| Issue |
A&A
Volume 513, April 2010
|
|
|---|---|---|
| Article Number | L10 | |
| Number of page(s) | 8 | |
| Section | Letters | |
| DOI | https://doi.org/10.1051/0004-6361/201014330 | |
| Published online | 29 April 2010 | |
LETTER TO THE EDITOR
XMMU J100750.5+125818: a strong lensing cluster at z = 1.082
,
,![[*]](/icons/foot_motif.png)
A. D. Schwope1 - G. Lamer1 - A. de Hoon1 - J. Kohnert1 - H. Böhringer2 - J. P. Dietrich3 - R. Fassbender2 - J. Mohr4,2,5 - M. Mühlegger2 - D. Pierini2 - G. W. Pratt6,2 - H. Quintana7 - P. Rosati8 - J. Santos9 - R. Suhada2
1 - Astrophysikalisches Institut Potsdam, An der Sternwarte 16, 14482 Potsdam, Germany
2 - Max-Planck-Institut für Extraterrestrische Physik, 85748 Garching, Germany
3 - Physics Department and Michigan Center for Theoretical Physics,
University of Michigan, 450 Church St, Ann Arbor, MI 48109-1040, USA
4 - Department of Physics, Ludwig-Maximilians-Universität, Scheinerstraße 1, 81679 Munich, Germany
5 - Excellence Cluster Universe, Boltzmannstr. 2, 85748 Garching, Germany
6 - Laboratoire AIM, IRFU/Service d'Astrophysique - CEA/DSM - CNRS
- Université Paris Diderot, Bât. 709, CEA-Saclay, 91191 Gif-sur-Yvette
Cedex, France
7 - Departamento de Astronomia y Astrofisica, Pontificia Universidad Catolica de Chile, Casilla 306, Santiago, 22, Chile
8 - European Southern Observatory, Karl-Schwarzschild-Strasse 2, 85748 Garching, Germany
9 - INAF - Osservatorio Astronomico di Trieste, via Tiepolo 11, 34131 Trieste, Italy
Received 26 February 2010 / Accepted 1 April 2010
Abstract
We report on the discovery of the X-ray luminous
cluster XMMU J100750.5+125818 at redshift 1.082 based on
19 spectroscopic members. The cluster displays several strong
lensing features. SED modeling of the lensed arc features from
multicolor imaging with the VLT and the LBT reveals likely redshifts
2.7
for the most prominent of the lensed background galaxies. Mass
estimates are derived for different radii from the velocity dispersion
of the cluster members,
1014
,
from the X-ray spectral parameters,
1014
,
and the largest lensing arc,
1013
.
The projected spatial distribution of cluster galaxies appears to be
elongated, and the brightest galaxy lies off center with respect to the
X-ray emission, indicating a not yet relaxed structure.
XMMU J100750.5+125818 offers excellent diagnostics of the inner
mass distribution of a distant cluster with strong and weak lensing,
in combination with optical and X-ray spectroscopy.
Key words: galaxies: clusters: individual: XMMU J100750.5+125818 - X-rays: galaxies: clusters
1 Introduction
A crucial prerequisite using clusters of galaxies for cosmological
studies is knowing the scaling relations between cluster mass and an
observable proxy, such as X-ray luminosity or X-ray gas temperature.
These relations must be calibrated at varying redshifts, using
theoretical modeling and hydrosimulations or simply empirical
relations. Clusters at low and intermediate redshifts are bright enough
in X-rays to measure the total gravitating mass by deprojecting their
temperature and density profiles. This is currently difficult for
clusters beyond z
1 and subject to large statistical errors (e.g. Rosati et al. 2004).
In this high-redshift regime, independent mass estimates based on
gravitational lensing (both in the weak and the strong regimes) have
long been invoked as the most effective method for calibrating cluster
masses. In particular, mass measurements based on multiple
strong-lensing features are highly robust. Although such measurements
are only possible in the central region of a cluster, they are
independent of model asssumptions and can help to break the mass-sheet
degeneracy of parameter-free weak-lensing mass-reconstructions.
To obtain a well-defined sample of clusters at high redshift, z > 0.8, we started the XDCP (XMM-Newton Distant Cluster Project, Mullis et al. 2005; Böhringer et al. 2005; Fassbender et al. 2008) based on archival XMM-Newton X-ray data. The XDCP has been very successful, so far providing 18 clusters at z>0.8 and 10 clusters with z>1 including five redshift confirmations from other projects (for selected results see e.g. Rosati et al. 2009; Santos et al. 2009; Fassbender et al. 2008).
Here we report the discovery of a distant strong-lensing cluster of galaxies at redshift z=1.082 that shows a giant arc and other arc-like features interpreted as the gravitationally lensed images of more distant, background objects. We study the properties of the lensing cluster and the lensed galaxies on the basis of available optical and X-ray imaging and spectroscopy.
Throughout this paper we use a standard
CDM cosmology with parameters H0=71 km s-1 Mpc-1,
,
and
,
which gives a scale of 8.188 kpc arcsec-1 at redshift 1.082. All magnitudes in this paper are given in the AB system.
|
Figure 1: ( Left) UBVR image of the field around 1007 indicating X-ray contours and tentatively identified lensing features. The cross indicates the X-ray position and the square the size of the color image shown to the right. (Right) Color composite of the central region of 1007 with mean (Rz)V(UB) images in the RGB channels. North is at the top and east to the left in both frames. |
| Open with DEXTER | |
2 Observations, analysis, and results
2.1 XMM-Newton X-ray observations
XMMU J100750.5+125818 (hereafter 1007) was found serendipitously as an extended X-ray source in our systematic search for distant clusters of galaxies. The cluster candidate was detected in a field with a nominal exposure time of 22.2 ks at an off-axis angle of 11.7' (OBSID: 0140550601). Following Pratt & Arnaud (2003), time intervals with high background were excluded by applying a two-step flare-cleaning procedure, first in a hard energy band (10-14 keV) and subsequently in the 0.3-10 keV band, after which 21.4 ks of clean exposure time remained for the two MOS cameras and 18.0 ks for the PN instrument.
Images and exposure maps were created in the
0.35-2.4 keV detection band, which was chosen to maximize the
signal-to-noise ratio of the X-ray emission of massive galaxy clusters
at z>0.8 compared to the background components (Scharf 2002). Source detection was performed with the SAS task eboxdetect followed by the maximum likelihood fitting task emldetect for determining source parameters. 1007 was found as an extended X-ray source with low surface brightness at position
,
with a total of about 200 source photons and a core radius of 24'' at a significance level of DET
and an extent likelihood of EXT
![]()
. 1007 is not listed in the 2XMM catalog (Watson et al. 2009), since its detection likelihood after the first step of the detection chain (eboxdetect) remained below the threshold for performing the second step (emldetect).
It was revealed as a cluster candidate in this work, however,
owing to the use of a different detection band and by lowering the
detection threshold to perform emldetect.
2.2 Optical imaging with VLT/FORS2 and LBT/LBC
Neither DSS nor the SDSS revealed a convincing counterpart to the unique X-ray source 1007
.
The field containing 1007 was thus observed with FORS2 at the VLT in January/February 2007 through ESO filters R_SPECIAL+76 and z_GUNN+78
with total integration times of 1920 s and 960 s,
respectively. The combination of filters was chosen to allow an
unambiguous redshift determination up to
through the identification of a cluster red sequence (CRS).
All the imaging data of this paper were reduced with an AIP-adaptation of the GaBoDS-pipeline described in Erben et al. (2005). It comprises all the pre-processing steps (bias- and flatfield-, and fringe-correction), super-flat correction, background subtraction, and creation of a final mosaic image using SWarp and ScAMP (Bertin 2006).
The photometric calibration of the R-band image was achieved through observations of Stetson (2000) standard fields, the photometry of the z-band image was tied to the SDSS. The nonstandard z-band cut-on filter in use at the VLT leads to an estimated systematic calibration uncertainty of 0.05 mag.
The measured image seeing of the VLT R- and z-band images is
and
,
respectively. Object catalogs were generated with SExtractor (Bertin & Arnouts 1996)
in double image mode. The magnitudes of catalogued objects were
corrected for Galactic foreground extinction. From the observed drop in
the number-flux relations with respect to a power-law expectation we
estimate a 50% completeness of the catalogs of
and
.
Following Mullis et al. (2005, and its erratum), we used fixed apertures with diameter 3.5
to determine object colors.
A mere two-band, false-color composite of the VLT imaging data proved
enough to locate an overdensity of red, early type galaxies at the
position of the extended X-ray emission. Color- and location-selected
possible cluster members form a red sequence in the color-magnitude
diagram of Fig. 2. The red sequence color was estimated from the average color of all galaxies within 30
of the X-ray position (see box in Fig. 2),
R - z = 1.91, which hints
at a cluster redshift beyond
0.9.
Further imaging observations were performed with the Large Binocular
Telescope (LBT) equipped with the Large Binocular Camera (LBC) through
Bessel B,V filters, and the
filter. Table A.1
lists the details of the LBT imaging observations. The photometric
zeropoints for the LBC images were derived by using the
SDSS photometry of stellar objects in the field.
A multi-color composite of the center of the field including VLT/FORS2- and LBT/LBC-data is shown in Fig. 1 with X-ray contours overlaid. Residual astrometric uncertainties in the XMM-Newton X-ray image were removed on the basis of identified X-ray point sources in the FORS- and LBT-images, respectively.
The cluster has its brightest galaxy (BCG) at position
and
between structures B1 and B2 (see Fig. 1),
i.e., away from the apparent center of the galaxy distribution by
about 20'' and away from the X-ray position. The BCG has an
apparent magnitude
0.06, an observed color
0.08, and an absolute magnitude
.
|
Figure 2:
Color-magnitude diagram of 1007. The size of the symbols encodes vicinity to the X-ray center of the cluster (within 30
|
| Open with DEXTER | |
The spatial distribution of the galaxies that form the red sequence in Fig. 2
appears stretched in a band from SSE to NNW with a centroid
about 10'' away from the centroid of the cluster X-ray emission.
However, the best-fit X-ray position (maximum likelihood fit of an
assumed
-profile folded with the PSF of the X-ray telescope) lies well within the galaxy assembly (see Fig. 1).
2.3 Optical spectroscopy
Multi-object spectroscopy of 1007 was performed with VLT/FORS2 using
the MXU option in December 2007 and January 2008. One
mask was prepared to target 37 candidate objects selected as possible
cluster members based on color and stellarity index. Individual
exposures of 1308 s were
combined to yield a total integration time per object
of 2.9 h. Spectra were obtained with grism 300I. They
cover the wavelength range
6000-11 000 Å with a scale of 3.2 Å/pixel at the chosen 2
2 binning.
We obtained 32 classifiable spectra (among them two late-type stars) and measured the redshifts of galaxies by fitting double Gaussians to the Ca H&K lines. A fixed wavelength ratio and the same width was used for the two Gaussians. The measured redshifts, together with coordinates, brightness, and color of the 32 objects, are listed in Table A.2 and marked in Fig. A.3 (Appendix).
We find 19 concordant redshifts between 1.075 and 1.088 with a
weighted mean of 1.08103 and a median of 1.08207. We assume a
cluster redshift of 1.082 in the following. The redshifts in this
interval are Gaussian distributed, a one-sample KS-test reveals a
probability of rejecting the null hypothesis of 1.3%. The
distribution of all redshifts is shown in Fig. A.1. Following Danese et al. (1980), we calculated a line-of-sight velocity dispersion of
km s-1 with a 90% confidence range between 437 km s-1 and 780 km s-1.
Although the cluster does not appear to be relaxed, we may estimate a mass on the virial assumption. Using
(Carlberg et al. 1997), we obtain
kpc, and
where the given errors correspond to the 90% confidence interval
of the velocity dispersion. Using the dark-matter halo, virial scaling
relation by Evrard et al. (2008) instead, one obtains
.
2.4 X-ray spectroscopy
X-ray spectra were extracted from the calibrated photon event lists of
all three EPIC cameras onboard XMM-Newton. An aperture with 60
radius (
500 kpc at the cluster distance) was used to extract source and background photons. The X-ray spectrum of 1007 contains
200 net photons in the full XMM-band after background subtraction.
An attempt was made to constrain the plasma temperature with a
thin thermal plasma model (a MEKAL model in the X-ray spectral
fitting package XSPEC, Mewe et al. 1985). Fit optimization was achieved by using the Cash-statistic with one count per bin (Krumpe et al. 2008).
It does not, however, provide a goodness-of-fit statistic. The
column density of absorbing matter was fixed to its galactic value,
1020 cm-2, the metal abundance to
,
and the redshift to z=1.082.
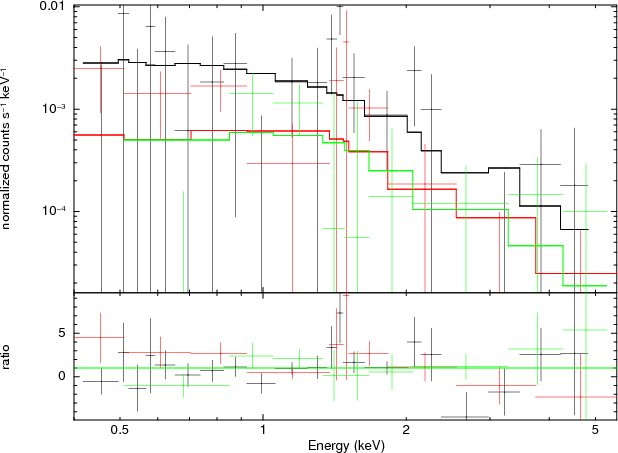
Despite fixing these parameters, the X-ray temperature could only be roughly constrained. The fit shown in Fig. A.2 converges at a temperature of T = 5.7 keV (kT
> 2.05 keV with 90% confidence, the temperature is
not constrained towards high values) implying a bolometric X-ray
luminosity of
1044 erg s-1 (
1044 erg s-1 at 90% confidence,
1043 erg s-1).
Following Pratt et al. (2009), we
estimated the cluster mass using the luminosity-mass scaling relation.
We used their BCES orthogonal fit to the Malmquist-bias corrected L-M relation, assumed self-similar evolution,
h(z)-7/3, and obtained
M500 = 1.0
1014
(assuming our aperture covers R500). If we instead use the temperature-mass relation of Vikhlinin et al. (2009), we find
M500=2.1
1014
with a lower limit of
M500=4.3
1013
.
2.5 Lensing properties
Our follow-up imaging observations confirms the existence of lensing arcs and further lensing features in the image. We used the imaging data in the five passbands (UBVRz) from the LBT and the VLT to calculate photometric redshifts of the lensed background objects. Owing to the distorted morphology of the lensing arcs we manually defined apertures matching the shape of each feature. The fluxes of the objects were then extracted using the same aperture in each image and converted to AB magnitudes.
Table 1: Photometric redshifts of lensing features, with all redshifts forced to be larger than the cluster redshift.
We used the publicly available hyperz code (Bolzonella et al. 2000) to compare the spectral energy distributions of the lensing features with the synthetic galaxy SEDs from Bruzual & Charlot (1993). The parameters for the construction of the SED data cube were galaxy class, star-forming age, internal reddening, and redshift. For the lens features we only allowed redshifts beyond the redshift of the cluster (z=1.082) and combinations of age and redshift consistent with our adopted cosmological parameters.
Table 1 shows the results of the SED fitting for the image components as indicated in Fig. 1. Column (2) gives the best-fitting photometric redshift and Col. (3) the 90% confidence limits of the redshift within the best fitting SED template.
The resulting photometric redshifts confirm our tentative
identification of multiple-lensed components. Components A1/ A2
and C1/C2 are likely to be images of the same background objects
at
and
,
respectively. The situation is less clear for components B1-B3,
where the uncertainties in the photometric redshifts are large.
We estimate a lensing mass assuming a circularly symmetric lens
(a special case is the singular isothermal
sphere - SIS). The projected mass inside a tangential arc
then becomes
.
The effective distance D becomes
Mpc for
and
.
Difficulties arise from the faintness of the lensing features and from the badly determined cluster
center. A trace of the feature A1 implies an Einstein radius of
and a corresponding mass of
1013
(a 15% uncertainty in radius is assumed). If one uses the distance between A1 and the X-ray center (
)
instead, the mass inside this ring becomes 5.7
1013
.
3 Discussion and conclusions
We have presented results of an initial study of the X-ray selected cluster 1007. We determine a redshift of z=1.082
based on 19 spectroscopic confirmed members. As the most
prominent property, the cluster shows several strong lensing
features. It is an optically rich cluster; and the absence of a
dominant BCG and the elongated distribution of member galaxies suggest
that it is a not yet relaxed structure. The bolometric X-ray luminosity
is
.
Estimates of the cluster mass were obtained via strong lensing, X-ray
spectroscopy, and the velocity dispersion of member galaxies. The
values obtained at different radii are summarized in Fig. 3. One obtains overlapping error bars for the mass at
R200 (
virial radius) and at
R500 (
X-ray aperture) because of insufficient data and uncertainties in the scaling relations. If one takes
1014
at face value, our strong-lensing result seems to be discrepant with an
NFW-profile. All data can be made compliant at a mass of about 4
1014
,
higher than - but not excluded by - the velocity
dispersion and the X-ray temperature, whereas a weak-lensing mass is
key to fixing the halo profile at large radii, and a deep X-ray
observation
is necessary to determine the X-ray morphology and the gas temperature.
The modeling of the strong-lensing system is important for probing the
inner density profile.
|
Figure 3:
Comparison of different mass estimates for 1007 in units of 1014 |
| Open with DEXTER | |
Interestingly, in a study of a complete sample of 12 MACS clusters, Zitrin et al. (2010)
find the
observed Einstein radii to be larger, hence the central density of the
clusters higher than predicted by simulations, and interpret their
finding as a challenge to cluster formation in a
CDM model.
They invoke the possibility that the formation of clusters started at
earlier epochs than currently assumed, leading to higher central dark
matter concentrations. Also, Jee et al. (2009) suggest this scenario as a possible explanation for the discovery of unexpectedly massive clusters at
1
in the moderate survey volume probed by the XMM-Newton serendipitous
surveys (such as XMMU J2235-2557 and
2XMM J083026+524133, Rosati et al. 2009; Mullis et al. 2005; Lamer et al. 2008). However, in a recent study of the strong lensing clusters in the M ARE N OSTRUM U NIVERSE, Meneghetti et al. (2010)
find the concentration and the X-ray luminosity to be biased high and
find an excess of kinetic energy within the virial radius among the
strong lensing
clusters. 1007 is a target highly suited to comparing theory
and observation.
The elongated distribution of the cluster member galaxies may point to the principal direction of merging or accretion of 1007 (Dubinski 1998). The merging hypothesis is consistent with the system being a strong lens (see e.g. the chain distribution of the brightest member galaxies in the strong-lensing main component of the Bullet Cluster, Bradac et al. 2006). On the other hand, the chain distribution of the bright member galaxies of 1007 may suggest that the infall of these galaxies happens along filaments with small impact parameters, so that dynamical friction is particularly efficient in dragging them to the cluster center and originating a dominant BCG within a short time (D'Onghia et al. 2005). In analogy with the formation of fossil galaxy groups studied by these authors, the small impact parameters of the filaments may lead to an early assembly of the gas in the center, thus to an early start of its cooling. The resulting system may exhibit an enhanced X-ray luminosity with respect to the optical one. This efficient, early formation may offer an alternative explanation to merging as the reason X-ray luminous clusters with chain distribution of their bright members in particular are detected at high redshifts.
AcknowledgementsWe thank J. Wambsganss for providing software code describing the lensing geometry. We thank S. Schindler and W. Kausch for an early analysis of the lensing features. H.Q. thanks the FONDAP Centro de Astrofisica for partial support. This work was supported by the DFG under grants Schw 536/24-2 and BO 702/16-3, and the German DLR under grant 50 QR 0802. We thank our referee, Florence Durret, for constructive criticism. The work was based on data acquired using the Large Binocular Telescope (LBT). The LBT is an international collaboration among institutions in the United States, Italy, and Germany. LBT Corporation partners are: the University of Arizona on behalf of the Arizona university system; Istituto Nazionale di Astrofisica, Italy; LBT Beteiligungsgesellschaft, Germany, representing the Max-Planck Society, the Astrophysical Institute Potsdam, and Heidelberg University; The Ohio State University, and the Research Corporation, on behalf of The University of Notre Dame, University of Minnesota, and the University of Virginia.
References
- Bertin, E. 2006, in Astronomical Data Analysis Software and Systems XV, ed. C. Gabriel, C. Arviset, D. Ponz, & S. Enrique, ASP Conf. Ser., 351, 112
- Bertin, E., & Arnouts, S. 1996, A&AS, 117, 393
- Böhringer, H., Mullis, C., Rosati, P., et al. 2005, The Messenger, 120, 33
- Bolzonella, M., Miralles, J.-M., & Pelló, R. 2000, A&A, 363, 476
- Bradac, M., Clowe, D., Gonzalez, A. H., et al. 2006, ApJ, 652, 937
- Bruzual, A., & Charlot, S. 1993, ApJ, 405, 538
- Bullock, J. S., Kolatt, T. S., Sigad, Y., et al. 2001, MNRAS, 321, 559
- Carlberg, R. G., Yee, H. K. C., Ellingson, E., et al. 1997, ApJ, 485, L13
- Danese, L., de Zotti, G., & di Tullio, G. 1980, A&A, 82, 322
- D'Onghia, E., Sommer-Larsen, J., Romeo, A. D., et al. 2005, ApJ, 630, L109
- Dubinski, J. 1998, ApJ, 502, 141
- Erben, T., Schirmer, M., Dietrich, J. P., et al. 2005, Astron. Nachr., 326, 432
- Evrard, A. E., Bialek, J., Busha, M., et al. 2008, ApJ, 672, 122
- Fassbender, R., Böhringer, H., Lamer, G., et al. 2008, A&A, 481, L73
- Jee, M. J., Rosati, P., Ford, H. C., et al. 2009, ApJ, 704, 672
- Krumpe, M., Lamer, G., Corral, A., et al. 2008, A&A, 483, 415
- Lamer, G., Hoeft, M., Kohnert, J., Schwope, A., & Storm, J. 2008, A&A, 487, L33
- Meneghetti, M., Fedeli, C., Pace, F., Gottloeber, S., & Yepes, G. 2010, A&A, accepted [arXiv:1003.4544]
- Mewe, R., Gronenschild, E. H. B. M., & van den Oord, G. H. J. 1985, A&AS, 62, 197
- Mullis, C. R., Rosati, P., Lamer, G., et al. 2005, ApJ, 623, L85
- Navarro, J. F., Frenk, C. S., & White, S. D. M. 1997, ApJ, 490, 493
- Pratt, G. W., & Arnaud, M. 2003, A&A, 408, 1
- Pratt, G. W., Croston, J. H., Arnaud, M., & Böhringer, H. 2009, A&A, 498, 361
- Rosati, P., Tozzi, P., Ettori, S., et al. 2004, AJ, 127, 230
- Rosati, P., Tozzi, P., Gobat, R., et al. 2009, A&A, 508, 583
- Santos, J. S., Rosati, P., Gobat, R., et al. 2009, A&A, 501, 49
- Scharf, C. 2002, ApJ, 572, 157
- Stetson, P. B. 2000, PASP, 112, 925
- Vikhlinin, A., Burenin, R. A., Ebeling, H., et al. 2009, ApJ, 692, 1033
- Watson, M. G., Schröder, A. C., Fyfe, D., et al. 2009, A&A, 493, 339
- Zitrin, A., Broadhurst, T., Barkana, R., Rephaeli, Y., & Benitez, N. 2010, MNRAS, submitted [arXiv:1002.0521]
Online Material
Appendix A: Supplementary electronic material
This Appendix gives more detailed information about optical observations, the X-ray spectrum, the redshift distribution, and the brightness of spectroscopically classified objects in the field of 1007.
Table A.1: LBT image parameters.
|
Figure A.1: Redshift distribution of galaxies in the field of 1007 observed with VLT-FORS2-MXU (see Table A.2). The inset is a blow-up comprising the redshift range covered by likely cluster members. |
| Open with DEXTER | |
|
Figure A.2: XMM-Newton X-ray spectrum of 1007 (EPIC-pn in black, EPIC-MOS in red and green). |
| Open with DEXTER | |
Table A.2: Spectroscopically confirmed cluster member galaxies (upper part) and nonmember galaxies targeted by VLT-MOS spectroscopy sorted by increasing z-band magnitude.
|
Figure A.3: VLT/FORS2 R-band image with slit positions identified (north is top, east to the left). Labels are the same as in the first column of Table A.2. Likely cluster members are encircled, unrelated classified objects (lower section of Table A.2) are framed with squares, objects that were positioned on slits but could not yet be classified are framed with rhombs. |
| Open with DEXTER | |
Footnotes
- ... 1.082
- Based on observations made with ESO Telescopes at the La Silla or Paranal Observatories under programs 78.A-0265 and 80.A-0659.
- ...
- Based on observations obtained with XMM-Newton, an ESA science mission with instruments and contributions directly funded by ESA Member States and NASA.
- ...
- Appendix is only available in electronic form at http://www.aanda.org
- ...

- DET
,
EXT
:
detection likelihood and extent likelihood of the source,
,
where P is the probability that the detection (the extent) is spurious due to a Poissonian fluctuation.
- ...1007
- We regard the NVSS radio source NVSS J100751+125901 at
,
(J2000.0), marked in Fig. 1 and confirmed to be point-like by FIRST (
,
)
with an integrated flux of 5.59
0.19 mJy (positional offset of
)
to be unrelated to the X-ray source.
All Tables
Table 1: Photometric redshifts of lensing features, with all redshifts forced to be larger than the cluster redshift.
Table A.1: LBT image parameters.
Table A.2: Spectroscopically confirmed cluster member galaxies (upper part) and nonmember galaxies targeted by VLT-MOS spectroscopy sorted by increasing z-band magnitude.
All Figures
|
Figure 1: ( Left) UBVR image of the field around 1007 indicating X-ray contours and tentatively identified lensing features. The cross indicates the X-ray position and the square the size of the color image shown to the right. (Right) Color composite of the central region of 1007 with mean (Rz)V(UB) images in the RGB channels. North is at the top and east to the left in both frames. |
| Open with DEXTER | |
| In the text | |
|
Figure 2:
Color-magnitude diagram of 1007. The size of the symbols encodes vicinity to the X-ray center of the cluster (within 30
|
| Open with DEXTER | |
| In the text | |
|
Figure 3:
Comparison of different mass estimates for 1007 in units of 1014 |
| Open with DEXTER | |
| In the text | |
|
Figure A.1: Redshift distribution of galaxies in the field of 1007 observed with VLT-FORS2-MXU (see Table A.2). The inset is a blow-up comprising the redshift range covered by likely cluster members. |
| Open with DEXTER | |
| In the text | |
|
Figure A.2: XMM-Newton X-ray spectrum of 1007 (EPIC-pn in black, EPIC-MOS in red and green). |
| Open with DEXTER | |
| In the text | |
|
Figure A.3: VLT/FORS2 R-band image with slit positions identified (north is top, east to the left). Labels are the same as in the first column of Table A.2. Likely cluster members are encircled, unrelated classified objects (lower section of Table A.2) are framed with squares, objects that were positioned on slits but could not yet be classified are framed with rhombs. |
| Open with DEXTER | |
| In the text | |
Copyright ESO 2010
Current usage metrics show cumulative count of Article Views (full-text article views including HTML views, PDF and ePub downloads, according to the available data) and Abstracts Views on Vision4Press platform.
Data correspond to usage on the plateform after 2015. The current usage metrics is available 48-96 hours after online publication and is updated daily on week days.
Initial download of the metrics may take a while.
![\begin{figure}
\includegraphics[width=18cm]{14430_f1.eps}
\end{figure}](/articles/aa/full_html/2010/05/aa14330-10/Timg12.png)
![\begin{figure}
\par\includegraphics[width=8.8cm,clip]{14430_f2.ps}
\end{figure}](/articles/aa/full_html/2010/05/aa14330-10/Timg37.png)
![\begin{figure}
\par\includegraphics[width=8.8cm,clip]{14430_f3.ps}
\end{figure}](/articles/aa/full_html/2010/05/aa14330-10/Timg65.png)
![\begin{figure}
\par\includegraphics[width=8.8cm,clip]{14430_fapp1.ps}
\end{figure}](/articles/aa/full_html/2010/05/aa14330-10/Timg72.png)
![\begin{figure}
\par\includegraphics[angle=-90,width=8.8cm,clip]{14430_fapp2.ps}
\end{figure}](/articles/aa/full_html/2010/05/aa14330-10/Timg73.png)
![\begin{figure}
\par\includegraphics[width=17cm,clip]{14430_fapp3.ps}
\end{figure}](/articles/aa/full_html/2010/05/aa14330-10/Timg77.png)