may not be accurate for the very blue white dwarfs, especially in B and U where the absence of a Balmer break makes the SEDs very different.
Without knowing the exact Landolt catalog system passbands we have no way of precisely calculating the amount of bias present or correcting for it, but we can check for the plausibility of this issue by simulating a similar set of observations and reduction procedures as actually used by LU07. We start with an assumed model for the Landolt catalog passbands Bessell (1990) and use the natural system passbands given in LU07, folding in mirror reflectivity and photomultiplier response, then carry out synthetic photometry using a library of SEDs Pickles (1998) in both systems. We then calculate multi-step linear transformations following the prescription of Landolt (1992b) using the redder stars and compare the transformed magnitudes of the CALSPEC WDs to the actual synthetic magnitudes in the natural system. We find that the transformations are biased at the 1-2% level, particularly in B where the LU07 B filter has a ``notch'' near the peak transmission. The exact amount of bias is sensitive to the assumed Landolt catalog filters, but its existence is not. We conclude that there is reason to be cautious when using the WDs for photometric calibration. Note that these concerns have no effect on the CALSPEC spectroscopic calibration.
10.2 The MegaCam magnitudes of BD +17 4708
At first order, the MegaCam magnitudes of BD +17 4708 can be derived from the magnitudes and colors reported by Landolt, and the Landolt-to-MegaCam color transformations determined in Sect. 8 (see Eq. (10)). In Table 7, we report the gM-V, rM-V, iM-V and zM-V colors of BD +17 4708. The uncertainties quoted by Landolt are propagated, assuming that the magnitudes and colors V, B-V, V-R and R-I reported by Landolt are essentially independent. Note that the iM-V and zM-V are strongly correlated, with a correlation coefficient of 0.96. The statistical uncertainties affecting the Landolt-to-MegaCam color transformations do also affect the MegaCam colors reported in Table 7. However, we will see in Sect. 11 that the impact of the color transformations on the calibrated tertiary fluxes is actually much smaller. As a consequence, we do not include them in the final uncertainty budget listed in Table 7.
The determination of the offsets
...
defined in Eq. (10)
is a little more complex. These quantities account for how the
BD +17 4708 magnitudes differ, on average, from those
of the Landolt stars whose colors are close to
BD +17 4708. To estimate them, we will rely
on (1) estimates of the extinction, temperature, metallicity
and surface gravity of BD +17 4708;
(2) rough estimates of the
same quantities for Landolt stars of colors similar to those of
BD +17 4708 and (3) the Phoenix library of
synthetic star SED models (Hauschildt & Baron 1999;
Baron
& Hauschildt 1998; Hauschildt et al. 1997,
and references therein)
.
The extinction, temperature, surface gravity and metallicity
of BD +17 4708 are estimated in Ramírez et al. (2006): E(B-V)
0.010
0.003,
,
0.08 and
0.09. (Ramírez et al. 2006)
also gives rough estimates of the type (late-M), mass (
)
and effective temperature (
)
of its faint companion.
On the other hand, not much is known about the Landolt stars.
We assume them to be nearby disk stars. Their mean metallicity may be
derived from Ramírez et al.
(2007):
,
substantially higher than the metallicity of
BD +17 4708. Landolt stars of colors similar to those
of BD +17 4708 have an effective temperature
and
a surface gravity
(Allen 1976). In what
follows, we estimate the magnitude offsets induced by (1) the
fact that BD +17 4708 is a likely binary system
(2) the metallicity differences between
BD +17 4708 and the mean Landolt star
(3) the surface gravity differences and (4) the
extinction differences.
Binarity.
We can estimate the impact of the likely faint companion with synthetic photometry. We select the Phoenix stellar models whose parameters are as close as possible to those of BD +17 4708 and its companion, respectively| (11) |
There is a large uncertainty, of about 50% on those numbers. We account for them as additional systematic uncertainties, as we do not known the fraction of Landolt stars that are also in binary systems.
Metallicity.
As noted above the metallicity of BD +17 4708 is significantly lower than that of Landolt stars of similar colors. The impact of this difference was estimated by computing the offsets between the MegaCam synthetic magnitudes of GAIA/Phoenix stars of metallicities and colors close to that of BD +17 4708, and the synthetic magnitudes of Phoenix SEDs of similar colors but metallicity close to that of Landolt stars. We obtained the following offsets (in the sense BD +17 4708 mag minus Landolt mag):| (12) |
These offsets are applied to the first order estimates of the magnitudes of BD +17 4708.
Surface Gravity.
The impact of the surface gravity differences between the Landolt stars and BD +17 4708 can be evaluated in a similar fashion. We find that the corrections are smaller than 0.001 mag in all bands except in zM (in the sense BD +17 4708 mag minus Landolt mag):| (13) |
We apply this offset to the BD +17 4708 magnitude estimates, and retain a systematic uncertainty of 0.003 mag in the systematic error budget.
Extinction.
The mean reddening affecting the Landolt stars is poorly known. It can be constrained by the locus of the Landolt stars, in the V-R vs. R-I color-color diagram. Indeed, the V-R and R-I colors of the Landolt stars are very well correlated in the color region of BD +17 4708. More precisely, the quantity![\begin{eqnarray*}\Delta_{VRI}^{\rm BD~+17~4708} - \Delta_{VRI}^{\rm Landolt} & =...
...] + \frac{\partial \Delta_{VRI}}{\partial \log g}\ \delta\log g.
\end{eqnarray*}](/articles/aa/full_html/2009/41/aa12446-09/img253.png)
Using the Phoenix models, we find that the derivatives of

Again, using synthetic photometry and the Cardelli et al. (1989) law, this can be translated into calibration offsets:
| (14) |
The effect of the reddening differences between BD +17 4708 and the Landolt stars impacts essentially the zM-band magnitudes, because this band requires an extrapolation from I to zM. We will consider these offsets as additional systematic uncertainties.
To summarize: we have derived MegaCam Natural colors g-V,
r-V, i-V
and z-V for
BD +17 4708, relying on the Landolt-to-MegaCam color
transformations, and on synthetic photometry computed from the
Phoenix/GAIA spectral library. The results along with their
uncertainties are summarized in Table 7.
The Landolt magnitudes of BD +17 4708, as well as our
estimates of the BD +17 4708 MegaCam magnitudes are
all correlated. The full covariance matrix,
,
reported in Table D.1
(Appendix D)
is the sum of two 9
9 components:

To be complete, we should also add the contribution of the uncertainties that affect the Landolt-to-MegaCam transformation coefficients themselves. However, as will be discussed later, this contribution is itself strongly correlated with the zero-point uncertainties, hence with the tertiary star magnitudes. Since the uncertainties we are ultimately interested in are those which affect the differences between the tertiary star magnitudes and the corresponding magnitudes of BD +17 4708, we will discuss this term later in the analysis, once we have discussed the tertiary star uncertainty budget. Note however that this contribution depends on the difference between the BD +17 4708 colors and the average Landolt star colors. Since BD +17 4708 is much redder than Vega, this contribution is greatly reduced by using this star instead of Vega.
Finally, the MegaCam magnitudes of
BD +17 4708, along with their covariance matrix can
be computed from the quantities listed in Table 7.
We find gM
= 9.6906
0.0035, rM
= 9.2183
0.0050, iM
= 8.9142
0.0037 and zM
= 8.7736
0.0180. The full covariance matrix (without the color transformation
uncertainties) is reported in Appendix D
(Table D.1).
11 Tertiary catalogs
We now turn to the production of the tertiary standard catalogs. One such catalog is produced for each of the four SNLS fields, using science and calibration exposures taken under photometric conditions. Once established for each of the four SNLS fields, the tertiary standard catalogs allow any user to propagate the calibration to any SNLS exposure. In this section, we discuss the general procedure to derive tertiary standard catalogs from the science and calibration exposures.
11.1 Tertiary star selection
The tertiary standard catalogs should only contain well measured, isolated, non-variable stars. The star identification is carried out as follows. The objects are detected on deep stacks of the SNLS fields, using the SExtractor package (Bertin & Arnouts 1996). The second moments (mxx, myy, mxy) of the sources detected on each CCD are estimated from a 2D Gaussian fit. The star locus in the mxx versus myy diagram is then identified. A first list of tertiary standard candidates is established. It contains all the isolated objects belonging to the star locus and measured with a signal-to-noise ratio better than 10. By ``isolated'', we mean that the aperture flux pollution due to the closest neighbor must be less that 0.1% of the star flux.![]() |
Figure 16: Average number of measurements per tertiary standard (in percentage of the total number of good epochs) in the gM, rM, iM- and zM-bands, as a function of the tertiary standard magnitude. The efficiency drops we observe depend on the signal-to-noise cut applied during the object detection. These drops set the magnitude limits of the tertiary catalogs. The drop observed for small magnitude stars is mainly due to saturation. We keep all the bright stars, provided that they have more than 3 non-saturated measurements. |
| Open with DEXTER | |
The selection is then refined by examining the contents of each star aperture. If the aperture contains pixels flagged as bad in the dead pixel maps, identified cosmics or pixels whose value is below 10 sigma below the sky background, the star measurement is rejected. At the end of this selection process, we end up with approximately 100 to 200 tertiary standard candidates per CCD, depending on the field.
The master lists of tertiary star candidates are then matched with the detection catalogs produced for each individual frame. The completeness of these catalogs varies from one epoch to another, depending on the observing conditions. Figure 16 shows the number of measurements as a function of the star magnitude for the D1 field. We see that our catalogs are complete below mag 22, 21.5, 21, and 19 for bands gM, rM, iM and zM respectively. Above theses magnitudes, an increasing fraction of the detections does not pass the signal-to-noise cuts (>5) and the calibrated magnitudes we may compute from these measurements will be biased. We therefore choose not to report calibrated magnitudes fainter than the thresholds listed above.
The last cut applied to the tertiary star candidates is based
on their variability: at the end of the calibration process, we examine
the lightcurves of each candidate (actually, we compute the
partial
of each individual calibrated measurement around the average calibrated
magnitude) and reject all the objects which display a dispersion above
a given threshold.
11.2 Building the tertiary catalogs
The flux of the field stars are measured using the photometry
algorithms described in Sect. 4.
We use the exact same algorithms that were used to measured the
standard star fluxes. In practice, we use adaptive apertures
of 7.5 seeing (14 pixels on average). The measured
fluxes are divided by the exposure time reported in the image headers
with a precision of 3 ms, and then transposed to an airmass
of 1 using the extinction coefficients reported
in Table 6.
The effect of varying airmass on the
gM,
rM, iM
and zM effective
passbands is very small (below 5 Å in the
1.0-1.6 airmass range). Therefore, no second-order
airmass-color correction was applied. No evidence for such an
effect was found in the calibration residuals. Finally, we compute the
so-called ``hat instrumental magnitudes'' de-applying the Elixir
uniformity maps, and applying the
as
described in Sect. 6.
The science exposures are taken in sequences of 5 to 10 exposures, depending on the band. These measurements are merged in order to produce one single list of averaged magnitudes per night. The merging procedure selects one exposure of the sequence as a reference, and allows for one free photometric alignment factor for each exposure. This permits to account for the atmospheric extinction variations during the sequence, as well as additional effects, such as fluctuations of the image quality, inducing variations of the aperture corrections. We found that on most nights, the fluctuations from one exposure to another do not exceed 0.3%.
The Local Natural Magnitudes described in the previous section
are then computed using the night and band zero-points, the photometric
grid maps
,
the grid reference colors and the MegaCam colors of the fundamental
standard (namely BD +17 4708). At this
stage, we have a lightcurve for each selected tertiary star, with
observations taken at 20 epochs on average, spanning a time
range of 3 years. All the calibrated measurements of each
selected tertiary star, in each band are then averaged, in order to
produce the tertiary catalogs. This averaging process is iterative:
it comprises several outlier rejection steps, and attempts to
identify the non-photometric nights, as described below. In
the following of this section, we detail the most important points of
the procedure.
11.3 Photometric error model
The uncertainties estimated by the photometric algorithm, reflect only the Poissonian fluctuations of the background and star photon counts. They do not account for fluctuations of the seeing and atmospheric transmission from one exposure to another. As a consequence, the uncertainties affecting the bright stars are underestimated. Since we do perform an outlier rejection while averaging the night fluxes, it is essential to build a realistic error model.
The uncertainties
affecting each measurement
can be classically parametrized as:
![]() |
(15) |
where
11.4 Outlier rejection
The calibrated measurements being averaged are polluted by a small
fraction of outliers, usually due to CCD defects or cosmics. The
outlier rejection algorithm is based on the comparison of the
partial
of each individual measurement, object or night, compared to the
value
we could expect from a 5-
measurement, object or night. The expected 5-
cut is computed in a robust way, from the median value of the
individual measurements.
Additional procedures were implemented, in order to identify the ``non-photometric nights'', as well as the variable stars.
11.5 Photometric night selection
As noted in Sect. 3, the calibration exposures are often taken several hours before or after the science exposures. The atmospheric transparency may therefore vary significantly between both sets of exposures. However the SNLS dataset is exceptional in the sense that each field was observed on a very large number of epochs, with the calibration and science images taken in many different configurations (different times in the night, variable time intervals between the science and calibration exposures). This ensures that the atmospheric transparency variations affect similarly the calibration and science exposures. Therefore, these variations can be treated just like an additional source of noise - once we have identified the pathological nights, displaying variations of more than 10%, or suffering from a large amount of absorption.
The night selection was performed as follows: first, the nights which are obviously affected by a large absorption, i.e. whose fitted zero-points depart from the average zero-points measured on the neighboring nights by more than 0.1 mag are identified and removed. Then, the nights containing a science exposure sequence which is non photometric, i.e. presenting an exposure-to-exposure variation greater than 1% are also rejected.
After having applied those two cuts, we are left with two sets of nights. The first set contains the nights during which a large number of calibration exposures was taken, over a large time range (>3 h). The second set contains the nights with calibration exposures concentrated at a given time. The long term photometric stability of the first set of nights can be estimated directly by measuring the dispersion of the zero-points determined on each calibration exposure. The photometric stability of the second set cannot be estimated likewise; instead, since the dispersion of the calibrated magnitudes around their mean can be measured, we can identify and reject the non-stable nights from science data only.
Tertiary catalogs were built using (1) the first set of nights, rejecting those which display a zero-point stability worse than 1% and (2) the same nights plus the nights from the second set, the pathological nights being identified and removed, using the calibration residuals. Table 8 summarizes the number of nights flagged as photometric for both sets, and the measured dispersion of the calibration residuals. This dispersion of about 1% is mainly due to the atmospheric variations. As we can see, the dispersion is about the same in both sets of nights. With the larger set however, the statistical gain on the precision on the mean calibrated magnitudes is significant. Moreover, the mean differences between the magnitudes computed with each set of nights are compatible with the expected dispersion, which shows that no non-photometric night has been accidentally left in the larger set. As a consequence, the tertiary catalogs released with this paper are the ones built with the larger set. In all fields, the uncertainty due to the atmospheric absorption variations is of about 0.002 mag in gM, rM, iM and 0.003 mag in zM.
Table 8: Night-to-night dispersion, number of nights and resulting statistical uncertainty for night sets 1 and 2.
11.6 Results
The Local Natural Magnitudes of the tertiary standard are listed in
Appendix in Tables 19-22. We
also report the corresponding
grid
coefficients at the mean focal plane position where the star was
observed, so that the Uniform Magnitudes can be computed from the Local
Magnitudes.
![]() |
Figure 17: Left: rM- iM versus gM- rM color-color plot of the tertiary standards (Uniform Magnitudes). The agreement between all fields is good, and the contamination of non-stellar objects seems to be very low. Right: a zoom on the blue branch of the same color-color plot, after subtraction of the mean slope. We see that the colors of all four fields agree at the percent level. |
| Open with DEXTER | |
Figure 17
shows the
color-color plot for all four SNLS fields. Since we are
comparing objects over the whole focal plane, this figure was produced
using Uniform Magnitudes instead of Local Natural Magnitudes. As we can
see, the color distributions of the four SNLS fields are
compatible at the 1%-level. Note that larger field-to-field differences
in the stellar loci would not necessarily suggest a drift of the
calibration. Indeed, we have verified using the Phoenix/GAIA library
that larger effects, up to 4
to 6% may be observed due, for example, to systematic
differences in the star metallicities.
As can be seen in Fig. 17, the MegaCam magnitude system defined in this paper is close to a Vega-based system. Indeed, it is tied to Landolt through quasi-linear color relations. Note however that our magnitudes probably depart from true Vega magnitudes by a few percents, and the amplitude of this departure is not known with precision. Other surveys, such as the Sloan Digital Sky Survey (SDSS) use a different calibration path and report magnitudes in an almost AB-system. Hence, the MegaCam magnitudes differ from SDSS magnitudes by (1) a small color term due to small differences in the effective passbands and (2) a constant term, which accounts for the differences between a AB- and a Vega-like system (see Appendix G for more details).
11.7 Statistical uncertainties
![]() |
Figure 18: Average random uncertainties as a function of the magnitudes for the SNLS DEEP fields, in the gM, rM, iM and zM-bands. |
| Open with DEXTER | |
The statistical uncertainties affecting the tertiary standard calibrated fluxes comprise four independent components: (1) the tertiary standard flux measurement uncertainties - photon noise, flatfield noise and readout noise - (2) the atmospheric transparency variations between the science and calibration exposures (3) the intrinsic zero-points uncertainties and (4) the Landolt-to-MegaCam color transformation uncertainties. In this section, we shall discuss the impact of each contribution.
As discussed in the previous sections, we are interested in
the uncertainties affecting the tertiary standard relative fluxes.
Inspecting Eq. (9),
we see that they are essentially equal to the statistical uncertainties
on the differences between the tertiary standard
calibrated magnitudes and the MegaCam magnitudes of
BD +17 4708:
,
...
.
Table 8 summarizes the night-to-night dispersion affecting the calibrated tertiary fluxes. These dispersions are mainly attributed to the atmospheric transparency variations between the calibration and science exposures. We have looked for systematic variations of the atmospheric transparency as a function of the time of the night (Sect. 12) and concluded that we can safely assume these variations to be independent from night to night. Hence, we derive a statistical uncertainty by dividing the measured dispersion by the square root of the number of photometric nights. The resulting uncertainties are of about 0.002 mag in gM, rM, iM and 0.003 in zM.
The intrinsic zero-point uncertainties are of about 0.003 in the gM, rM, and iM-bands and 0.005 in the zM-band. Given the large number of epochs, the resulting statistical error is lower than 0.001 mag in the gM, rM, iM-bands and of about 0.001 mag in the zM-band.
The uncertainties reported along with the calibrated magnitudes of the tertiaries (see Tables 19-22 in Appendix E) combine the uncertainties related to the photon-noise, zero-point and atmospheric variations. They are shown in Fig. 18. In the gM, rM and iM-bands, for stars brighter than 20, they are dominated by the night-to-night atmospheric dispersion reported in Table 8, and then by photon noise. In the zM-band, the photon noise dominates for stars fainter than about 18.5. This is expected given the low quantum efficiency of the MegaCam detectors in the red.
The last cause of statistical uncertainties are the
Landolt-to-MegaCam color transformations which impact the
,
...
magnitude
differences. Since we fit global color transformations, these
uncertainties are correlated and do not average out, whatever the
number of epochs. We found them to be equal to 0.002 mag in gM,
0.0015 mag in rM,
0.0012 in iM
and 0.005 in zM.
This is the dominant contribution to the statistical uncertainty
budget.
12 Systematic uncertainties
The systematic uncertainties that affect the calibrated fluxes are summarized in Table 12.
12.1 Photometry related errors
As discussed in Sect. 4, we use variable size apertures to measure the flux of the calibration and tertiary stars. We do not expect the PSF to be identical on the science exposures, which are long guided exposures, and calibration exposures of much shorter exposure time, not guided, and slightly defocused. We found that on average, the seeing measured on the calibration exposures is higher than the seeing measured on the science exposures by about 0.13 arcsec. We also have evidence that the shape of the PSF is different. As described in Sect. 4.3, we also have computed the fractional increase of flux between our standard apertures and apertures twice as large. The differences between these science image aperture corrections minus the calibration image aperture corrections are summarized in Table 9. On average, we collect 0.2% more photons on the science images than on the calibration images. The tertiary star magnitudes are corrected for this effect. The residual systematic uncertainties are well below 0.001 mag.
Table 9: Aperture correction differences between the science and calibration exposures, in the sense science minus calibration exposures.
12.2 The airmass corrections
As described in Sect. 8, the
airmass dependent term is modeled as a linear correction, neglecting
the second order corrections, of the form: k'
(X-1)
.
The second order coefficients can be modeled using synthetic
photometry. Their theoretical values are summarized in Table 10.
Neglecting the second order correction result in a bias
equal to:
![\begin{eqnarray*}k' \times (X-1) \times \Bigl[ \langle {\rm color}_{\rm science} \rangle - \langle{\rm color}_{\rm Landolt}\rangle \Bigr].
\end{eqnarray*}](/articles/aa/full_html/2009/41/aa12446-09/img282.png)
The values of these biases are listed in Table 10. As we can see, they are smaller than 0.001 mag in all bands. We therefore ignore them in the systematic error budget.
Table 10: Synthetic second order airmass corrections.
12.3 The shutter precision
As described in Sect. 2,
the actual exposure time is measured using a dedicated system with a
precision of 0.001 s. The shutter ballistics was
investigated by the CFHT team using sequences of exposures of
the same field, taken with increasing exposure times. Cuillandre (2005) showed that
the specification of 3 ms was actually met. The study could
not measure a systematic shutter uncertainty. In order to be
conservative, we assign an error of 3 ms
to all the exposure times. This error is negligible for the science
exposures, but not for the calibration exposures, of mean exposure
time
s. Being
conservative, we consider that this induces a systematic error on the
tertiary magnitudes, of 0.0015 mag (correlated) in all bands.
12.4 Landolt catalog internal dispersion
The Landolt (1992b) catalog is known to be remarkably uniform, with a reported internal dispersion of 0.003 mag. We have checked this assertion, and estimated the resulting error on the tertiary magnitudes. Indeed, we observe regularly 8 Landolt fields, containing about 250 Landolt stars and representing a little less than half of the whole Landolt catalog. Since each SNLS field is itself calibrated with a subset of no more than the three or four Landolt fields that are observable along with it, we can expect to measure a sizeable error due to the Landolt catalog internal dispersion.
The field-to-field dispersion of the zero-points was measured on the stable nights during which more than one Landolt field was observed. We have measured it to be of 0.002 mag in gri and 0.004 in z. Since each SNLS field is calibrated with about 4 different Landolt fields on average, we estimate the uncertainty to be of about 0.001 mag in the gri-bands and 0.002 mag in the z-band.
12.5 Grid reference colors
As discussed in Sect. 6,
there is a hidden color reference associated to each
map.
The grid sequences were calibrated using the average run zero-points
provided by the Elixir pipeline. These zero-points are valid for an
entire run (about two weeks), and do not account for the night-to-night
variations. We have evaluated the night-to-night dispersion of the
zero-points to be of about
.
The grid reference colors are known to this precision, and each
map
pixel is therefore affected by an error, equal to
.
Table 11
summarizes the largest associated uncertainty.
Table 11: Uncertainties on the grid reference colors and the associated max error affecting the grid pixels.
12.6 Adequacy of the grid color corrections
The agreement of the MegaCam passband model and the grid corrections has been discussed in 7.3. We have found that there is an excellent agreement between the synthetic color terms determined using the Pickles (1998) library and the color terms measured from the grid corrections, except in the rM-band, where there might be a slight disagreement. We found, using the real spatial distribution of the Landolt star measurements, that the differences between the model predictions and grid measurements have an impact of less than 0.001 mag on the zero-points in the gM, iM and zM-bands, and of 0.002 mag in the rM-band.
Table 12: Summary of the systematic uncertainties affecting the calibrated magnitudes and fluxes.
12.7 The magnitudes of BD +17 4708
BD +17 4708 is too bright to be observed directly with MegaCam. Its MegaCam magnitudes were determined indirectly in Sect. 9. The uncertainties on these estimates are dominated by astrophysical considerations, especially the impact of the fact that BD +17 4708 is possibly a binary system.
12.8 The SED of BD +17 4708
The last source of systematic uncertainties that must be discussed is
related to the measurement of the SED of BD +17 4708.
We use version 2 of the determination published by Bohlin & Gilliland (2004a),
available on the CALSPEC web site. The uncertainties affecting this
measurement come from two sources. First, the repeatability of the STIS
observations, which is routinely monitored with repeated observations
of the star AGK +81 266. According to
Fig. 1
of Bohlin & Gilliland (2004a)
this repeatability is of about 0.3% in the gM-,
rM-, iM-
and and 0.6% in the zM-bands
respectively (1
errors).
There are hints that there are correlations between these
uncertainties. We have computed our own repeatability model using the
original monitoring spectra of AGK +81 266,
integrated in the MegaCam passbands. We found a repeatability
of 0.2%, 0.3%, 0.3% and 0.6% in the gM-,
rM-, iM-
and zM-bands
respectively, with strong correlations between the neighboring bands.
The other main source of uncertainty come from the model flux
distributions of the three primary standards themselves. This includes
internal uncertainties of the NLTE white dwarf atmosphere modeling,
as well as uncertainties in the determination of the star
metallicities, surface gravity and effective temperature, from the
observation of the Balmer line profiles. From the results presented in Bohlin (2002), we adopt
a 0.5% uncertainty (1
)
over the range 3000-10 000 Å. This translates into
uncertainties on the gM,
rM, iM
and zM synthetic
broadband fluxes of BD +17 4708, relative
to the synthetic V-band flux,
which are essentially negligible, except for the iM-
and zM-bands
(0.15% and 0.24% respectively).
The sum of the two contributions is dominated by the repeatability of the STIS instrument. Combining both sources of uncertainties, we obtain the covariance matrix listed in Appendix D, Table D.3.
12.9 Summary: the full uncertainty budget
We obtain the full uncertainty budget by combining the statistical and
systematic uncertainties. The full covariance matrix is listed in
Table D.2
(Appendix D).
As discussed above, we have chosen to report the uncertainties that
affect the quantities
,
,
and
,
i.e. the differences between the tertiary magnitudes
BD +17 4708 magnitudes. Note that these quantities
are correlated with the Landolt magnitudes of
BD +17 4708:
,
,
,
and
.
Since the SNLS cosmology analysis does compare nearby supernova
magnitudes
with the MegaCam magnitudes of more distant supernovae, we cannot
ignore these correlations. Hence, we report a 9
9 covariance matrix, containing all these correlations.
The contribution of the uncertainties affecting the
measurement of the SED of BD +17 4708 are listed in
Table D.3.
Similarly, we report a 9
9 covariance matrix, including the 5 Landolt bands in
addition to the MegaCam bands.
13 Discussion
In this paper, we have characterized the MegaCam focal plane
photometric response, built a model of the MegaCam passbands, and
defined a system of Local Natural Magnitudes,
depending on the
focal plane position. This system is implemented as four catalogs of
tertiary standard stars, one for each of the four CFHTLS DEEP field.
The relations between these magnitudes and their physical flux
counterparts have been explicited. They rely on a specific star,
BD +17 4708, with known Landolt
and MegaCam gM,
rM, iM,
zM-magnitudes,
and a known Spectral Energy Distribution measured and calibrated
independently by Bohlin &
Gilliland (2004a).
The statistical and systematic uncertainties affecting the tertiary magnitudes and their flux counterparts have been discussed in Sects. 10.2, 11.7 and 12. The uncertainties affecting the MegaCam magnitudes of each tertiary standard may be classically split into two different contributions. First, a statistical uncertainty which accounts for the flux measurement shot noise, the number of epochs averaged and the average photometric conditions under which this star was observed. This contribution is summarized in Fig. 18. In the gM, rM and iM-bands, it amounts to about 0.0025 mag for a mag 18 star and stays below 0.005 mag up to mag 21. In the zM-band, it is higher, of about 0.005 mag for a mag 18 star, and reaches 0.01 mag for a mag 19.5 star. The second contribution is a systematic uncertainty which is summarized in the first section of Table 12 and characterizes how well the MegaCam system is tied to the Landolt system: 0.002 in gM and rM, 0.006 in iM and 0.003 in zM. Finally, the magnitude-to-flux conversion introduces additional uncertainties, of 0.005 mag or better in the gM, rM, iM-bands and 0.019 mag in zM. The final systematic uncertainty budget is detailed in Table 12 and in the covariance matrices D.2 and D.3 listed in Appendix D.
In order to fully quantify how well this system is tied to
Landolt, we should also add to this budget the impact of the
Landolt-to-MegaCam color term uncertainties. If one considers the full
relevant color range from Vega (
)
to the mean colors of the Landolt stars (
), one finds that this
contribution is large, between 0.005 and 0.015 mag,
depending on the band. BD +17 4708 was chosen as a
fundamental standard partly because its colors are closer to the mean
color of the Landolt stars. This allows one to reduce the final impact
of the Landolt-to-MegaCam color term uncertainties down to less than
0.002 mag in gM,
rM, iM
and 0.005 mag in zM.
The statistical and systematic error budgets are extremely
similar from one field to another, mainly because each field was
treated on an equal footing, with the same observation strategy. The
only systematic difference from one field to another is the mean
effective airmass
for D1 and D2 and
for D3 and D4. Propagating the uncertainties
affecting the airmass coefficients determined in Sect. 8, one
finds that the impact of these
differences on the final tertiary magnitudes is very small,
below 0.001 mag.
Table 13: Open transmission of the MegaCam imager (no filters).
The MegaCam magnitudes defined in this paper are tied to the Landolt system using (quasi-)linear color relations. Hence Vega (like any A0V star) should have MegaCam colors close to zero. Note however that the Landolt and MegaCam magnitudes of Vega are affected with large uncertainties of a few percents at least. We have not been able to quantify with precision the departure of this system from a strictly Vega-based system. This is the reason why we have discarded Vega as a fundamental standard, and used BD +17 4708 instead.
We would like to stress again, that the photometric system presented in this paper has been designed in such a way that no color correction (or grid color correction) ever has to be applied to the science objects' magnitudes. Indeed, our main goal is to keep the connection between the magnitudes reported by the survey and the underlying physical fluxes. This is especially important when dealing with non-stellar objects, such as supernovae or galaxies.
The main application of this work is the calibration of the supernova lightcurves obtained during the 3 first years of the SNLS survey. Nevertheless, we release all the necessary information so that any MegaCam dataset can be anchored to this system, provided that one of the SNLS DEEP fields is regularly observed during the program along with the science data.
The calibration of the SNLS 3-year supernova lightcurves from the tertiary catalogs presented in this paper is discussed in detail in Guy et al. (2009, in prep) and anyone interested in tying a dataset to our system should study this paper as a first step. The recommended procedure may be briefly outlined as follows:
- 1.
- first, the instrumental magnitudes of the SNLS tertiary stars used as calibrators must be measured using the exact same photometry algorithm as the one used to estimate the flux of the science objects;
- 2.
- then, the zero-points are derived by comparing the instrumental magnitudes of the tertiaries with the calibrated magnitudes released with this paper (see Appendix E);
- 3.
- the Local Natural Magnitudes can then be obtained by applying those zero-points to the science objects' instrumental magnitudes;
- 4.
- finally physical broadband fluxes may be derived from the Local Natural Magnitudes using (a) Eq. (9) (b) the MegaCam magnitudes of BD +17 4708 reported in Table 7 (c) the SED of BD +17 4708 discussed in Sect. 10.1 and (d) the MegaCam passband model detailed in Appendix B. The filter model at the exact focal plane location of the science target may be obtained by interpolating between the filter scans detailed in Tables 14 to 18.
The SDSS-II first year dataset (Holtzman
et al. 2008) relies on a similar calibration scheme.
The calibration of the SDSS SN Ia lightcurves relies on the
catalog of tertiary standard stars published by Ivezic
et al. (2007). This latter catalog contains about
1.01 million non-variable stars located on the SDSS equatorial
stripe 82 (
)
and is believed to be uniform at the 1% level. Although the
reduction of drift scan imaging data poses different problems, it is
interesting to note that Ivezic
et al. (2007) had to solve very similar problems,
such as the uniformity of the photometric response along a drift scan,
or the small differences between the filters which equip each column of
the camera.
The Ivezic et al. (2007) catalog is calibrated to the natural SDSS 2.5-m photometric system, which deviates from a perfect AB system by about 4% in the u-band, and 1 to 2% in the griz-bands. Therefore, Holtzman et al. (2008) chose to tie their magnitudes to the HST white-dwarf scale. Several potential CALSPEC primary standards were observed with the smaller SDSS Photometric Telescope (PT) and their magnitudes were transferred to the SDSS 2.5-m photometric system using linear color transformations, supplemented by synthetic photometry in order to determine star-specific offsets with respect to the color transformations. As in our case, the color transformations are not well-defined in the white-dwarf color range. Hence, they chose to use the three CALSPEC red, faint, solar analogs P330E, P177D and P041C as primary standards. The calibration path adopted by Holtzman et al. (2008) is extremely similar to that presented in this paper. Its main advantage is that the SDSS Photometric Telescope response is well characterized, and that the color transformations between the PT and the science telescope are smaller.
There are several shortcomings affecting the calibration presented is this paper. First, BD +17 4708 has not been observed directly with MegaCam. We therefore rely on (1) the Landolt measurements of BD +17 4708; (2) the Landolt-to-MegaCam color transformations; (3) on the Phoenix/GAIA synthetic libraries and combined with estimates of BD +17 4708's metallicity, surface gravity and extinction to estimate its MegaCam magnitudes. Then, the time interval between the calibration and science measurements is of several hours. We are therefore sensitive to the variations of the atmospheric conditions on such long periods. The large number of epochs allows one to reduce this source of uncertainty to 2 mmag on average. However, a more robust calibration would be obtained if calibration and science observations could be separated by intervals of a few minutes only, and if repeated exposures of the same field through the observation sequence could allow one to estimate the photometricity of the observing condition, during the science and calibration observations. Finally, the current grid dataset, with observations every 6 months, does not allow one to monitor precisely the run-to-run variations of the imager photometric response.
In order to overcome these shortcomings, we have designed a dedicated calibration program, called MAPC (MegaCam Absolute Photometric Calibration). MAPC combines observations of the DEEP fields, HST spectrophotometric standards which are a little fainter than BD +17 4708, and dithered observations of the SDSS equatorial stripe 82, all taken in a little less than 30 min. This program will allow us to redefine the MegaCam Local Natural Magnitudes independently of the Landolt magnitudes. We also will be able to explicit the connections of the MegaCam magnitudes with the widely used SDSS magnitude system.
A second article dealing with the precise photometric calibration of MegaCam data will follow the current effort. It should be noted that the photometric precision delivered since first light by the Elixir pipeline (4%) falls within the typical scientific requirements and has not been a limitation for most users. We expect, however, that the new level of precision provided by our current work will enable science currently unforeseen with the MegaCam data set.
AcknowledgementsThe authors wish to thank R. Bohlin for helpful advice. We are grateful to A. Landolt for giving us details about his instrumentation and analysis pipeline. We thank C. Buton and the SNF Collaboration for letting us use their atmospheric transmission curve prior to publication. We are grateful to S. Bailey for his careful rereading of the manuscript and to V. Ruhlmann-Kleider for useful comments and remarks. Canadian collaboration members acknowledge support from NSERC and CIAR; French collaboration members from CNRS/IN2P3, CNRS/INSU, PNCG. Most of the data reduction was carried out at the Centre de Calcul de l'IN2P3 (CCIN2P3, Lyon, France).
Appendix A: Measuring the photometric response maps (details)
We have shown in Sect. 6
that fitting the uniformity maps
and
from the dithered grid field
observations is a very large
dimensionality problem, involving about
200 000 parameters. Of these parameters, most are the
grid stars instrumental magnitudes (i.e. nuisance parameters).
The grid maps are developed on independent
superpixels
,
.
The
are fit on 512
512 superpixels, with 1296 superpixels on the focal
plane. The precision obtained on the
parameters
depends on the color lever arm. In order to maximize it, the
maps
are developed on larger (1024
1537) superpixels, with only 216 superpixels on the
focal plane. Since both maps have a
reference cell, there are N = 1295 and N'
= 215
and
coefficients
respectively, representing 1510 parameters in total. We have
checked that first order methods, which do not require one to build the
second derivatives of the
converge
very slowly and do not allow one to obtain the exact solution in a
reasonable amount of iterations. In this section, we show that the
structure of the problem is such that the dimensionality of the normal
equations can be in fact greatly reduced. This allows us to obtain the
exact solution of the problem in a single step.
First, the model fitted on the instrumental magnitudes of the
grid stars is as follows. This model connects the expectation of the jth measured
instrumental magnitude of star i,
with
the fit parameters, i.e. the grid map parameters
and
and the magnitudes of the grid stars at the reference location,
.
The star colors are fixed, and recomputed iteratively until they do not
vary by more than 0.0001 mag. The model
can be written:
![\begin{eqnarray*}E \left [ m_{{\rm ADU}\vert{\vec x}}(i,j) \right ] &=& m_{\vert...
...igl({\rm col}_{\vert{\vec x}_0}(i) - {\rm col}_{\rm grid}\Bigr).
\end{eqnarray*}](/articles/aa/full_html/2009/41/aa12446-09/img313.png)
Grouping together the grid map parameters
![]() |
(A.1) |
| (A.2) | |
| (A.3) | |
| (A.4) |
The
where wij is the weight of the measurement
where
![]() |
(A.7) |
![]() |
(A.8) |
![]() |
(A.9) |
and
![]() |
(A.10) |
![]() |
(A.11) |
Since all coordinates but one of each vector
and get a computationally tractable equation because
using again that
Equations (A.12)
and (A.13)
yield the exact solution of the linear least squares problem (A.5).
Besides reaching the least squares minimum,
the method described here provides us with the true covariance matrix
of the calibration parameters. Indeed, one can show from Eq. (A.6)
that the full covariance matrix, marginalized over the grid star
magnitudes is given by:
![]() |
(A.14) |
What allowed us to reduce the dimensionality of the problem and obtain the exact solution is the very specific structure of the
Appendix B: MegaCam passbands
In this section, we detail our model of the ingredients of the MegaCam
effective passbands, presented in Sect. 7 and
summarized in Fig. B.1.
For all bands, the model consists in the product of five components:
| (B.1) |
The transmission of the optical system,
and
the reflectivity of the primary mirror,
were
obtained from the CFHT team. The quantum
efficiency
of
the camera was obtained from the CEA team. It is actually
an
average model, derived from the measured quantum efficiencies of the
chips which equip MegaCam.
The Mauna Kea atmospheric transmission
is being measured by the
Nearby Supernova
Factory (Buton & SNfactory 2009).
We use a preliminary version of this measurement. Finally, the
and
absorption
lines have a sizeable impact on the zM passband.
We use the determination presented in Hinkle
et al. (2003)
.
The resolution of the original determined being of about
0.15 Å, we have rebinned it, with to reach a bin size of about
3 Å. Table 13
displays the product of all the components listed above.
Finally, the filter transmissions,
,
were characterized by their manufacturer (Sagem/REOSC). For each
filter, ten scans were performed at ten different locations -
namely, at the center of the filter, and then, at 23, 47, 70, 93, 117,
140, 163, 186 and 210 millimeters from the center, along a
diagonal. The transmissions reported by Sagem/REOSC were blueshifted as
described in Sect. 7, in
order to account for the fact that the f/4 beam does not cross
the filters at a normal incidence on average. The resulting blueshifted
transmissions uM,
gM, rM,
iM, and zM
are reported in Tables 14-18
respectively. In order to build a passband
model which is continuous as a function of the position, the scans
presented in those tables were interpolated, assuming a central
symmetry around the focal plane center, as indicated by the
maps.
![]() |
Figure B.1:
MegaCam effective passbands at the center of the focal plane (filled)
and close to the sides of the focal plane (solid gray lines).
As discussed in Sect. 6,
the filters are bluer on the edges than at the center of the camera. We
also display the cumulative effect of the main ingredients of the
effective passbands: average quantum efficiency of the MegaCam
CCDs
|
| Open with DEXTER | |
The sidereal positions of the objects can be mapped to ``filter
coordinates'' (in millimeters), using the following formula:
|
|
= | ||
| = | (B.2) |
where
Appendix C: Linearity checks
Photometric standards are bright stars. Even when observed with short exposure times, their brightest pixel is commonly close to saturation. On the contrary, most if not all supernovae represent a small increase over the sky level. Since any amplifying electronic system is bound to become non-linear when approaching saturation, we tried to measure or bound non-linearities of MegaCam's photometric response.
For this purpose, we did not use the light emitting diodes built in the MegaPrime setup, although they enable in principle to inject controlled amounts of light in the imager. These diodes illuminate the detectors almost uniformly, and the response could be different than to localized astronomical sources. Using genuine astronomical observations is obviously less flexible, and we had to restrict our linearity test to checking if star measurements are altered at the high end of the dynamic range.
Images of a low Galactic latitude field were observed on the same night, within ten minutes, with exposure times of 1, 2, 4, 8 and 16 s, at an almost constant airmass of 1.01 and without ditherings between exposures. These images were flat-fielded using standard flats, but this is essentially irrelevant to what follows. We measured fluxes of stars in a 16 pixels radius aperture (f16), after a thorough estimation of the background level. Namely, we first detected sources down to a S/N of about 3, generously masked pixels attributed to these sources and used the remaining pixels to compute a local background average level below each source. For these low background levels, it is important to use a mean rather than a median, because the Poisson distribution describing the pixel statistics is skewed. We also computed the aperture flux in a 27 pixels radius (f27) and fitted a linear relation to f27-f16 vs. f16 of the isolated measurements in each CCD. The slope provides us with an average aperture correction to 27 pixels radius and the offset indicates the quality of the background subtraction. We averaged the aperture corrections per exposure and applied them to the f16 measurements, and checked that our background residuals (mostly below 0.1 ADU per pixel) do not affect the fluxes we are considering by more than one part in a thousand. Figure C.1 displays ratios of fluxes (per unit time) measured with different exposure times as a function of object brightest pixel value, averaged over the mosaic. Average values of these ratios differ slightly from unity, and the difference is compatible with the expected differences of aperture corrections beyond 27 pixels in radius. A lower response at the high end of the range would cause a rise of this ratio with peak flux, and we do not see such a trend. We assume that the system is linear on the lower half of the peak flux range and compare the average ratio at peak flux (in the 16 s exposure) below 32 000 ADUs to the same quantity above 50 000 ADUs: we find differences below the per mil with uncertainties below the per mil as well. We hence conclude that possible average departures from linearity affect bright star fluxes by less than one part in a thousand (which roughly corresponds to 1% at the pixel level). Possible non-linearities are therefore ignored.
![]() |
Figure C.1: Difference to unity of ratios of fluxes measured in different duration exposures, as a function of peak flux. We deduce from this plot that star fluxes measured at the high end of the dynamic range are on average not altered by more than about one part in a thousand. The flux independent offsets can be attributed to e.g. unaccounted for aperture corrections or errors in the reported exposure times. |
| Open with DEXTER | |
Appendix D: Uncertainties and covariance matrices
We now report the various covariance matrices discussed in the paper. All of them (Tables D.1-D.3) are available online.
First, we report the covariance matrix of the uncertainties
affecting the estimated MegaCam
,
,
,
and
and the Landolt
,
,
,
and
BD +17 4708
magnitudes. It is listed in
Table D.1.
Note that this matrix was established assuming that the
Landolt
,
,
,
,
and
measurements
are all
independent. As discussed in Sect. 10,
this is equivalent to assuming that the Landolt calibrated magnitudes
are all affected by an overall ``gray scale'' uncertainty, which
correlate them positively and that the Landolt V-band
uncertainty is a good estimate of it. This gray scale uncertainty does
not affect the Landolt colors though.
Then, we also report the covariance matrix of the
uncertainties affecting the MegaCam tertiary magnitudes. As discussed
in Sect. 10,
the relevant
quantities used to map calibrated magnitudes into fluxes are the
differences between the tertiary standard magnitudes and the magnitudes
of BD +17 4708:
.
By construction, these uncertainties are correlated to the Landolt
magnitudes of BD +17 4708. Hence, we report in
Table D.2
the covariance matrix of the
,
...
,
,
...
magnitude
uncertainties. This matrix contains (1) the statistical
uncertainties affecting the zero points and the Landolt-to-MegaCam
color transformation slopes, (2) the night-to-night dispersion listed
in Table 8 and (3) the systematic uncertainties listed in the
upper part of Table 12.
As discussed in Sect. 11,
the influence of the color transformation slopes is greatly reduced
thanks to the fact that the colors
of BD +17 4708 is much closer to the average
colors of the Landolt stars.
In principle, we could have separately reported the
uncertainties affecting each field's tertiary standards. Indeed, some
SNLS fields are better observed that others. However, we have
noticed
that the total uncertainty budget is dominated by the systematics.
Hence, the
...
uncertainties
are almost fully correlated, as can be seen in Fig. D.1.
Hence, we have decided to report only an ``average'' 9
9 matrix, valid for each SNLS field, instead of the
full 21
21 matrix.
![]() |
Figure D.1:
Correlation matrix of the (statistical and systematic) uncertainties
affecting the
|
| Open with DEXTER | |
Table D.1: Full covariance matrix of the BD +17 4708 MegaCam and Landolt magnitude uncertainties. See Sect. 10 for details.
Table D.2: Final covariance matrix of the uncertainties affecting (1) the differences between the tertiary MegaCam magnitudes and the MegaCam magnitudes of BD +17 4708 and (2) the Landolt magnitudes of BD +17 4708.
Table D.3: Covariance matrix of the uncertainties affecting the synthetic instrumental magnitudes of BD +17 4708.
Finally, there is a last set of (systematic) uncertainties, which affects only the calibrated fluxes derived from the tertiary standard magnitudes: the errors related to the measurement of the SED of BD +17 4708, including the repeatability of the STIS measurements, and the absolute calibration of the STIS instrument. These uncertainties are discussed in Sect. 12. The associated covariance matrix is reported in Table D.3.
Appendix E: Tertiary catalogs
The tertiary catalogs built for the SNLS fields D1-D4 are listed in Tables 19-22 respectively.
They include the uM
band calibrated magnitudes, derived as discussed in the previous
section. For each star, we report the Local Natural Magnitudes, along
with the
grid
coefficient at the focal plane position where the star was observed.
The Uniform Magnitudes can then be derived using the approximate
formulas:
| (E.1) |
Indeed, the error resulting from using the local color:
Appendix F: Calibration of the
-band
data
The DEEP survey uM-band data have also been analyzed. This calibration is less robust however, given the difficulties inherent to the calibration of near-UV data, and also given the small number of uM-band epochs. Indeed, the uM-band dataset not being formally part of the SNLS dataset, and the exposures are not time sequenced. In this section, we list the main results obtained on the uM-band data.
![]() |
Figure F.1:
uM-band
grid maps. As can be seen, the uM filter
seems more uniform than the other band filters. Sharp variations can be
observed in the |
| Open with DEXTER | |
![]() |
Figure F.2: Left: uM- gM versus gM- rM color-color plot of the tertiary standards. Right: a zoom on the 0.4 < uM- gM< 1.5 region of the color-color plot, after subtraction of the mean slope. We see that the uM- gM colors of the three D1-D3 fields agree within one percent. The origin of the systematic shift which affect the D4 colors is not clearly identified. |
| Open with DEXTER | |
The uniformity studies described in Sect. 6
have also been performed on the uM-band
data. Figure F.1
presents one of the
and
maps
obtained in semester 2005B. We note that the uM-band
filter seems to be much more uniform than the other band filters. Also
there seem to be sharp passband variations between the various CCDs.
This is due to the fact that the blue edge of the MegaCam uM-band
is determined by the CCD quantum efficiencies.
The uM-band
Landolt observations have been analyzed with the same procedure as the
one described in this paper. The Landolt-to-MegaCam color
transformations were modeled using a piecewise-linear function, with a
break at
:
![\begin{eqnarray*}u_{{\rm ADU}\vert{\vec x}_0} &=& U - k_u \times (X-1) + \alpha_...
...[(U-B) - (U-B)_0\right] \\
& & \qquad {\rm if\ U-B > (U-B)_0}.
\end{eqnarray*}](/articles/aa/full_html/2009/41/aa12446-09/img374.png)
We found:
|
|
= | ||
| = | |||
| ku | = | (F.1) |
The zero-points determined along with the global parameters
Figure F.2
presents the uM-gM versus
gM-rM
color-color diagram for all four SNLS fields. As can be seen,
the uM-gM
colors of the three D1-D3 fields agree within one percent. On
the other hand, the stellar locus of the D4 field is about 4%
away from that of the other fields. The reason for this is not clear
yet. In particular, D4 is affected by the same Galactic
absorption as, for exampled, D1 (
for
both). Note that we observe the same phenomenon - although
much weaker - on the rM-iM vs.
gM-rM diagram
(Fig. 17).
The uM-band
magnitudes determined in this section can be retrieved in electronic
form at the CDS
.
Aside from the main catalogs, described in the previous section, we
have released similar catalogs containing the subset of tertiary
standards with uM-band
magnitudes.
As for the main catalogs, we report the Local Natural
Magnitudes of each star. The flux interpretation of those magnitudes
relies on the MegaCam uM-band
magnitude of BD +17 4708, which can be derived as
described in Sect. 10.
Using the color transformations determine above, we can compute a first
order estimate of the uM-band
magnitude of BD +17 4708:

This estimate should be corrected by an offset
Clearly, the uM-band calibration of the CFHTLS survey will be considerably improved by (1) adding more epochs and (2) observing a set of fundamental standards directly with MegaCam. This is the goal of the MAPC program, already discussed in this paper.
Appendix G: MegaCam-to-SDSS color transformations
Two CFHTLS DEEP fields, D2 and D3 were also observed by the SDSS collaboration. While the intercalibration of the MegaCam and SDSS surveys deserves its own paper, it is possible to use the observations of D2 and D3 to derive the color transformations between the SDSS and MegaCam magnitudes. We used the SDSS DR6 catalogs and determined the color transformations between the SDSS and MegaCam transformations at the focal plane center. We found the color transformations to be linear, and equal to:
| (G.1) |
As one can expect, there are non-zero offsets between the SDSS 2.5-m and the SNLS system (
References
- Allen, C. W. 1976, Astrophysical Quantities (London: Athlone), 3rd edn
- Astier, P., Guy, J., Regnault, N., et al. 2006, A&A, 447, 31 [NASA ADS] [CrossRef] [EDP Sciences]
- Baron, E., & Hauschildt, P. H. 1998, ApJ, 495, 370 [NASA ADS] [CrossRef]
- Bertin, E., & Arnouts, S. 1996, A&AS, 117, 393 [NASA ADS] [CrossRef] [EDP Sciences]
- Bessell, M. S. 1990, PASP, 102, 1181 [NASA ADS] [CrossRef]
- Bohlin, R. 2000a, http://www.stsci.edu/hst/observatory/cdbs/calspec.html
- Bohlin, R. C. 2000b, AJ, 120, 437 [NASA ADS] [CrossRef]
- Bohlin, R. C. 2002, in The 2002 HST Calibration Workshop: Hubble after the Installation of the ACS and the NICMOS Cooling System, Proceedings of a Workshop held at the Space Telescope Science Institute, Baltimore, Maryland, October 17 and 18 (Baltimore, MD: Space Telescope Science Institute), ed. S. Arribas, A. Koekemoer, & B. Whitmore, 115
- Bohlin, R. C. 2007, in The Future of Photometric, Spectrophotometric and Polarimetric Standardization, ed. C. Sterken, ASP Conf. Ser., 364, 315
- Bohlin, R. C., & Gilliland, R. L. 2004a, AJ, 128, 3053 [NASA ADS] [CrossRef]
- Bohlin, R. C., & Gilliland, R. L. 2004b, AJ, 127, 3508 [NASA ADS] [CrossRef]
- Boulade, O., Charlot, X., Abbon, P., et al. 2003, in Instrument Design and Performance for Optical/Infrared Ground-based Telescopes, ed. M. Iye, & A. F. M. Moorwood, Proc. SPIE, 4841, 72
- Brodwin, M., Lilly, S. J., Porciani, C., et al. 2006, ApJS, 162, 20 [NASA ADS] [CrossRef]
- Burke, D. L. 2007, in The Future of Photometric, Spectrophotometric and Polarimetric Standardization, ed. C. Sterken, ASP Conf. Ser., 364, 145
- Buton, C., & SNfactory 2009, in preparation
- Cardelli, J. A., Clayton, G. C., & Mathis, J. S. 1989, ApJ, 345, 245 [NASA ADS] [CrossRef]
- Cousins, A. W. J. 1976, MmRAS, 81, 25 [NASA ADS]
- Cousins, A. W. J. 1978, Monthly Notes of the Astronomical Society of South Africa, 37, 8 [NASA ADS]
- Cuillandre, J.-C. 2005, Shutter ballistics and exposure time, http://cfht.hawaii.edu/Instruments/Imaging/MegaPrime
- Fukugita, M., Ichikawa, T., Gunn, J. E., et al. 1996, AJ, 111, 1748 [NASA ADS] [CrossRef]
- Gunn, J. E., Carr, M., Rockosi, C., et al. 1998, AJ, 116, 3040 [NASA ADS] [CrossRef]
- Gunn, J. E., Siegmund, W. A., Mannery, E. J., et al. 2006, AJ, 131, 2332 [NASA ADS] [CrossRef]
- Guy, J., Conley, A., Sullivan, M., et al. 2009, in preparation
- Hamuy, M., Walker, A. R., Suntzeff, N. B., et al. 1992, PASP, 104, 533 [NASA ADS] [CrossRef]
- Hamuy, M., Suntzeff, N. B., Heathcote, S. R., et al. 1994, PASP, 106, 566 [NASA ADS] [CrossRef]
- Hamuy, M., Phillips, M. M., Suntzeff, N. B., et al. 1996, AJ, 112, 2408 [NASA ADS] [CrossRef]
- Hauschildt, P. H., & Baron, E. 1999, J. Comp. Applied Math., 109, 41 [NASA ADS] [CrossRef]
- Hauschildt, P. H., Baron, E., & Allard, F. 1997, ApJ, 483, 390 [NASA ADS] [CrossRef]
- Hinkle, K. H., Wallace, L., & Livingston, W. 2003, in BAAS, 35, 1260
- Holtzman, J. A., Marriner, J., Kessler, R., et al. 2008, AJ, 136, 2306 [NASA ADS] [CrossRef]
- Ilbert, O., Arnouts, S., McCracken, H. J., et al. 2006, A&A, 457, 841 [NASA ADS] [CrossRef] [EDP Sciences]
- Ivezic, Z., Smith, J. A., Miknaitis, G., et al. 2007, AJ, 134, 973 [NASA ADS] [CrossRef]
- Jha, S., Kirshner, R. P., Challis, P., et al. 2006, AJ, 131, 527 [NASA ADS] [CrossRef]
- Johnson, H. L. 1955, Ann. Astrophys., 18, 292 [NASA ADS]
- Johnson, H. L. 1963, Photometric Systems, Basic Astronomical Data: Stars and stellar systems, ed. K. A. Strand (Chicago, IL USA: University of Chicago Press), 1968, 204
- Johnson, H. L., & Harris, D. L. 1954, ApJ, 120, 196 [NASA ADS] [CrossRef]
- Johnson, H. L., & Morgan, W. W. 1951, ApJ, 114, 522 [NASA ADS] [CrossRef]
- Johnson, H. L., & Morgan, W. W. 1953, ApJ, 117, 313 [NASA ADS] [CrossRef]
- Juramy, C., Barrelet, E., Schahmaneche, K., et al. 2008, in SPIE Conf. Ser., 7014
- Kaiser, N., Wilson, G., Luppino, G., & Dahle, H. 1999 [arXiv:astro-ph/9907229]
- Keller, S., Bessell, M., Schmidt, B., & Francis, P. 2007, in The Future of Photometric, Spectrophotometric and Polarimetric Standardization, ed. C. Sterken, ASP Conf. Ser., 364, 177
- Landolt, A. U. 1973, AJ, 78, 959 [NASA ADS] [CrossRef]
- Landolt, A. U. 1983, AJ, 88, 439 [NASA ADS] [CrossRef]
- Landolt, A. U. 1992a, AJ, 104, 372 [NASA ADS] [CrossRef]
- Landolt, A. U. 1992b, AJ, 104, 340 [NASA ADS] [CrossRef]
- Landolt, A. U. 2007, in The Future of Photometric, Spectrophotometric and Polarimetric Standardization, ed. C. Sterken, ASP Conf. Ser., 364, 27
- Landolt, A. U. 2009, AJ, 137, 4186 [NASA ADS] [CrossRef]
- Landolt, A. U., & Uomoto, A. K. 2007, AJ, 133, 768 [NASA ADS] [CrossRef]
- Latham, D. W., Mazeh, T., Carney, B. W., et al. 1988, AJ, 96, 567 [NASA ADS] [CrossRef]
- Magnier, E. 2007, in The Future of Photometric, Spectrophotometric and Polarimetric Standardization, ed. C. Sterken, ASP Conf. Ser., 364, 153
- Magnier, E. A., & Cuillandre, J.-C. 2004, PASP, 116, 449 [NASA ADS] [CrossRef]
- Martin, P., Savalle, R., Vermeulen, T., & Shapiro, J. N. 2002, in SPIE Conf. Ser. 4844, ed. P. J. Quinn, 74
- Menzies, J. W., Cousins, A. W. J., Banfield, R. M., & Laing, J. D. 1989, South African Astronomical Observatory Circular, 13, 1 [NASA ADS]
- Padmanabhan, N., Schlegel, D. J., Finkbeiner, D. P., et al. 2008, ApJ, 674, 1217 [NASA ADS] [CrossRef]
- Pickles, A. J. 1998, PASP, 110, 863 [NASA ADS] [CrossRef]
- Ramírez, I., Allende Prieto, C., Redfield, S., & Lambert, D. L. 2006, A&A, 459, 613 [NASA ADS] [CrossRef] [EDP Sciences]
- Ramírez, I., Allende Prieto, C., & Lambert, D. L. 2007, A&A, 465, 271 [NASA ADS] [CrossRef] [EDP Sciences]
- Riess, A. G., Kirshner, R. P., Schmidt, B. P., et al. 1999, AJ, 117, 707 [NASA ADS] [CrossRef]
- Riess, A. G., Strolger, L.-G., Casertano, S., et al. 2007, ApJ, 659, 98 [NASA ADS] [CrossRef]
- Schlegel, D. J., Finkbeiner, D. P., & Davis, M. 1998, ApJ, 500, 525 [NASA ADS] [CrossRef]
- Smith, J. A., Tucker, D. L., Kent, S., et al. 2002, AJ, 123, 2121 [NASA ADS] [CrossRef]
- Stetson, P. B. 2000, PASP, 112, 925 [NASA ADS] [CrossRef]
- Stetson, P. B., Catelan, M., & Smith, H. A. 2005, PASP, 117, 1325 [NASA ADS] [CrossRef]
- Stritzinger, M., Suntzeff, N. B., Hamuy, M., et al. 2005, PASP, 117, 810 [NASA ADS] [CrossRef]
- Stubbs, C. W., & Tonry, J. L. 2006, ApJ, 646, 1436 [NASA ADS] [CrossRef]
- Sullivan, M., Howell, D. A., Perrett, K., et al. 2006, AJ, 131, 960 [NASA ADS] [CrossRef]
- Taylor, B. J. 1986, ApJS, 60, 577 [NASA ADS] [CrossRef]
- Tucker, D. L., Annis, J. T., Lin, H., et al. 2007, in The Future of Photometric, Spectrophotometric and Polarimetric Standardization, ed. C. Sterken, ASP Conf. Ser., 364, 187
- Wood-Vasey, W. M., Miknaitis, G., Stubbs, C. W., et al. 2007, ApJ, 666, 694 [NASA ADS] [CrossRef]
Table 14: uM filter scan.
Table 15: gM filter scan.
Table 16: rM filter scan.
Table 17: iM filter scan.
Table 18: zM filter scan.
Table 19: Tertiary catalog for the SNLS field D1.
Table 20: Tertiary catalog for the SNLS field D2.
Table 21: Tertiary catalog for the SNLS field D3.
Table 22: Tertiary catalog for the SNLS field D4.
Footnotes
- ... fields
- Based on observations obtained with MegaPrime/MegaCam, a joint project of CFHT and CEA/DAPNIA, at the Canada-France-Hawaii Telescope (CFHT) which is operated by the National Research Council (NRC) of Canada, the Institut National des Sciences de l'Univers of the Centre National de la Recherche Scientifique (CNRS) of France, and the University of Hawaii. This work is based in part on data products produced at the Canadian Astronomy Data Centre as part of the Canada-France-Hawaii Telescope Legacy Survey, a collaborative project of NRC and CNRS.
- ...
- Tables 13-22 and D.1-D.3 are also available in electronic
form at the CDS via anonymous ftp to
cdsarc.u-strasbg.fr (130.79.128.5) or via http://cdsweb.u-strasbg.fr/cgi-bin/qcat?J/506/999 - ... 36
- In fact, the MegaCam focal plane is composed of 40 CCDs, but only the 36 central CCDs are actually read out, the 4 additional ones being almost completely vignetted by the filter frame. These four additional chips are kept as spares.
- ... magnitudes
- I.e. -2.5
,
where
is
the instrumental flux of the object, expressed in ADU per
second.
- ... SkyProbe
- www.cfht.hawaii.edu/Instruments/Elixir/skyprobe
- ... mechanism
- More precisely, the tip-tilt plate, located above the wide-field corrector.
- ... filters
- We call the combination of the filter passbands, the transmission of the optics, the reflectivity of the mirrors, the quantum efficiency of the detectors and the average transmission of the atmosphere effective filters.
- ... log
- http://www.cfht.hawaii.edu/Instruments/Imaging/MegaPrime/megaprimehistory.html
- ...%
- In this analysis we use the latest version posted on the CALSPEC ftp server: ftp://ftp.stsci.edu/cdbs/current_calspec/ and labeled bd17d4708_stisnic_002.fits
- ... therein)
- The study presented here relies on version 2.6.1 of the Phoenix/ GAIA spectral library, that can be retrieved from the Phoenix ftp server: ftp://ftp.hs.uni-hamburg.de/pub/outgoing/phoenix/GAIA
- ...Hinkle et al. (2003)
- ftp://ftp.noao.edu/catalogs/atmospheric_transmission/
- ... CDS
- http://cdsweb.u-strasbg.fr/cgi-bin/qcat?J/A+A/506/999
All Tables
Table 1: Fields observed by the DEEP/SN component of the CFHTLS.
Table 2: SNLS/DEEP and Landolt field observations.
Table 3: Statistics of the average aperture corrections and image quality over nights when both science and standards were observed.
Table 4: The dense stellar fields observed to model the imager non-uniformities (Grid Fields).
Table 5: Grid field observations and MegaCam/MegaPrime optical improvements.
Table 6: Landolt to MegaCam color transformation slopes and airmass correction terms.
Table 7: Landolt and MegaCam Magnitudes and colors of BD +17 4708 with their uncertainties.
Table 8: Night-to-night dispersion, number of nights and resulting statistical uncertainty for night sets 1 and 2.
Table 9: Aperture correction differences between the science and calibration exposures, in the sense science minus calibration exposures.
Table 10: Synthetic second order airmass corrections.
Table 11: Uncertainties on the grid reference colors and the associated max error affecting the grid pixels.
Table 12: Summary of the systematic uncertainties affecting the calibrated magnitudes and fluxes.
Table 13: Open transmission of the MegaCam imager (no filters).
Table D.1: Full covariance matrix of the BD +17 4708 MegaCam and Landolt magnitude uncertainties. See Sect. 10 for details.
Table D.2: Final covariance matrix of the uncertainties affecting (1) the differences between the tertiary MegaCam magnitudes and the MegaCam magnitudes of BD +17 4708 and (2) the Landolt magnitudes of BD +17 4708.
Table D.3: Covariance matrix of the uncertainties affecting the synthetic instrumental magnitudes of BD +17 4708.
Table 14: uM filter scan.
Table 15: gM filter scan.
Table 16: rM filter scan.
Table 17: iM filter scan.
Table 18: zM filter scan.
Table 19: Tertiary catalog for the SNLS field D1.
Table 20: Tertiary catalog for the SNLS field D2.
Table 21: Tertiary catalog for the SNLS field D3.
Table 22: Tertiary catalog for the SNLS field D4.
All Figures
![]() |
Figure 1: SDSS 2.5-m effective passbands, and MegaCam effective passbands at the center of the focal plane. The g' and i' SDSS passbands are slightly bluer than the corresponding MegaCam passbands. The central value of the SDSS r' and z' are very similar to those of their MegaCam counterparts. |
| Open with DEXTER | |
| In the text | |
![]() |
Figure 2: Value of the bright star Gaussian moments as a function of the radial distance to the focal plane center. Black circles: Gaussian moments, computed on a rM-band image, taken in 2003-10-31 (before the L3-flip). Red triangles: Gaussian moments, computed on a rM-band image of identical seeing (at the center of the focal plane), taken two years later on 2003-10-31. As can be seen, the uniformity of the image quality has been noticeably improved. |
| Open with DEXTER | |
| In the text | |
![]() |
Figure 3: Ratio of the flux computed in two apertures of different sizes (7.5 HWHM and 20 HWHM) as a function of the image quality computed for each CCD, for a set of rM-band images taken on 2003-10-01, when the PSF was not uniform over the focal plane. As can be seen, the ratio is not sensitive to the image quality, and hence, on the focal plane position. |
| Open with DEXTER | |
| In the text | |
![]() |
Figure 4:
Pixel area variations (i.e. square of the plate scale
variations) computed on the MegaCam focal plane. Each grid rectangle
corresponds to one CCD. CCD #0 is up left. CCD #35 is
down right. Each CCD has been divided into 4 |
| Open with DEXTER | |
| In the text | |
![]() |
Figure 5:
Top panel: normalized distribution of the
difference between the reconstructed and simulated
|
| Open with DEXTER | |
| In the text | |
![]() |
Figure 6:
Top panel: distribution of the difference
between the reconstructed and simulated |
| Open with DEXTER | |
| In the text | |
![]() |
Figure 7:
gM,
rM, iM-
and zM-band
|
| Open with DEXTER | |
| In the text | |
![]() |
Figure 8:
rM-band
|
| Open with DEXTER | |
| In the text | |
![]() |
Figure 9:
gM-,
rM, iM-
and zM-band
|
| Open with DEXTER | |
| In the text | |
![]() |
Figure 10: Residual non-uniformities measured on a set of grid exposures taken during semester 2004B, and processed with Elixir, using the photometric correction maps in use for releases T0004. |
| Open with DEXTER | |
| In the text | |
![]() |
Figure 11:
Difference between the iM
instrumental magnitude of stars located on the edge of the focal
plane (ccd # 9, 17, 18 and 26) as a
function of their (rM-iM) color
at the reference location. The large dots are the profile of the star
measurements, corrected for the
|
| Open with DEXTER | |
| In the text | |
![]() |
Figure 12: Comparison of the color terms measured on the grid data, with synthetic ones as a function of the distance to field center. The measurement points are averages at the quoted radius, with their error bars displaying the rms over the circle. The synthetic ones are computed by integrating the Pickles (1998) stellar library in the synthetic transmissions. The synthetic color terms depend only mildly on the color range and stellar types, except for the rM band, where the disagreement worsens with the Stritzinger et al. (2005) library. |
| Open with DEXTER | |
| In the text | |
![]() |
Figure 13: Average number of Landolt star observations per CCD, in the iM-band. CCD number 0 is top left, while CCD number 35 bottom right. Two to three stars per night and per band are observed on the central CCDs. On the other hand, often less than 0.5 (and even less than 0.1 for CCDs 27 to 35) star are observed on the CCDs located on the side of the focal plane. Hence, each CCD cannot be calibrated independently, and we have to rely on the uniformity maps to propagate the calibration to the entire focal plane. |
| Open with DEXTER | |
| In the text | |
![]() |
Figure 14: Upper panels: color-color plots considered in the gM, rM, iM and zM zero-point fits. The black points correspond to individual Landolt star measurements. The red points are the average of the calibrated measurements of a same star. The color-color transformations are modeled as piecewise-linear functions, with breaks at B-V = +0.45, V-R=+0.65, R-I=+0.40 and R-I=+0.35 in the gM, rM, iM and zM bands respectively. Lower panels: color-color plots residuals (average of each Landolt star's calibrated measurements only). |
| Open with DEXTER | |
| In the text | |
![]() |
Figure 15: gM, rM, iM and zM zero-point as a function of time. The zero-point evolution is classically due to dust accumulating in the optical path and the natural degradation of the mirror coating over time. We also indicate the main events (recoating, labeled ``[R]'', and washings ``[W]'') which affected the primary mirror during the three first years of the survey. The significant improvement observed around +200 days is due a mirror recoating (August 15th, 2003). The effect of two additional mirror cleanings, which took place on April 14th, 2004 and January 26th, 2005 are also clearly visible. The full MegaCam/MegaPrime history log is available at http://www.cfht.hawaii.edu/Instruments/Imaging/MegaPrime/megaprimehistory.html. |
| Open with DEXTER | |
| In the text | |
![]() |
Figure 16: Average number of measurements per tertiary standard (in percentage of the total number of good epochs) in the gM, rM, iM- and zM-bands, as a function of the tertiary standard magnitude. The efficiency drops we observe depend on the signal-to-noise cut applied during the object detection. These drops set the magnitude limits of the tertiary catalogs. The drop observed for small magnitude stars is mainly due to saturation. We keep all the bright stars, provided that they have more than 3 non-saturated measurements. |
| Open with DEXTER | |
| In the text | |
![]() |
Figure 17: Left: rM- iM versus gM- rM color-color plot of the tertiary standards (Uniform Magnitudes). The agreement between all fields is good, and the contamination of non-stellar objects seems to be very low. Right: a zoom on the blue branch of the same color-color plot, after subtraction of the mean slope. We see that the colors of all four fields agree at the percent level. |
| Open with DEXTER | |
| In the text | |
![]() |
Figure 18: Average random uncertainties as a function of the magnitudes for the SNLS DEEP fields, in the gM, rM, iM and zM-bands. |
| Open with DEXTER | |
| In the text | |
![]() |
Figure B.1:
MegaCam effective passbands at the center of the focal plane (filled)
and close to the sides of the focal plane (solid gray lines).
As discussed in Sect. 6,
the filters are bluer on the edges than at the center of the camera. We
also display the cumulative effect of the main ingredients of the
effective passbands: average quantum efficiency of the MegaCam
CCDs
|
| Open with DEXTER | |
| In the text | |
![]() |
Figure C.1: Difference to unity of ratios of fluxes measured in different duration exposures, as a function of peak flux. We deduce from this plot that star fluxes measured at the high end of the dynamic range are on average not altered by more than about one part in a thousand. The flux independent offsets can be attributed to e.g. unaccounted for aperture corrections or errors in the reported exposure times. |
| Open with DEXTER | |
| In the text | |
![]() |
Figure D.1:
Correlation matrix of the (statistical and systematic) uncertainties
affecting the
|
| Open with DEXTER | |
| In the text | |
![]() |
Figure F.1:
uM-band
grid maps. As can be seen, the uM filter
seems more uniform than the other band filters. Sharp variations can be
observed in the |
| Open with DEXTER | |
| In the text | |
![]() |
Figure F.2: Left: uM- gM versus gM- rM color-color plot of the tertiary standards. Right: a zoom on the 0.4 < uM- gM< 1.5 region of the color-color plot, after subtraction of the mean slope. We see that the uM- gM colors of the three D1-D3 fields agree within one percent. The origin of the systematic shift which affect the D4 colors is not clearly identified. |
| Open with DEXTER | |
| In the text | |
Copyright ESO 2009
Current usage metrics show cumulative count of Article Views (full-text article views including HTML views, PDF and ePub downloads, according to the available data) and Abstracts Views on Vision4Press platform.
Data correspond to usage on the plateform after 2015. The current usage metrics is available 48-96 hours after online publication and is updated daily on week days.
Initial download of the metrics may take a while.
![\begin{figure}
\par\includegraphics[width=8.5cm,clip]{12446f1}
\end{figure}](/articles/aa/full_html/2009/41/aa12446-09/Timg46.png)
![\begin{figure}
\par\includegraphics[width=8.5cm,clip]{12446f2}
\end{figure}](/articles/aa/full_html/2009/41/aa12446-09/Timg53.png)
![\begin{figure}
\par\includegraphics[width=8.5cm,clip]{12446f3}
\end{figure}](/articles/aa/full_html/2009/41/aa12446-09/Timg54.png)

![\begin{figure}
\par\includegraphics[width=7.5cm,clip]{12446f4}
\end{figure}](/articles/aa/full_html/2009/41/aa12446-09/Timg64.png)
![\begin{displaymath}%
m_{{\rm ADU}\vert{\vec x}} - m_{{\rm ADU}\vert{\vec x}_0} =...
...l[\ {\rm col}_{\vert{\vec x}_0} - {\rm col}_{\rm grid} \Bigr].
\end{displaymath}](/articles/aa/full_html/2009/41/aa12446-09/img82.png)
![\begin{figure}
\par\hspace*{3mm}\includegraphics[width=8.4cm,clip]{12446f5a}\vspace*{5mm}
\includegraphics[width=7.9cm,clip]{12446f5b}
\end{figure}](/articles/aa/full_html/2009/41/aa12446-09/Timg86.png)
![\begin{figure}
\par\hspace*{3mm}\includegraphics[width=8.4cm,clip]{12446f6a}\vspace*{5mm}
\includegraphics[width=7.7cm,clip]{12446f6b}
\end{figure}](/articles/aa/full_html/2009/41/aa12446-09/Timg87.png)
![\begin{figure}
\par\subfigure[$\delta {zp}_{g,g-r}({\vec x})$ ]{\includegraphics...
...{z,i-z}({\vec x})$ ]{\includegraphics[width=7cm,clip]{12446f7d} }
\end{figure}](/articles/aa/full_html/2009/41/aa12446-09/Timg91.png)
![\begin{figure}
\par\subfigure[$\delta {zp}_{r,r-i}({\vec x})\ \ (2003B)$ ]{\incl...
...vec x})\ \ (2006B)$ ]{\includegraphics[width=7cm,clip]{12446f8d} }\end{figure}](/articles/aa/full_html/2009/41/aa12446-09/Timg93.png)
![\begin{figure}
\par\subfigure[$\delta k_{g,g-r}({\vec x})$ ]{\includegraphics[wi...
...{z,i-z}({\vec x})$ ]{\includegraphics[width=7cm,clip]{12446f9d} }
\end{figure}](/articles/aa/full_html/2009/41/aa12446-09/Timg100.png)
![\begin{figure}
\par\includegraphics[width=7cm,clip]{12446f10}
\end{figure}](/articles/aa/full_html/2009/41/aa12446-09/Timg104.png)
![\begin{figure}
\par\includegraphics[width=8.5cm,clip]{12446f11}
\end{figure}](/articles/aa/full_html/2009/41/aa12446-09/Timg119.png)
![\begin{figure}
\par\includegraphics[width=8.8cm,clip]{12446f12}
\end{figure}](/articles/aa/full_html/2009/41/aa12446-09/Timg121.png)
![\begin{figure}
\par\includegraphics[width=8cm,clip]{12446f13}
\end{figure}](/articles/aa/full_html/2009/41/aa12446-09/Timg129.png)
![\begin{figure}
\par\subfigure[$g_M- V\ {\rm vs}.\ B-V$ ]{\includegraphics[width=...
... I\ {\rm vs}.\ R-I$ ]{\includegraphics[width=8cm,clip]{1244614d} }\end{figure}](/articles/aa/full_html/2009/41/aa12446-09/Timg143.png)
![\begin{figure}
\par\subfigure[$g_M$ ]{\includegraphics[width=8cm,clip]{1244615a}...
...}
\subfigure[$z_M$ ]{\includegraphics[width=8cm,clip]{1244615d} }\end{figure}](/articles/aa/full_html/2009/41/aa12446-09/Timg159.png)

![\begin{figure}
\par\includegraphics[width=8.8cm,clip]{12446f16}
\end{figure}](/articles/aa/full_html/2009/41/aa12446-09/Timg264.png)

![\begin{figure}
\par\subfigure[$r_M-i_M\ {\rm vs}. g_M-r_M$ ]{\includegraphics[wi...
...$\space (profile)]{\includegraphics[width=8cm,clip]{1244617b} }
\end{figure}](/articles/aa/full_html/2009/41/aa12446-09/Timg271.png)
![\begin{figure}
\par\includegraphics[width=16.5cm,clip]{12446f18}
\end{figure}](/articles/aa/full_html/2009/41/aa12446-09/Timg272.png)
![\begin{displaymath}%
E \left [ m_{{\rm ADU}\vert{\vec x}}(i,j) \right ] = {\vec D}_{ij}^{\rm T} {\vec p} + {\vec S}_i^{\rm T} {\vec M}
\end{displaymath}](/articles/aa/full_html/2009/41/aa12446-09/img316.png)










![\begin{figure}
\par\includegraphics[width=8cm,clip]{12446fb1}
\end{figure}](/articles/aa/full_html/2009/41/aa12446-09/Timg341.png)
![\begin{figure}
\par\includegraphics[width=7.5cm,clip]{12446fc1}
\end{figure}](/articles/aa/full_html/2009/41/aa12446-09/Timg349.png)
![\begin{figure}
\par\includegraphics[width=7.2cm,clip]{12446fd1}
\end{figure}](/articles/aa/full_html/2009/41/aa12446-09/Timg360.png)
![\begin{figure}
\par\subfigure[$\delta zp_{u,u-g}({\vec x})$ ]{\includegraphics[w...
...,u-g}({\vec x})$ ]{\includegraphics[width=6.5cm,clip]{12446f1b} }\end{figure}](/articles/aa/full_html/2009/41/aa12446-09/Timg364.png)
![\begin{figure}
\par\subfigure[$u_M-g_M\ {\rm vs}. g_M-r_M$ ]{\includegraphics[wi...
...r_M$\space (profile)]{\includegraphics[width=8cm,clip]{12446f2b} }\end{figure}](/articles/aa/full_html/2009/41/aa12446-09/Timg372.png)