| Issue |
A&A
Volume 513, April 2010
|
|
|---|---|---|
| Article Number | L10 | |
| Number of page(s) | 8 | |
| Section | Letters | |
| DOI | https://doi.org/10.1051/0004-6361/201014330 | |
| Published online | 29 April 2010 | |
Online Material
Appendix A: Supplementary electronic material
This Appendix gives more detailed information about optical observations, the X-ray spectrum, the redshift distribution, and the brightness of spectroscopically classified objects in the field of 1007.
Table A.1: LBT image parameters.
|
Figure A.1: Redshift distribution of galaxies in the field of 1007 observed with VLT-FORS2-MXU (see Table A.2). The inset is a blow-up comprising the redshift range covered by likely cluster members. |
| Open with DEXTER | |
|
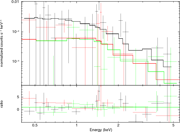
Figure A.2: XMM-Newton X-ray spectrum of 1007 (EPIC-pn in black, EPIC-MOS in red and green). |
| Open with DEXTER | |
Table A.2: Spectroscopically confirmed cluster member galaxies (upper part) and nonmember galaxies targeted by VLT-MOS spectroscopy sorted by increasing z-band magnitude.
|
Figure A.3: VLT/FORS2 R-band image with slit positions identified (north is top, east to the left). Labels are the same as in the first column of Table A.2. Likely cluster members are encircled, unrelated classified objects (lower section of Table A.2) are framed with squares, objects that were positioned on slits but could not yet be classified are framed with rhombs. |
| Open with DEXTER | |
Current usage metrics show cumulative count of Article Views (full-text article views including HTML views, PDF and ePub downloads, according to the available data) and Abstracts Views on Vision4Press platform.
Data correspond to usage on the plateform after 2015. The current usage metrics is available 48-96 hours after online publication and is updated daily on week days.
Initial download of the metrics may take a while.
![\begin{figure}
\par\includegraphics[width=8.8cm,clip]{14430_fapp1.ps}
\end{figure}](/articles/aa/olm/2010/05/aa14330-10/Timg72.png)
![\begin{figure}
\par\includegraphics[angle=-90,width=8.8cm,clip]{14430_fapp2.ps}
\end{figure}](/articles/aa/olm/2010/05/aa14330-10/Timg73.png)
![\begin{figure}
\par\includegraphics[width=17cm,clip]{14430_fapp3.ps}
\end{figure}](/articles/aa/olm/2010/05/aa14330-10/Timg77.png)