Free Access

 

 

Table 4:

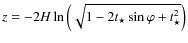
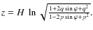
Synopsis of the basic equations that characterize the studied gas media and the propagation of a shock wave within thema.
$\rho (Z)=$ $\frac{\rho (z)}{\rho_{0}}= F(z)=$ Solutions for the shock-wave motion Blow-out time tb
$\rho_{\rm c} \exp~ (-Z/ {H})$ $\exp~ (-z/{H})$ $r= 2
{H} \arctan \left( \frac{t_{\star} \cos \varphi}{1-t_{\star} \sin
\varphi} \right)$ 1.0
    $z= - 2 {H} \ln \left(\sqrt{ 1-2 t_{\star} \sin \varphi +
t_{\star}^2}\right)$  
for $ 0\leq Z \leq \infty$ for $ -Z_{0}\leq z \leq \infty$ for $ -Z_{0}\leq z \leq \infty$  
$\frac{\rho_{\rm c}}{ (1+\frac{Z}{{H}})}$ $\frac{1}{
(1+\frac{z}{{H_{\star}}})}$ $r = 2 {H_{\star}} \big \{ t_{\star} \cos \varphi+ \frac{\cos 2 \varphi}{(2
\co...
... } \left[ \sin (2
t_{\star} \cos \varphi)- 2
t_{\star} \cos \varphi)\right ] + $ $\infty $
  where $ {H_{\star}=H}+Z_{0}$ $ \frac{\sin \varphi}{2 \cos \varphi} \left [1- \cos (2
t_{\star} \cos \varphi ) \right ] \big \}$  
    $ z = 2 {H_{\star}} \big \{ \frac{\sin 2 \varphi}{2
\cos \varphi } \sin (2
t_{\...
...}{(2 \cos \varphi)^{2}} \big [\cos (2
t_{\star} \cos \varphi)-1\big ] \big \}. $  
for $ 0\leq Z \leq \infty$ for $ -Z_{0}\leq z \leq \infty$ for $ -Z_{0}\leq z \leq \infty$  
$\frac{\rho_{\rm c}}{(1+\frac{Z}{H})^{2}}$ $\frac{1}{
(1+\frac{z}{\rm {H_{\star}}})^{2}}$ $r= {H_{\star}} \frac{\cos
\varphi}{\coth 2 t_{\star} - \sin~ \varphi}$ $\infty $
  where $ {H_{\star}=H}+Z_{0}$ $z= {H_{\star}} \frac{2
\sin
\varphi - \cos^{2}\varphi ~~ \sinh 2 t_{\star} }{\coth~ t_{\star} -
\sin \varphi + \cos^{2}\varphi ~~ \sinh 2 t_{\star} } $  
for $ 0\leq Z \leq \infty$ for $ -Z_{0}\leq z \leq \infty$ for $ -Z_{0}\leq z \leq \infty$  
$\rho_{\rm c}~ {\rm sech }^{2} ~(Z/ {H})$ $ [\cosh~ (z/{H})+ \alpha \sinh~
(z/{H})]^{-2}$ $r= {H} ~\arctan \frac{
(p + q) \cos
\varphi}{1 - p~ q - (p - q) \sin\varphi} $ 0.5-0.78
  where $\alpha= \tanh~ (Z_{0}/{H})$ $ z= {H}~ \ln \sqrt{\frac{1+ 2 q \sin \varphi
+ q^{2}}{1- 2 p \sin \varphi + p^{2}} }.$  
    where $p=(1+\alpha)~ t_{\star}+{\sum_{n=2}^{\infty} (-1+\alpha)^{n-1}
(1+\alpha)^{n}} B_{2n} {\frac{(-4^{n})(1-4^{n})}{(2
n)!}}~t_{\star}^{2n-1}$  
    and, $q= -(-1+\alpha)~ t_{\star}-{\sum_{n=2}^{\infty} (-1+\alpha)^{n}
(1+\alpha)^{n-1}} B_{2n}{ \frac{(-4^{n})(1-4^{n})}{(2
n)!}}~t_{\star}^{2n-1}.$  
for $-\infty\leq Z \leq \infty$ for $ -\infty\leq z \leq \infty $ for $ -\infty\leq z \leq \infty $  

a Density distribution of the plane-parallel stratified medium, with respect to a Z axis (Col. 1) and to a z axis (Col. 2). The z and Z axes are along the line that passes through the explosion point and is perpendicular to the stratification plane. The origin of Z-axis lies on the plane of maximum gas density $\rho_{\rm c}$ or symmetry plane, e.g. the Galactic plane. Both positive axes point in the same sense, toward decreasing densities. We denote the Z-position (or altitude) of the explosion point by Z0, origin of the z axis. The positions (r, z) of the wave, given by the parametric equations (Col. 3), are referred to the cylindrical coordinate system (r, z) with origin in the explosion point and symmetry around the z-axis. The valid range for each function is given.


Source LaTeX | All tables | In the text

Current usage metrics show cumulative count of Article Views (full-text article views including HTML views, PDF and ePub downloads, according to the available data) and Abstracts Views on Vision4Press platform.

Data correspond to usage on the plateform after 2015. The current usage metrics is available 48-96 hours after online publication and is updated daily on week days.

Initial download of the metrics may take a while.