Issue |
A&A
Volume 506, Number 3, November II 2009
|
|
---|---|---|
Page(s) | 1215 - 1228 | |
Section | Interstellar and circumstellar matter | |
DOI | https://doi.org/10.1051/0004-6361/200912602 | |
Published online | 03 September 2009 |
A&A 506, 1215-1228 (2009)
The propagation of the shock wave from a strong explosion in a plane-parallel stratified medium: the Kompaneets approximation
Universidad Nacional de La Plata, Facultad de Ciencias Astronómicas y Geofísicas, Paseo del Bosque, 1900 La Plata, Argentina
Received 29 May 2009 / Accepted 30 July 2009
Abstract
Context. Using certain simplifications, Kompaneets derived a
partial differential equation that states the local geometrical and
kinematical conditions that each surface element of a shock wave,
created by a point blast in a stratified gaseous medium, must satisfy.
Kompaneets could solve his equation analytically for the case of a wave
propagating in an exponentially stratified medium, obtaining the form
of the shock front at progressive evolutionary stages. Complete
analytical solutions of the Kompaneets equation for shock wave motion
in further plane-parallel stratified media were not found, except for
radially stratified media.
Aims. We aim to analytically solve the Kompaneets equation for
the motion of a shock wave in different plane-parallel stratified media
that can reflect a wide variety of astrophysical contexts. We were
particularly interested in solving the Kompaneets equation for a strong
explosion in the interstellar medium of the Galactic disk, in which,
due to intense winds and explosions of stars, gigantic gaseous
structures known as superbubbles and supershells are formed.
Methods. Using the Kompaneets approximation, we derived a pair
of equations that we call adapted Kompaneets equations, that govern the
propagation of a shock wave in a stratified medium and that permit us
to obtain solutions in parametric form. The solutions provided by the
system of adapted Kompaneets equations are equivalent to those of the
Kompaneets equation. We solved the adapted Kompaneets equations for
shock wave propagation in a generic stratified medium by means of a
power-series method.
Results. Using the series solution for a shock wave in a generic
medium, we obtained the series solutions for four specific media whose
respective density distributions in the direction perpendicular to the
stratification plane are of an exponential, power-law type (one with
exponent k=-1 and the other with k =-2) and a quadratic
hyperbolic-secant. From these series solutions, we deduced exact
solutions for the four media in terms of elemental functions. The exact
solution for shock wave propagation in a medium of quadratic
hyperbolic-secant density distribution is very appropriate to describe
the growth of superbubbles in the Galactic disk.
Key words: hydrodynamics - shock waves - Galaxy: disk - ISM: bubbles - ISM: supernova remnants
1 Introduction
The study of the dynamics of a non-uniform gaseous medium under the effects of an intense point explosion or impact is of great astrophysical interest. The exact theoretical formulation of the problem leads to a coupled system of governing partial differential equations for the fluid dynamics, which is usually so complicated that it must be integrated numerically by means of refined computational techniques. Nevertheless, Kompaneets (1960) found an analytic solution for a blast wave propagating in an exponentially stratified ambient medium under certain simplifying assumptions. The comparison with accurate numerical solutions shows that the analytic approach of Kompaneets works surprisingly well (see review by Bisnovatyi-Kogan & Silich 1995, and references therein). Alternative approaches to analyze the evolution of blast waves in a nonuniform medium confirm the Kompaneets results (Laumbach & Probstein 1969; Koo & McKee 1990).
The original motivation of the Kompaneets investigation was the description of the gas dynamics effects of a high energy nuclear explosion in the Earth's upper atmosphere. In an astrophysical context, a similar phenomenon is the explosion of a supernova (SN), which produces a strong shock wave in the interstellar medium (ISM). Various authors have investigated the evolution of SN remnants, using the Kompaneets solution (Gulliford 1974; Rosado 1981; Lozinskaya 1992; Maciejewski & Cox 1999). The Kompaneets solution has been used and adapted for application to various astrophysical phenomena: multiple supernovae and stellar winds from OB associations (Icke 1988; Basu et al. 1999; Dove et al. 2000; Spitoni et al. 2008), relativistic blast waves (Shapiro1979), active galaxy winds (Schiano1985), and impacts within the deep gaseous envelopes of giant planets (Korycansky 1992) and onto the Earth's surface (Newman et al. 1999).
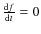
Bisnovatyi-Kogan & Silich (1995) provide a comprehensive review of astrophysical shock waves in which they present the different numerical and analytical methods, including the Kompaneets (1960) approximation, to address the problem of shock wave propagation in the nonuniform ISM. From the Rankine-Hugoniot conditions for the velocity of a strong shock front and the assumptions that: (a) the pressure behind the shock front is spatially uniform and depends only on time, and (b) each surface element of the shock front moves perpendicular to itself, Kompaneets (1960) derived a partial differential equation whose solution gives the shape and evolution of a shock front created by a strong point explosion in a static stratified medium. Kompaneets solved his equation analytically for the particular case of a shock front propagating in a plane exponential atmosphere, i.e. with a specific law of vertical stratification. Thus, we will use the term ``the Kompaneets solution'' for the analytic expression of the shape of a shock front and, by extension, of the shell of gas swept up by the shock front during its expansion through an exponential atmosphere.
The Kompaneets equation by which Kompaneets obtained his particular solution could be used in principle to solve analytically the wave propagation in different media from the exponential atmosphere. So far, the Kompaneets equation has only been solved for an exponential medium, excepting solutions for radially stratified media with a power-law density distribution (Korycansky 1992) and an asymptotic solution for a plane-parallel stratified medium with inverse-square decreasing density (Kontorovich & Pimenov 1998). Hence, our objective is to apply the Kompaneets approximation to plane-parallel stratified atmospheres with other density distributions.
Our primary motivation is the study of large-scale expanding structures in the ISM, known as supershells and superbubbles. These objects are envisaged as holes or cavities in the Galactic gaseous disk and have sizes from 100 to over 1000 pc (Heiles 1979; Dickey & Lockman 1990). The interstellar gas is concentrated strongly towards the Galactic plane. Hence, the gaseous disk of the Galaxy can be represented by stratified layers, parallel to the Galactic plane, whose densities decrease with the height above or below the Galactic plane. Since one of our aims is to obtain approximate formulae describing the evolution of supershells in the Galactic disk, we will apply the Kompaneets approximation to different stratified media that can represent the vertical density distribution of the Galactic disk (Dickey & Lockman 1990).
In Sect. 2, we outline the Kompaneets model, which is linked to the adoption of an exponential atmosphere as the medium of shock-wave propagation. In Sect. 3, we extend the Kompaneets model to address the problem of shock-wave propagation in a generic stratified atmosphere. In Sects. 4 and 5, we demonstrate that the general solution, obtained in a power series for the generic atmosphere, leads to exact solutions in terms of elemental functions when applied to certain specific atmospheres: with exponential (Sect. 4.1), power-law-type (Sects. 4.2 and 4.3) and sech2 (Sect. 5) density distributions. Finally, in Sect. 6 we give a summary and conclusions of this work.
2 The Kompaneets approximation
The method we delineate in this section and use throughout the paper is based on that developed originally by Kompaneets (1960) and must not be confused with the thin-shell (or layer) approximation, which is sometimes called by the same name (see Bisnovatyi-Kogan & Silich 1995, for a clear distinction between both methods).
We will study the evolution of a shock front referred to a cylindrical system
of coordinate (r,z), where z is perpendicular to the stratification
plane. In the Kompaneets model, the origin of the
coordinate system is located at the explosion position (or energy point
source). Since there is symmetry around the z-axis, we can omit the azimuthal
angle. Therefore the evolution of a shock front generated by a point
explosion can be represented by the
function
f(r,z,t)=0. The shock front surface in three dimensions at a given
time t is then obtained by rotating the closed curve
f(r,z,t)=0 around the z-axis.
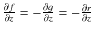
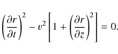
Since
,
we get
where









We assume that the equation f(r,z,t)=0 is solved for r as a function of z and t, i.e. r=g(z,t). Therefore f(r,z,t)=r-g(z,t)=0,


With Eq. (3) and

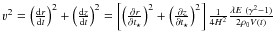
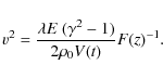
Assuming that the internal pressure of the bubble, P(t), dominates any external pressure, v is given by the Hugoniot relations for a strong shock,
where


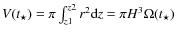
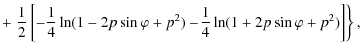
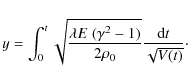
where E is the total energy of the explosion, V(t) is the volume enclosed by the blast wave, and

In order to simplify the problem, Kompaneets (1960) incorporated an auxiliary variable y defined by
Substituting Eq. (7) and transforming the time variable according to Eq. (8), Eq. (4) reduces to:
This is the fundamental equation obtained by Kompaneets (1960), who showed that Eq. (9) can be solved analytically by separation of variables for the case of an exponential atmosphere

where

3 Adapted Kompaneets' equations: a power-series method for solving them
The solutions of Eq. (9), as Eq. (10), describe the shape of a shock
front as a function of the time-like variable ,
but they say nothing about the
trajectories of the parts that form the surface of the shock
wave. It is useful to be able to determine the trajectories and velocities of
individual particles associated with the shock front.
The Kompaneets model describes the motion of the shock front,
formally representing the shock discontinuity as a mathematical surface
infinitesimally thin. Even though the dynamics of the rear disturbed gas
layer that accompanies the shock front is not analyzed in the Kompaneets
model, the trajectories of individual mathematical points of the shock
front (streamlines) can give an approximate idea of the associated gas-particle
trajectories.
Indeed, a complete solution for the particular case of a strong point
explosion in a homogeneous atmosphere, the Sedov (1959) solution,
demonstrates that most of the swept-up shocked ambient gas is concentrated
in a thin layer, just behind the shock front, and is moving at a velocity close to the
velocity of the shock front (for more details see Zel'dovich & Raizer
1968; Bisnovatyi-Kogan & Silich 1995).
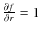
The trajectory or the so-called stream-line of each surface element of the
wave front can be
described by solutions in parametric form with
and
,
where
is the angle between the initial direction in which the
surface element moves from the
explosion point (i.e. at
)
and the
stratification plane. We will call
the angle of
departure, which determines the trajectory of the corresponding surface element.
The point explosion produces a supersonically expanding sphere of hot gas,
which acting as a piston, initially induces the formation of a concentric spherical shock front that
runs ahead into the undisturbed surrounding gas.
In other words, it is assumed
that at times close to
the wave front is spherical and expands
radially with uniform velocity. Hence
.
To obtain solutions in parametric form, we will adapt the
equations of the Kompaneets model outlined in Sect. 2.
We express the solutions in terms of the variables
and
.
We define
,
where y is is given
by Eq. (8) and H is the scale height of the density
distribution F(z). Hence
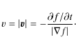
is a-dimensional. The velocity
components of a point of the shock front are now expressed by
and
.
According to Eq. (8) and the definition of
,
Therefore
,
and equating to
Eq. (7), we get
Equation (11) determines the modulus of




















The simultaneous solution of Eqs. (11) and (12), which we will call the adapted Kompaneets equations, provides

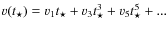
Table 1a: Coefficients ar (i,j) and br(i,j) of the power series for r, corresponding to a stratified medium with a generic density distribution F(z)a.

where rn and zn are functions of

Given F(z), the numerical values of the coefficients fn are naturally obtained from
![${f_{n}= \frac{H^{n}}{n!}} \frac{{\rm d}^{n} [F(0)^{-1}]}
{{\rm d}z^{n}}$](/articles/aa/full_html/2009/42/aa12602-09/img89.png)






c0 | = | c0(r1,z1)=0 | |
c1 | = | c1(r1,z1,r2,z2)=0 | |
![]() |
|||
cn | = | cn(r1,z1,..., rn+1,zn+1)=0, |
and
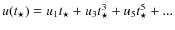
d1 | = | ![]() |
|
d2 | = | ![]() |
|
![]() |
|||
dn | = | ![]() |
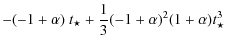
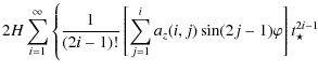
These relations allow us to determine (r2,z2), (r3,z3), (r4,z4) and so on as a function of (r1,z1), which is obtained from the initial conditions. Since the wave must be spherical for small



We see that the solutions for rn and zn are trigonometric polynomials. The coefficients rn with odd n are finite linear combinations of





A list of the coefficients ar(i,j), br(i,j), az(i,j) and bz(i,j) up to the terms of 8th order with respect to

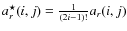
Table 1b:
Coefficients
az (i,j) and
bz (i,j) of
the power series for ,
corresponding to a stratified medium with
an arbritrary density distribution.
4 Exact analytical solutions of the adapted Kompaneets equations for the shock-wave propagation in the exponential and other specific atmospheres
We found exact analytical solutions of the adapted Kompaneets equations for media stratified with an exponential density distribution, and with power-law-type density distributions. These solutions are exact in the sense we should be able to reconstruct the solution functions from their power series. Although the stratification laws we consider here are certainly ideal, they can fit partly or approximately real environments.
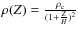
The density distribution of a stratified medium is generally expressed as a
function of the altitude, or Z-height, above the ground level or symmetry plane. On
the other hand, the Kompaneets model is referred to a local coordinate system,
whose origin is the explosion point. Therefore, we need to establish a relation
between both systems of reference. We choose the Z-axis, with the origin in the
plane of symmetry, and the z-axis, with the origin in the explosion point, lying along a
common line that passes through the
explosion point and is perpendicular to the plane of symmetry. Both positive axes
point in the same sense, toward decreasing density. Thus, the relation
between both variables is Z=z+Z0, where Z0 is the Z coordinate of the
explosion point. Now our problem is to find the density distribution with
respect to z, knowing the density distribution with respect to Z:
,
where
is the density in the ground level or
symmetry plane (i.e. the maximum density). According to the well-known
formula for the change of variables in distribution functions,
,
where in our particular case
and
hence
.
Remembering that
,
where
is the density in the explosion site, we have that
and that
The density distributions we use in this Section have in common the property that the transformation of Eq. (20) does not change the form of these distribution functions, except the value of the scale heights. In the case of the exponential distribution, even the scale height is the same after the transformation.
4.1 Media stratified with an exponential density distribution
We will apply the general solution provided by Eqs. (18) and (19)
to the particular case of an exponential atmosphere, where
.
The Taylor series expansion of F(z)-1 gives
,
whose comparison with
Eq. (15) indicates that
.
Inserting
these values of fn in their respective terms of the coefficients
ar(i,j),
br(i,j),
az(i,j) and
bz(i,j) given in
Tables 1a and 1b, we find that if
,
ar(i,j)=
br(i,j)=0, and if j= i,
ar(i,j)=(-1)i+1 (2 i-2)! and
br(i,j)=(-1)i+1
(2i-1)!. Besides,
az(i,j)=ar(i,j) for j= i,
bz(i,j)=-br(i,j-1) for j= i+1, and the remaining
coefficients are zero. With these values of
ar, br, ...,
Eqs. (18) and (19) take the simple form
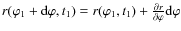
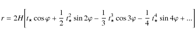
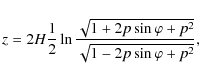
Analyzing the known formulas




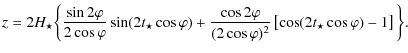
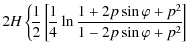
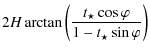
Therefore, Eqs. (23) and (24) give the exact parametric solution for an exponential density distribution. Applying the trigonometric identity




The shape of the orbit is determined by the initial launch angle

Putting
and
in Eq. (24),
we obtain the position of the top,
,
and
of the bottom of
the wave,
,
respectively. At
,
the top formally reaches infinity and the bottom
z=-1.39 H. In the Kompaneets model it is assumed implicitly
that the density distribution function F(z) holds for
.
However, in real
situations, we generally have more strict boundary conditions. An example is
the Galactic disk, whose density distribution can be represented by the double
exponential function
.
Hence, the Galactic
plane, Z=0, divides the space in two subspaces, each with its own density
distribution. If the explosion point is at the height Z0 above the
Galactic plane (i.e. in the upper semi-space, Z>0), the density distribution
with respect to Z, with the origin at the Galactic plane, is
,
where
is the density on the Galactic plane. In order to obtain the
density distribution with respect to z, as the Kompannets model
requires, we should replace
Z=Z0+z in
,
see Eq. (20). Since
,
the density at the
explosion site, F(z) does not depend on Z0 for this particular
distribution. We should however remember that if a part of the front moving
toward increasing densities crosses the Galactic plane (i.e. when
), the posterior evolution of this part of the front cannot be studied with the
Kompaneets model. A special case is that of Z0=0 in which we can
consider separately one half of a wave moving in the upper semi-space, toward
decreasing densities, and the other half of the wave moving in the lower
semi-space, also toward decreasing densities. Therefore in this case the evolution of the
wave front is symmetric with respect to the Galactic plane.
![]() |
Figure 1:
Evolution of the shock front produced by a point explosion in
a static exponential atmosphere. The solids curves show the shock front at
successive stages of evolution, represented by the sequence of |
Open with DEXTER |
In Fig. 1, we show the evolution of a shock wave propagating in an
exponential atmosphere of infinite extension and of extension limited by a
boundary plane below the explosion site (e.g. the Galactic plane). In the
example of Fig. 1, Z0=H and therefore the region between z=- H and
-1.39 H should be excluded from analysis. If the boundary plane is
beyond
z < -1.39 H (or
Z0> 1.39 H), this does not affect the
conditions of the Kompaneets model, that is to say, this case is equivalent
to that of an infinite atmosphere. In Fig. 2,
we show the evolution of the shock wave generated by a strong explosion in
the midplane of a double exponential disk. To draw the curves of
Figs. 1 and 2, we used the parametric representation given by Eqs. (23) and (24). Certainly, for this purpose, we could also use
Eqs. (10) and (25). The application of the solution
(Eqs. (23) and (24)) to the case of Fig. 2 requires some
care. Given the symmetry conditions, it is only necessary to calculate the
positions (r,z) of the points of the shock front in the first quadrant; the other positions
of the wave are obtained by (-r,z), (-r,-z) and (r,-z). We should take
into account that the points of low
cross the midplane. Equating
Eq. (24) to zero, we find
,
indicating that at certain
,
points of the shock front with
crossed the midplane. Hence, the first quadrant is defined
by
.
We assume that the interchange of
particles, associated with points of the shock front of low
,
between the upper and lower quadrants does not alter essentially the conditions of the
Kompaneets model.
![]() |
Figure 2:
Evolution of the shock front produced by a point explosion in
the central plane (Z=0) of a double exponential stratified medium. The burst
point is located at the coordinate origin. Each solid curve shows the shape
of the shock front at the value of the time-like parameter,
|
Open with DEXTER |
![]() |
Figure 3:
Form of the shock wave (solid curves) at various evolutionary stages
in a static gaseous medium with an initial density distribution given
by the law:
|
Open with DEXTER |
4.2 Media stratified with a power-law-type density
distribution:
We consider here an atmosphere with the density distribution
,
where Z is the height above the ground level (or
the symmetry plane),
is the density at the ground level and H the scale height. Applying
Eq. (20), the density distribution, normalized to the
density
at the explosion point as a function of the
height z referred to the explosion point is
,
where
,
a new scale height, and Z0is the height Z of the explosion point.
Comparing
with Eq. (15),
we have
f1=1 and fn=0 for
.
Substituting
these coefficients in Tables 1a and 1b, we get the numerical
values of
ar (i,j),
br (i,j),
az (i,j) and
bz (i,j) for this particular stratified medium, which are then
inserted in Eqs. (18) and (19). To operate on
Eq. (18), we can use the property
and
,
where T and U are the Chebyshev polynomials of the first and
second kind, respectively. We observe that the summation that represents the
coefficient of the power (2i-1) of
,
or of the power (2i),
becomes a polynomial of
whose terms are canceled except the terms with the two major powers
(i.e.
(2 i-1) and
(2 i-3)), namely:
for the odd powers of
,
and
for the even powers of
.
From Tables 1a
and 1b, we obtained
that
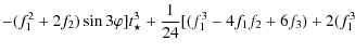
ar (i,i)= (-1)i+1,
ar (i,i-1)=(-1)i+1(2i-3),
br (i,i)=(-1)i+1 and
br(i,i-1)=
(-1)i+1(2i-2). Therefore,
Eq. (18) becomes
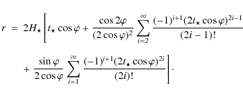
![\begin{eqnarray*}r &=& 2 {H_{\star}} \left [ t_{\star} \cos \varphi+ \frac{\cos ...
...1)^{i+1} (2
t_{\star}\cos \varphi)^{2i} }{(2i)!} \right ]\cdot
\end{eqnarray*}](/articles/aa/full_html/2009/42/aa12602-09/img167.png)
The first and second summations of this equation are easily identified with


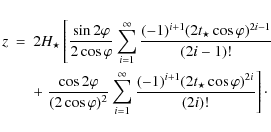
Proceeding in a similar manner with Eq. (19), we find that this equation is reduced to
![\begin{eqnarray*}z &=& 2 {H_{\star}} \left [ \frac{\sin 2 \varphi}{2
\cos \varp...
...-1)^{i+1} (2
t_{\star}\cos \varphi)^{2i} }{(2i)!} \right ]\cdot
\end{eqnarray*}](/articles/aa/full_html/2009/42/aa12602-09/img172.png)
Note that the first summation is identical to the expansion of


Using Eqs. (26) and (27), we plot the curves of Fig. 3 representing the propagation of a shock wave in the gaseous medium investigated here. We see that the solid (and in parts dotted) curves for













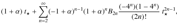
4.3 Media stratified with a power-law-type density distribution:
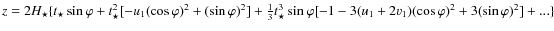
Here we consider an atmosphere with the density distribution
,
where Z is the height above the ground level (or
the symmetry plane),
is the density at ground level and H
the scale height. Applying
Eq. (20), the density distribution, normalized to the
density
at the explosion point, as a function of the
height z referred to the explosion point is
,
where
,
a new scale height, and Z0is the height Z of the explosion point. Hence
and comparing with Eq. (15) we
have that f1=2, f2=1, and fn=0 for
n>2. Replacing these values for the coefficients fn in Table 1a
and 1b, we obtain the values for ar,
br, az and bz. We find that
az(i,j)=ar(i,j),
bz(i,1)=0,
and
bz(i,j)=-br(i,j-1) for j>1. Table 2
displays the values of the coefficients ar and br, up to i=3,
with which we can also obtain the corresponding values of az and
bz.
Table 2:
Coefficients
ar (i,j) and
br (i,j) of
the power series for r, corresponding to a stratified medium with
a
law of density distribution in altitude.
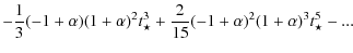
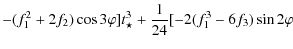
To gain some insight into the general solution, we first analyze the solution for the top of the
wave:
,
obtained by integrating Eq. (11), with r=0,
by separation of variables. Using the identity
,
we see that the general solution
for z can have the form:
since




![$z=2 {H_{\star} } [ t_{\star} \sin
\varphi - t_{\star}^{2} \cos 2\varphi- \frac{1}{3} t_{\star}^{3}(\sin \varphi + 3
\sin 3\varphi)+ ...]$](/articles/aa/full_html/2009/42/aa12602-09/img200.png)
![$z=2 {H_{\star} } \{ t_{\star} \sin
\varphi + t_{\star}^{2}[-u_{1} (\cos \varphi...
...arphi [-1-3 (u_{1}+ 2 v_{1} ) (\cos \varphi)^2 + 3
(\sin \varphi)^{2}] + ...\} $](/articles/aa/full_html/2009/42/aa12602-09/img201.png)






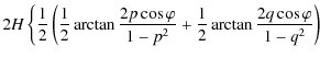
In order to find the analytical solution for r, we see that a analytical form for the solution, compatible with the solution in power-series derived from Eq. (18), can be:
where


The general solutions for r and z, Eqs. (31) and (29), satisfy the formula





with which we can easily verify that this equation fullfils the Kompaneets relation (Eq. (9)). Equations (31) and (29) also satisfy the following relation:
This shows that the orbits of the individual points are arcs of circles.
Figure 4 shows the evolution of the wave in the gaseous medium considered
in this Section, according to Eqs. (29) and (31), or
Eqs. (32) and (33). In the example of
Fig. 4, the offset of the explosion point from the ground level
or symmetry plane in the case of a disk is equal to
.
The lower limit
of the valid range of Eqs. (29) and (31) is the
ground level or plane of symmetry. The explanation of this is similar to that
given for the cases considered in Sects. 4.1 and 4.2. For the study of an
explosion on the symmetry plane, such as for example the Galactic plane, we can
employ Eqs. (29) and (31) following the procedure
detailed in Sect. 4.1, by means of which we generated Fig. 2.
The time that the wave takes to break out of this gaseous medium is formally infinity
(i.e.
), as in the case discussed in the previous section.
![]() |
Figure 4:
Form of the shock wave (solid curves) at various evolutionary stages
in a static gaseous medium with an initial density distribution given
by the law:
|
Open with DEXTER |
Table 3:
Coefficients
and
of
the power series for r, corresponding to a stratified medium with
a
density distribution.
5 Exact analytical solution of the adapted Kompaneets equations for
the shock-wave propagation in a medium stratified with a
density distribution
The density distribution we consider here is particularly appropriate to model the Z-distribution of the ISM.
Assuming that the stars and gas in the Galactic disk are isothermal and
self-gravitating, and solving the Poisson equation in hydro-dynamical
equilibrium, Spitzer (1942) obtained a quadratic hyperbolic-secant law for
the dynamical z-distribution of stars and ISM (see also Rohlfs 1977). Hence, the gas density
distribution of the Galactic disk can be represented by
where


![$F(z)= [\cosh~ (z/{H})+ \alpha \sinh~
(z/{H})]^{-2}$](/articles/aa/full_html/2009/42/aa12602-09/img253.png)


where






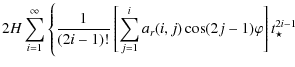
Now we proceed to find the functions that reproduce the power series expansion
of Eqs. (35) and (36). A guide is the trajectory
of the upper point of the shock wave, which is linear (
and
always r=0) and can be easily determined integrating Eq. (11) by the
method of separation of variables. Assuming for simplicity that
,
i.e. an explosion in the Galactic plane, the result is:
.
Using the identity
,
and since
in this particular solution, we can guess that the solution for any
is
where







where



where


![$\frac{2 (-1)^{ {i}+1}}{ 2 {i} -1}
(\frac{1}{2}[(1+\alpha)^{ {i}}+(1-\alpha)^{ {i}}]$](/articles/aa/full_html/2009/42/aa12602-09/img279.png)





If


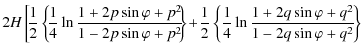
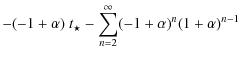
We assume that p and q have the form:




where Bn are the Bernoulli numbers. Equations (40) and (41), arrayed to show the symmetry of the solutions, can be written in simplified form as:
Equation (44) was obtained simplifying Eq. (41) by means of the identity



![]() |
Figure 5:
Shock wave propagating in a static gaseous medium with
|
Open with DEXTER |
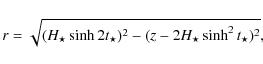
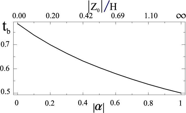
The time
at which the bubble created by the shock wave blows out of
the disk is here denoted by tb. In Fig. 6, we plot tb as a
function of
or Z0/H.
Equation (45) shows that, for
,
z of the top of the
wave (
)
tends to infinity when p=1 and, for
and
,
when q=1. Then equating Eq. (42) or
Eq. (43) to 1 and solving for
,
we obtain tb. If
,
an explosion in the midplane, then
and hence
tb=0.78.
![]() |
Figure 6:
Dependence of the blow out time tb with |
Open with DEXTER |
We can eliminate from Eqs. (44) and (45) the
and
functions and obtain the canonical equation of
the surface of the wave as a function of time. Because this general equation
is rather complicated and has little practical value, we do not give
it here. However, it is instructive to obtain this equation for a particular
case, viz., when the explosion occurs in the symmetry plane, i.e.
.
Here
and Eqs. (44)
and (45) are simplified. Solving Eq. (45) for
and Eq. (44) for
,
and using the identity
,
we get
It is easy to verify that Eq. (46) satisfies the Kompaneets equation (Eq. (9)). Eliminating


![]() |
Figure 7:
Evolution of a strong shock wave originated
by a point explosion in the midplane of a disk with a
|
Open with DEXTER |
Table 4: Synopsis of the basic equations that characterize the studied gas media and the propagation of a shock wave within thema.
6 Summary and conclusions
In the light of the Kompaneets approximation, we were able to find analytical solutions for the propagation of a shock wave in different stratified media. We considered four plane-parallel stratified media, including the barometric atmosphere adopted in the Kompaneets model, whose density-distribution laws are summarized in Table 4. We adapted the Kompaneets equations that govern the propagation of the wave in order to obtain solutions in parametric form (Col. 3 of Table 4). The adapted Kompaneets equations were solved via an analytical approach based on a power-series method, and the exact functions that reproduce the power-series solutions were identified.
Though the problem was initially posed for the case of a point explosion in which all of the kinetic energy is released to the environment almost instantaneously, our solutions can be also apply to the case of continuous injection of energy (Schiano 1985; Basu et al. 1999). Note that Eq. (8) admits a function of time for the energy that the source releases. Thus, in an astrophysical context, our solutions permit us to study the evolution of a bubble created by a supernova explosion, as well as that of a bubble insufflated by stellar winds and/or multiple explosions.
Out of the four considered media, the medium of the sech2 Z density distribution is the most appropriate one to represent the overall vertical distribution of the ISM in the Galactic disk. There are dynamical reasons (Spitzer 1942; Rohlfs 1977) and observational ones (Dickey & Lockman 1990; Marshall et al. 2006) that favor the election of the quadratic hyperbolic-secant distribution for galactic studies. The sech2 Z goes over into the Gaussian for small Z, and for large Z, declines slower that the Gaussian. On the other hand, the use of the sech2 Zdistribution permitted us to find, in the framework of the Kompaneets approximation, the most general solution for the propagation of a shock wave in a medium such as the Galactic disk, without having to numerically solve the complete system of hydrodynamic equations. Therefore the solution derived from the Kompaneets approximation (the bottom row of Table 4) is an important tool for studying Galactic shells and supershells (Heiles 1979), originating in stellar energy sources as well as impacts of high-velocity clouds on the Galactic disk (Tenorio-Tagle 1980, 1981; Olano 2004, 2008).
If a shell reaches radii larger than the scale height of the Galactic gaseous disk (see Figs. 5 and 7), we can call it a supershell or shell of a superbubble. By the time of the blow out, the internal pressure of a superbubble drops to a very low value and other forces begin to dominate the motion of the associated supershell. The gravity restoring force in the Z-direction, the differential rotation of the Galactic disk and the resistive forces due to the interaction of the expanding supershell with the surrounding ISM govern the later evolutionary stages of the supershell (e.g. Olano 1982). The solutions obtained from the Kompaneets approximation can give not only the shape of the supershell at a certain time, but also the velocity and column density for each piece of the supershell's surface (see Appendix B). Then these calculations can provide the initial conditions to model the later evolutionary stages of these superstructures. The application of other approximate analytical methods (e.g. Hnatyk & Petruk 1999), of the thin-shell approximation (e.g. Mac Low & McCray 1988; Silich 1992) and of the full numerical calculations (e.g. Mac Low et al. 1989) to the shock wave propagation in each of the stratified media we studied here by means of the Kompaneets approximation, would permit us to make an interesting comparative study.
AcknowledgementsI dedicate this work to the memory of Dr. F. Raúl Colomb (1939-2008), one of the pioneers of the radioastronomy and space activities in Argentina, with who I shared an interest in astronomical theories of terrestrial catastrophism. My thanks to the anonymous referee for helpful comments which helped me to improve the manuscript. Part of this work was supported by the Consejo Nacional de Investigaciones Científicas y Técnicas (CONICET) project number PIP112-200801-0248.
Appendix A: calculation of the coefficients of the power series
The conditions that cn=0 and dn=0 allow us to obtain the
solutions for
and
(see
Sect. 2). The explicit expressions of the coefficients c 0 and d1are:
c 0=r12+ z12-4 H2=0 and
,
which are satisfied by the following
solution,
The following pair of coefficients c 1 and d2 are given by c 1=r1 r2+z1(-f1 H+z2)=0 and

and hence,
Replacing Eqs. (A.2), (A.3) and (A.1) in d2, then we have


Repeating the procedure for c 2=4 r22+6 r1r3 -4 f2z12 - 4 f1 H z2+ 4 z22 + 6 z1 z3=0 and

Appendix B: Applications of the solutions
As a consequence of the propagation of a shock front, a thin shell of material
swept from the surrounding gaseous medium is formed just behind the shock front. Hence,
given an observed structure that can be interpreted as a shell enclosing a
cavity we can apply our solutions to it.
Having specified the gaseous medium in which the shell is
immersed, the shape
of the shell is completely described in terms of the dimensionless parameter
.
Fitting the theoretical shape of the shell to the observed shape,
one obtains
and even the age t of the shell (if one has
estimates for the energy E of the explosion, the density near the
explosion site
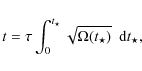
and the scale height H of the medium ). Inverting the transformation of
Eq. (8) and recalling that we defined
,
we can obtain the elapsed time t as a function of
.
The total volume included inside the shell can be written
,
where
Hence Eq. (8) implies that
and
where

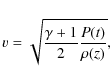
The velocity of a point of the shock front
,
as obtained from the formulae of the chosen atmosphere
(Col. 3 of Table 4), is expressed in units of length/time
by means of
,
where
,
in accordance with
Eq. (B.1).
The relation between the velocity of a
surface element of the shock front and the mean velocity of the
disturbed gas behind this part of the shock front is not considered in the
Kompaneets model. However,
we can say from general considerations that in
the adiabatic phase and even more in the radiative phase,
when the associated shell
of shocked gas cools radiatively and becomes thinner, the mean gas velocity of
a part of the shell tends to be equal to the velocity of the associated
part of the shock front (Bisnovatyi-Kogan & Silich 1995).
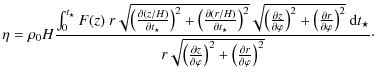
Our formulae permit us also to calculate the column
density
for each point and evolutionary stage of
the shell.
The increment of the mass
accumulated by an element of surface dA of the front moving along a differential of path,
,
along the orbit characterized by
is
.
Although
has always the same number of streamlines, the area of
increases
with time because of the divergence of the streamlines. The vector
is perpendicular to the velocity vector
(see Sect. 2). Hence, the length of the sides
of
lying between the streamlines
and
is
.
The length of the other two sides
of
,
lying between the azimuthal angles
and
,
is
.
Therefore the columnar density on each element of surface of the shell, defined by
,
is given by
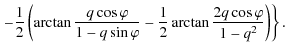
The integral of Eq. (B.3) can be solved analytically with the solutions for a shell formed in an atmosphere of a power-law density distribution (Sects. 4.2 and 4.3). Using the limaçon of Pascal as an approximation to the equation of the surface of the shell (see Sect. 4.2),









![${\rm d}m= \rho_{0} {H_{\star}} [ -(\sec^{2}
\varphi) \arctan(\sec \varphi \sinh...
...h 2 t_{\star} -\varphi \sec^{2} \varphi + 2
\sinh ^{2} t_{\star} \tan \varphi ]$](/articles/aa/full_html/2009/42/aa12602-09/img380.png)





![]() |
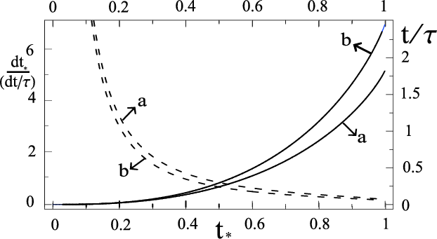
Figure B.1:
Relationship between |
Open with DEXTER |
![]() |
Figure B.2:
Relationship between |
Open with DEXTER |
![]() |
Figure B.3:
Relationship between |
Open with DEXTER |
We will now proceed to evaluate numerically the integrals of Eqs. (B.1) and
(B.3) with the
solutions for the evolution of shells formed within atmospheres with
exponential and sech2 density distributions (see Sects. 4.1 and 5).
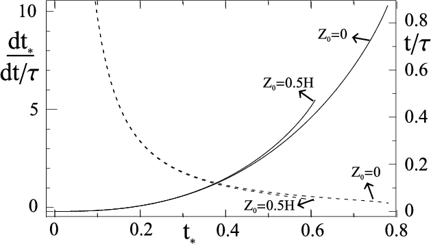
Thus we derive the curves of Figs. B.1 and B.3, relating
to
and to
.
For the case ``b'' of
Fig. B.1, the lower limit of integration is zero and the result of
this integration is multiplied by 2. Transforming
into t by
means of the curves of Fig. B.1, we find that the sequence of
configurations represented in Figs. 1 and 2,
corresponding to the set
,
have the ages
and
,
respectively. From the
curves of Fig. B.3, we get that the stages of evolution represented by
(Fig. 5) and
(Fig. 7) have the ages
and
,
respectively. Solving numerically the integral in Eq. (B.4),
we can estimate in units of
the column densities on the surface of
a swept-up shell that
evolved in a medium with exponential (Fig. B.2) and with
sech2 density distribution (Fig. B.4) to a
certain stage
.
![]() |
Figure B.4:
Column density (in units of
|
Open with DEXTER |
References
- Basu, S., Johnstone, D., & Martin, P. G. 1999, ApJ, 516, 843 [NASA ADS] [CrossRef]
- Bisnovatyi-Kogan, G., & Silich, S. 1995, Rev. Mod. Phys., 67, 611 [NASA ADS] [CrossRef]
- Dickey, J. M., & Lockman, F. J. 1999, ARA&A, 28, 215 [NASA ADS] [CrossRef]
- Dove, J. R., Shull, J. M., & Ferrara, A. 2000, ApJ, 531, 846 [NASA ADS] [CrossRef]
- Gradshteyn, I. S., & Ryzhik, I. M. 2000, Table of Integrals, Series, and Products, 7th edition, ed. A. Jeffrey, & D. Zwillinger (Academic Press, Elsevier)
- Gulliford, P. 1974, Ap&SS, 31, 241 [NASA ADS] [CrossRef]
- Heiles, C. 1979, ApJ, 229, 533 [NASA ADS] [CrossRef]
- Hnatyk, B., & Petruk, O. 1999, A&A, 344, 295 [NASA ADS]
- Icke, V. 1988, A&A, 202, 177 [NASA ADS]
- Kompaneets, A. S. 1960, Dokl. Akad. Nauk. SSSR, 130, 1001 [Soviet Phys. Dokl, 5, 46 (1960)]
- Kontorovich, V. M., & Pimenov, S. F. 1998 [arXiv:astro-ph/9802149v1]
- Koo, B. C., & McKee, C. F. 1990, ApJ, 354, 513 [NASA ADS] [CrossRef]
- Korycansky, D. G. 1992, ApJ, 398, 184 [NASA ADS] [CrossRef]
- Laumbach, D. D., & Probstein, R. F. 1969, J. Fluid Mech, 35, 53 [NASA ADS] [CrossRef]
- Lozinskaya, T. 1992, Supernovae and Stellar Winds in the Interstellar Medium (New York: AIP)
- Maciejewski, W., & Cox, D. P. 1999, ApJ, 511, 792 [NASA ADS] [CrossRef]
- Mac Low, M.-M., & McCray, R. 1988, ApJ, 324, 776 [NASA ADS] [CrossRef]
- Mac Low, M.-M., McCray, R., & Norman, M. L. 1989, ApJ, 337, 141 [NASA ADS] [CrossRef]
- Marshall, D. J., Robin, A. C., Reylé, C., Schultheis, M., & Picaud, S. 2006, A&A, 453, 635 [NASA ADS] [CrossRef] [EDP Sciences]
- Newman, W. I., Symbalisty, E. M. D., Ahrens, T. J., & Jones, E. M. 1999, Icarus, 138, 224 [NASA ADS] [CrossRef]
- Olano, C. A. 1982, A&A, 112, 195 [NASA ADS]
- Olano, C. A. 2004, A&A, 423, 895 [NASA ADS] [CrossRef] [EDP Sciences]
- Olano, C. A. 2008, A&A, 485, 457 [NASA ADS] [CrossRef] [EDP Sciences]
- Rohlfs, K. 1977, Lectures on Density Wave Theory, Lecture Notes in Physics (Springer-Verlag), 69
- Rosado, M. 1981, ApJ, 250, 222 [NASA ADS] [CrossRef]
- Schiano, A. V. R. 1985, ApJ, 299, 24 [NASA ADS] [CrossRef]
- Sedov, L. I. 1959, Similarity and Dimensional Methods in Mechanics (New York: Academic)
- Shapiro, P. R. 1979, ApJ, 233, 831 [NASA ADS] [CrossRef]
- Silich, S. A. 1992, Ap&SS, 195, 317 [NASA ADS] [CrossRef]
- Spitoni, E., Recchi, S., & Matteucci, F. 2008, A&A, 484, 743 [NASA ADS] [CrossRef] [EDP Sciences]
- Spitzer, L. Jr. 1942, ApJ, 95, 329 [NASA ADS] [CrossRef]
- Tenorio-Tagle, G. 1980, A&A, 86, 61 [NASA ADS]
- Tenorio-Tagle, G. 1981, A&A, 94, 338 [NASA ADS]
- Zel'dovich, Ya. B., & Raizer, Yu. P. 1968, Physics of Shock Waves and High-Temperature Hydrodynamic Phenomena (New York: Academic)
Footnotes
All Tables
Table 1a: Coefficients ar (i,j) and br(i,j) of the power series for r, corresponding to a stratified medium with a generic density distribution F(z)a.
Table 1b:
Coefficients
az (i,j) and
bz (i,j) of
the power series for ,
corresponding to a stratified medium with
an arbritrary density distribution.
Table 2:
Coefficients
ar (i,j) and
br (i,j) of
the power series for r, corresponding to a stratified medium with
a
law of density distribution in altitude.
Table 3:
Coefficients
and
of
the power series for r, corresponding to a stratified medium with
a
density distribution.
Table 4: Synopsis of the basic equations that characterize the studied gas media and the propagation of a shock wave within thema.
All Figures
![]() |
Figure 1:
Evolution of the shock front produced by a point explosion in
a static exponential atmosphere. The solids curves show the shock front at
successive stages of evolution, represented by the sequence of |
Open with DEXTER | |
In the text |
![]() |
Figure 2:
Evolution of the shock front produced by a point explosion in
the central plane (Z=0) of a double exponential stratified medium. The burst
point is located at the coordinate origin. Each solid curve shows the shape
of the shock front at the value of the time-like parameter,
|
Open with DEXTER | |
In the text |
![]() |
Figure 3:
Form of the shock wave (solid curves) at various evolutionary stages
in a static gaseous medium with an initial density distribution given
by the law:
|
Open with DEXTER | |
In the text |
![]() |
Figure 4:
Form of the shock wave (solid curves) at various evolutionary stages
in a static gaseous medium with an initial density distribution given
by the law:
|
Open with DEXTER | |
In the text |
![]() |
Figure 5:
Shock wave propagating in a static gaseous medium with
|
Open with DEXTER | |
In the text |
![]() |
Figure 6:
Dependence of the blow out time tb with |
Open with DEXTER | |
In the text |
![]() |
Figure 7:
Evolution of a strong shock wave originated
by a point explosion in the midplane of a disk with a
|
Open with DEXTER | |
In the text |
![]() |
Figure B.1:
Relationship between |
Open with DEXTER | |
In the text |
![]() |
Figure B.2:
Relationship between |
Open with DEXTER | |
In the text |
![]() |
Figure B.3:
Relationship between |
Open with DEXTER | |
In the text |
![]() |
Figure B.4:
Column density (in units of
|
Open with DEXTER | |
In the text |
Copyright ESO 2009
Current usage metrics show cumulative count of Article Views (full-text article views including HTML views, PDF and ePub downloads, according to the available data) and Abstracts Views on Vision4Press platform.
Data correspond to usage on the plateform after 2015. The current usage metrics is available 48-96 hours after online publication and is updated daily on week days.
Initial download of the metrics may take a while.