Issue |
A&A
Volume 514, May 2010
|
|
---|---|---|
Article Number | A67 | |
Number of page(s) | 51 | |
Section | Extragalactic astronomy | |
DOI | https://doi.org/10.1051/0004-6361/200913634 | |
Published online | 28 May 2010 |
A&A 514, A67 (2010)
Cosmic evolution of submillimeter
galaxies and their contribution to stellar mass assembly![[*]](/icons/foot_motif.png)
M. Michaowski1,2
- J. Hjorth1 - D. Watson1
1 - Dark Cosmology Centre, Niels Bohr Institute, University of
Copenhagen, Juliane Maries Vej 30, 2100 Copenhagen Ø, Denmark
2 - Scottish Universities Physics Alliance, Institute for Astronomy,
University of Edinburgh, Royal Observatory, Edinburgh, EH9 3HJ, UK
Received 10 November 2009 / Accepted 10 February 2010
Abstract
The nature of galaxies selected at submillimeter wavelengths (SMGs,
mJy),
some of the bolometrically most luminous objects at high redshifts, is
still elusive. In particular their star formation histories and source
of emission are not accurately constrained. In this paper we introduce
a new approach to analyse the SMG data. Namely, we present the first
self-consistent UV-to-radio spectral energy distribution fits of
76 SMGs with spectroscopic redshifts using all photometric
datapoints from ultraviolet to radio simultaneously. We find that they
are highly star-forming (median star formation rate
for
SMGs at z>0.5), moderately dust-obscured
(median
mag), hosting
significant stellar populations (median stellar mass
)
of which only a minor part has been formed in the ongoing starburst
episode. This implies that in the past, SMGs experienced either another
starburst episode or merger with several galaxies. The properties of
SMGs suggest that they are progenitors of present-day elliptical
galaxies. We find that these bright SMGs contribute significantly to
the cosmic star formation rate density (
20%) and stellar mass density (
30-50%) at
redshifts 2-4. Using number counts at low fluxes we find that as much
as 80% of the cosmic star formation at these redshifts took place in
SMGs brighter than 0.1 mJy. We find evidence that a linear
infrared-radio correlation holds for SMGs in an unchanged form up to
redshift of 3.6, though its normalization is offset from the
local relation by a factor of
2.1 towards higher radio
luminosities. We present a compilation of photometry data of SMGs and
determinations of cosmic SFR and stellar mass densities.
Key words: galaxies: active - galaxies: evolution - galaxies: high-redshift - galaxies: ISM - galaxies: starburst - submillimeter: galaxies
1 Introduction
Submillimeter galaxies (SMGs; see Blain
et al. 2002) were discovered at m (
mJy) by the
Submillimetre Common-User Bolometer Array (SCUBA; Holland et al. 1999)
mounted on the James Clerk Maxwell Telescope (JCMT). Due to
the coarse resolution of SCUBA, localizations derived from
high-resolution radio maps had to be used to measure their
spectroscopic redshifts (Chapman
et al. 2005). Lots of studies have addressed the
issue of characterizing the nature of SMGs (Eales et al. 2009; Younger
et al. 2009a; Smail et al. 2004;
Devlin
et al. 2009; Swinbank et al. 2006; Kovács
et al. 2006; Greve et al. 2004;
Austermann
et al. 2009; Scott et al. 2008; Perera
et al. 2008; Murphy et al. 2009; Tacconi
et al. 2006; Greve et al. 2005; Younger
et al. 2007; Coppin et al. 2008; Hainline
2008; Borys
et al. 2005; Aravena et al. 2010; Swinbank
et al. 2008; Takagi et al. 2004; Dye et al.
2009; Younger
et al. 2008; Alexander et al.
2005; Murphy
2009; Clements
et al. 2008; Egami et al. 2004;
Dye
et al. 2008; Hainline et al. 2009; Swinbank
et al. 2004; Weiß et al. 2009b; Laurent
et al. 2006; Tamura et al. 2009; Takata
et al. 2006; Pope et al. 2006;
Tacconi
et al. 2008, some of these works were based on
surveys with sensitivity worse than 3 mJy quoted above).
However they were usually based on limited samples (
20 sources),
limited wavelength coverage or photometric redshifts. These limitations
have made it difficult to solve several issues, including the
characterization of the star formation histories of SMGs and their
dominant source of emission.
An important open question concerns the contribution of SMGs
to cosmic stellar mass assembly.
This is important, because in order to understand galaxy evolution, the
build-up of stellar mass must be mapped out to high redshifts. It is
usually parametrized by the total star formation rate (SFR) density per
unit comoving volume, (
;
see e.g. Hopkins 2004; Hopkins &
Beacom 2006). At high redshifts it is difficult to
disentangle the contribution to
from
galaxy populations of different masses due to incompleteness at
low luminosities.
Another approach to study stellar mass assembly is to consider
directly the stellar mass density per unit comoving volume, ,
which is equivalent to the integrated
over the age of the Universe.
It is established that
grows with cosmic time (stellar mass is accumulating; Marchesini
et al. 2009; Pérez-González
et al. 2008; Fontana et al. 2006;
Elsner
et al. 2008; Drory et al. 2005),
but the contribution from different galaxy populations is not
well-determined. Spitzer observations of SMGs (Egami
et al. 2004; Ashby et al. 2006; Dye et al.
2008; Hainline
et al. 2009; Hainline 2008;
Laurent
et al. 2006; Borys et al. 2005; Frayer
et al. 2004; Pope et al. 2006;
Ivison
et al. 2004) have enabled studies of the rest-frame
near-infrared (near-IR) part of the spectrum, where old stellar
populations are dominant - an important step forward in getting full
spectral energy distributions and accurate estimates of stellar masses
of SMGs. The results indicate that SMGs are among the most massive
galaxies in the Universe.
The dominant source of emission from SMGs is dust reprocessed
emission either from young stars or active galactic nuclei (AGNs). One
way to test it is to compare the infrared (IR) and radio
luminosities of SMGs, because, at least locally, star-forming galaxies
follow a remarkably tight correlation between IR and radio luminosities
(Helou
et al. 1985; Condon 1992). The correlation is
believed to result from the fact that both IR and radio emissions are
related to short-lived massive stars: the former originates from dust
heated by ultraviolet (UV) light from blue, massive stars and the
latter from synchrotron emission of electrons produced in supernova
remnants. Therefore, a relation consistent with the local one is an
indication of star formation dominating both the IR and radio
emissions. There is growing evidence that the correlation holds at
redshifts
(Vlahakis
et al. 2007; Gruppioni et al. 2003;
Yang
et al. 2007; Marleau et al. 2007; Appleton
et al. 2004; Garrett 2002; Boyle
et al. 2007). At higher redshifts sample sizes are
small making it difficult to draw robust conclusions (Seymour
et al. 2009; Sargent et al. 2010; Appleton
et al. 2004; Ibar et al. 2008; Murphy
et al. 2009; Rieke et al. 2009; Younger
et al. 2009b; Kovács et al. 2006;
Garn
et al. 2009; Beswick et al. 2008; Murphy 2009;
Sajina
et al. 2008).
The only sign of evolution was reported by Ivison
et al. (2010) based on stacking analysis of the
24
m-selected
galaxies, though possibly interpreted as a selection effect.
The objective of this paper is to model for the first time the
entire UV-to-radio spectral energy distributions of a statistically
significant sample of SMGs in a self-consistent way. Using these models
we
i) consistently derive the properties of SMGs using all
available data to characterize their nature and determine the dominant
emission mechanism; ii) estimate the contribution of SMGs to
the cosmic SFR and stellar mass densities; iii) investigate
whether the local IR-radio correlation holds at high redshifts in an
unchanged form. In Sect. 2 our SMG sample
is presented. Our methodology is outlined in Sect. 3. We derive the
properties of SMGs in Sect. 4 and discuss
the implications in Sect. 5.
Section 6
closes with our conclusions. We use a cosmological model with H0=70 km s-1 Mpc-1,
and
.
2 Sample
We base our analysis on 76 SMGs (
mJy) from the sample
of Chapman
et al. (2005), all with spectroscopically measured
redshifts spanning a range of 0.080-3.623.
The way the sample is selected involves complex biases, which
are difficult to fully quantify and account for. The parent sample of Chapman et al.
(2005) consists of 150 SMGs out of which 104 have
radio identifications. The sample discussed here (76 galaxies)
consists of the SMGs for which redshifts have been measured
(spectroscopic completeness 75%). All this implies that
the sample is biased against: i) faint submillimeter emitters
(low dust content and/or hot dust, influence mostly the low-z
portion of the sample); ii) faint radio emitters (high-z
and cold dust, see Fig. 3
of Chapman
et al. 2005); iii) faint optical emitters
(difficult to obtain spectra); iv)
-1.8
(``redshift desert'' where no emission lines enter the observable
wavelengths). At low redshifts (z<1) the
sample may also be incomplete due to a limited sky area (and therefore
- volume) coverage making it difficult to detect rare strong
submillimeter emitters (for details on the SMG selection effects see
also Fig. 2
of Blain et al. 2004
and discussion in Sect. 4.4 of Michaowski
et al. 2008).
![]() |
Figure 1:
Median spectral energy distribution (SED) of SMGs ( thick lines)
and SEDs of individual SMGs ( thin lines).
Dotted lines indicate z<0.5
objects. Shaded areas enclose 90% of the SEDs.
Top: all SEDs were divided by the corresponding 850 |
Open with DEXTER |
![]() |
Figure 2:
Redshift evolution of the properties ( full circles,
see Table A.3
in Appendix) of the sample of 76 SMGs with spectroscopic
redshifts (Chapman
et al. 2005). Small symbols
indicate z<0.5 objects. Typical errors
(Sect. 4)
are shown as crosses. From top-left to
bottom-right: star formation rate (SFR) derived from spectral
energy distribution modeling, ultraviolet, infrared and radio emission,
SFR per unit stellar mass (
|
Open with DEXTER |
![]() |
Figure 3:
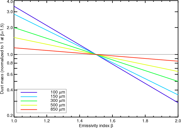
Derived dust mass of a mock galaxy with dust temperature
|
Open with DEXTER |
It is important to estimate what the influence of these selection
effects on our results is. In total we analyse 50% (76/150) of the parent
sample. Additionally, 25 radio-detected SMGs without
spectroscopic redshifts have similar long-wavelength properties
compared to the redshift sample (see Fig. 1 of Chapman et al. 2005),
so their absence from the sample probably does not significantly bias
our results. The same is true for the SMGs in the ``redshift desert'',
since they are missed not due to their inherent properties. The
remaining 46 radio-nondetected SMGs (
30%) could in principle have
very different properties than our sample resulting in a potential
limitation in our analysis.
Even if most of the SMGs without spectroscopic redshifts are similar to those in our sample, the incompleteness at z<1.8 implies that the estimates of SMG densities (Sects. 5.3.1, 5.3.2 and 5.2.3) in the three low-redshift bins (see Sect. 3.2) are strict lower limits.
Due to the negative K-correction at
submillimeter wavelengths, SMGs at
form a
sample with homogenous IR luminosity (Blain 1997; Blain &
Longair 1996). However, SCUBA sources at
belong
to a different population of objects and are intrinsically
fainter. The limited volume coverage at these low redshifts makes the
sample of these objects small and incomplete. This prevents a separate
study of their properties. We did not take into account these sources
when we computed median values of the properties of SMGs.
The photometric datapoints (Tables A.1 and A.2 in Appendix) were collected from the
literature: Ivison
et al. (2002, IK, radio), Ivison et al.
(2005, R, 1.2 mm), Chapman et al.
(2003b, VI), Chapman et al.
(2005, BR,
m).
We have not used the existing mid-IR spectra (Pope et al. 2008;
Menéndez-Delmestre
et al. 2007,2009; Valiante
et al. 2007), but for completeness we have indicated
in Table A.1
those SMGs for which Spitzer/IRS spectra exist.
Table 1: Mean values for SMGs in redshift bins.
3 Methodology
3.1 SED modeling
In order to model the spectral energy distributions (SEDs) of SMGs, we use all the photometric datapoints simultaneously. This has the advantage that all the galaxy properties are derived consistently regardless of the wavelength regime in which those properties shape the SEDs (for example, recent star formation governs the UV and far-IR parts of a spectrum of a galaxy, whereas accumulated stellar mass is responsible for near-IR emission). Moreover in the full SED modeling no single datapoint drives the fit alone.
We utilized the set of 35 000 models from Iglesias-Páramo et al. (2007)
developed in GRASIL (Silva
et al. 1998)
based on numerical calculations of radiative transfer within a galaxy.
They cover a broad range of galaxy properties from quiescent to
starburst. Their star formation histories are assumed to be a smooth
Schmidt-type law (SFR proportional to the gas mass to some power, see Silva et al. 1998, for
details) with a starburst (if any) on top of that starting
50 Myr before the time of the evolution of a galaxy at which
the SED is computed. Additionally we fitted templates based on nearby
galaxies (Silva et al. 1998)
and gamma-ray burst host galaxies (Michaowski
et al. 2008). We simultaneously used all the
photometric datapoints from UV to radio (Tables A.1 and A.2). In cases
where the data given by different authors were contradictory, we
disregarded the obvious outliers. We scaled the SEDs to match the data
and chose the one with the lowest
.
Based on the best fits we derived the properties of the
galaxies as explained in Michaowski et al. (2009,2008).
In particular, SFRs, stellar (M*)
and starburst (
)
masses were given as output from GRASIL, rest-frame UV and K
(LK)
monochromatic luminosities were interpolated from the best-fitting
SEDs, whereas IR luminosities (
)
were integrated in a range 8-
m, UV and IR SFRs (SFR
was adopted for all subsequent calculations, because SFR
is on average two orders of magnitude lower) were calculated using Kennicutt (1998),
dust masses (
)
were calculated from the
m
detections using Eq. (5) of Michaowski
et al. (2009) and radio SFRs were calculated from
the 20 cm detections using the empirical formula of Bell (2003) (see
Sect. 4.2 of Michaowski
et al. 2009). Dust temperatures (
)
were estimated by identifying the peak of the dust emission and
assuming an emissivity index
.
The average extinction in the rest-frame V-band was
calculated from the unextinguished starlight given in GRASIL:
(unextinguished
V-band starlight / observed V-band
starlight). IR-radio correlation parameters were calculated according
to the formula
,
where
is a rest-frame 1.4 GHz luminosity density computed from the
observed 1.4 GHz flux assuming a spectral slope of -0.75.
3.2 Volume densities
In order to calculate the SFR density, the stellar density and the dust
mass densities per unit comoving volume,
,
and
,
we used the following angular areas for the submillimeter surveys
(Table 1
of Chapman
et al. 2005): CFRS-03: 60 arcmin2
and CFRS-14: 48 arcmin2 (Webb et al. 2003b),
Lockman Hole: 122 arcmin2 and ELAIS-N2:
102 arcmin2 (Scott
et al. 2002), HDF-N: 100 arcmin2
(Chapman et al. 2001),
SSA-13 and SSA-22: 100 arcmin2 each (Chapman et al. 2003a),
totaling 632 arcmin2.
We divided our sample into four high-redshift bins
(Table 1)
with approximately the same number of SMGs plus an additional bin for z<0.5
sources (see Sect. 2).
The densities in each bin were calculated as a sum of SFR
(or M*, or
)
of all SMGs in this bin divided by its comoving volume (a similar
approach to calculate the SFR and number volume densities of SMGs was
taken by Daddi
et al. 2009b; Coppin et al. 2009; Younger
et al. 2009a; Wang et al. 2009). The
volumes (Col. 2) were found using the total area from the
previous paragraph.
We removed the contribution of ten SMGs,
which were observed by SCUBA in the photometry mode (as opposed to the
blank-field mapping mode) targeting optically-faint radio galaxies (Chapman et al. 2005).
These objects fall outside the fields discussed here.
The method is therefore to analyse the fraction of the sky observed by SCUBA and estimate the number of SMGs and their volume densities. However, the true number of SMGs in our fields could be higher. On the other hand, regardless of the selection effects, the true number of SMGs in our fields cannot be lower than the number of SMGs in our sample. In turn, the true values of SFR and M* densities cannot be lower than the values we derive. Therefore our results on volume densities should be regarded as robust lower limits.
Having this in mind we note that the parent sample of Chapman et al.
(2005) includes only 29% of all the SMGs detected in
the used survey fields (compare with Webb et al. 2003a; Scott
et al. 2002; Webb et al. 2003b).
Therefore even if we analysed the full parent sample the estimated
densities would be conservative lower limits. We attempt to correct for
this incompleteness by assuming that the parent sample of Chapman et al.
(2005) is a fair representation of the total population. In
this case our numbers should be multiplied by 3.5 (1/29%). This
correction should in principle be derived separately for each redshift
bin, but the missing redshift information for the majority of the SMGs
in the used survey fields makes such calculation impossible. We note
that this correction does not remove the bias against SMGs that are
faint at radio and optical wavelengths, as discussed in Sect. 2.
We have not applied a volume density correction for the AGN
contribution, because it is at most minor. Even though a fraction
of SMGs host AGNs and a few individual SMGs have been shown to exhibit
a significant AGN contribution to their emission, it is established
that on average AGN activity is responsible for at most 10-20% of
the bolometric infrared emission of SMGs (Watabe et al. 2009; Hainline
et al. 2009; Menéndez-Delmestre
et al. 2007; Alexander et al. 2008;
Valiante
et al. 2007; Murphy et al. 2009; Pope
et al. 2008; Alexander et al.
2005; Menéndez-Delmestre
et al. 2009).
Therefore a potential error associated with the AGN contribution in our
analysis
of a statistically significant sample is smaller than the systematic
uncertainty (e.g. 30% error of luminosity-SFR conversion; Kennicutt 1998).
The percentage contribution of SMGs to the SFR and M*
densities (Cols. 5 and 7 of Table 1) was calculated
as
,
where
is the density of SMGs at each redshift bin (Cols. 4 and 6)
and
is the density of other galaxies assumed to be an average of
determinations (excluding lower limits) reported by other authors
(Fig. 4;
Tables A.4
and A.5 in
appendix), for which the redshift ranges overlap with our bins. This
way of calculating the contribution is justified if SMGs do not enter
the ``other'' samples of galaxies. This is usually the case because
SMGs are faint in the optical. However, if this was not fulfilled, the
real percentage contribution of SMGs would be even higher.
![]() |
Figure 4:
Top: cosmic star formation density. The SMGs'
contribution rises with redshift from |
Open with DEXTER |
4 Results
The best fits
are shown in Fig. A.1
and the median SEDs (in flux and luminosity domains) are shown in
Fig. 1.
The resulting properties of the galaxies are listed in Table A.3 and shown in Fig. 2 as a function of redshift. We notice similar trends to Hainline (2008) that lower-z SMGs are less luminous and colder (see her Figs. 4.7 and 4.9).
In two cases we obtained much better fits using the templates
of Silva et al. (1998)
instead of those of Iglesias-Páramo
et al. (2007), namely, an HR 10 template
for SMMJ105151.69+572636.0 and a spiral Sc template for
SMMJ221733.12+001120.2. In 9 cases
where our fits strongly underpredict the
m datapoint we adopted the
and
estimates of Chapman
et al. (2005).
The determination of the IR luminosity suffers from systematic
uncertainties depending on the choice of the SED template. Our approach
of using all the optical, submillimeter and radio data to constrain the
shape of the SED results in a moderate systematic error in the IR
luminosity (less than a factor of 2; Bell
et al. 2007). The choice of a Salpeter
(1955) IMF with cutoffs of 0.15 and
introduces
a maximum systematic error of a factor of
2 in the
determination of the stellar masses and SFRs (Erb
et al. 2006). Bell
et al. (2007) have also found that random errors in
stellar mass are less than a factor of
2. Estimates of dust
temperatures have uncertainties of
5-10 K dominated by
the unknown value of the emissivity index,
.
The SFR determination based on radio observations is accurate up to 30%
since it agrees with the detailed spectrophotometric SED fitting (Michaowski & Hjorth 2007).
The uncertainties in q (defined in
Sect. 3.1)
are
0.3 (see
also Kovács
et al. 2006), dominated by the error in
.
In order to assess the influence of the choice of emissivity
index
on the dust mass estimates, we recalculated the dust temperatures and
masses in a range of
of 1-2. The resulting error was less than a factor of 3.5.
This is illustrated in Fig. 3 where we present
a more systematic analysis of this problem. We calculated the dust mass
of a mock galaxy with K
(this choice does not influence the results) using
in the range 1-2 assuming a flux density of 5 mJy at a variety
of infrared rest-wavelengths probed by observations. Then we normalized
dust masses to 1 at
.
We conclude that as long as the observations probe wavelengths longer
than
150
m (
for observed wavelength of
m), then the
error on the dust
mass resulting from unknown
is less than a factor of
5.
None of these errors significantly affects our conclusions, because the inferred nature of SMGs would not be different even in the worst case scenario when all systematic errors work in one direction (increasing or decreasing the obtained values). Moreover, we analyse a statistically significant sample of 76 galaxies, so random errors of a factor of 2 are reduced to <20% when an error of a mean is considered.
Table 1
contains the volume densities and mean IR-radio correlation parameter
divided into five redshift bins (see Sect. 3.2). The
uncertainties quoted on
and
include the systematic 30% uncertainty of the
to SFR
conversion (Kennicutt
1998) and a factor of
2 systematic uncertainty in
the stellar mass (Michaowski
et al. 2008). The systematic error resulting from
our incompleteness correction (Sect. 3.2) is likely a
factor of a few.
5 Discussion
5.1 Spectral energy distributions of SMGs
We have presented the first successful attempt to fit the entire
UV-to-radio SEDs of SMGs in a self-consistent way taking into account
all the available data simultaneously.
Our study provides evidence that GRASIL models can reproduce the SMG
data. Namely, we found good fits for all SMGs in our sample with the
best IR/submillimeter wavelength coverage
except of SMMJ105238.30+572435.8.
As is evident from Fig. 1, regardless of
whether SEDs were normalized to the same observed m datapoint
or SFR
,
the scatter at optical and near-IR wavelengths is significant, showing
that SMGs exhibit a wide range of stellar population properties (as
also noted by Ivison
et al. 2002). This implies the need for an SED
template library in SMG studies, as opposed to single-template fitting.
Having constrained the SEDs of SMGs we now turn to a discussion of what we can learn about these galaxies using the best-fitting models.
5.2 Properties of SMGs
5.2.1 Star formation rates
The very high (current) SFRs of SMGs (median
yr-1,
Col. 5 of Table A.3 and
Fig. 2)
place them among the most powerful starburst galaxies in the Universe.
Such extreme SFRs likely result from major mergers (e.g. Berciano
Alba et al. 2010; Younger et al. 2007; Swinbank
et al. 2004; Narayanan et al. 2010;
Chapman
et al. 2004; Narayanan et al. 2009;
Younger
et al. 2008; Tacconi et al. 2008,2006;
Greve
et al. 2005) and cannot be sustained for a long
period (after a few hundred Myr at most the gas reservoir should be
depleted; see Hainline
et al. 2006; Greve et al. 2005).
On the other hand, their extinction-uncorrected UV SFRs are
two orders of magnitude lower (median 7
yr-1,
Col. 4). This implies that the majority of star formation
in SMGs is hidden by dust. Therefore, optical observations
alone are not sufficient to investigate their nature and contribution
to cosmic star formation.
Using stellar masses of SMGs we placed lower limits on the
time-averaged SFRs required to build their stellar masses within the
age of the Universe (
),
shown as empty circles in Fig. 2. Their median
value of
130
indicates
that SMGs had to be relatively highly star-forming throughout the age
of the Universe to build up their stellar populations at a constant
rate. Even if our estimates of stellar masses were underestimated by a
factor of a few due to systematic uncertainties (Sect. 4), the SMGs
would have had to be luminous infrared galaxies (LIRGs with
SFR
yr-1)
during their evolution.
Having constrained the mass of stars formed during the ongoing
starburst episode, ,
we can further constrain the minimum average SFR of SMGs before
the onset of this starburst,
(plus
signs in Fig. 2).
The median is still high,
,
so SMGs must have been highly star-forming in the past too. At
redshifts 2-3 the age of the Universe is
3-2 Gyr and it is
unlikely that a galaxy can sustain this high SFR over such a long
period. Therefore we conclude that either the stellar masses
of SMGs have been formed in at least two strong
(>100
)
starburst episodes or continuously over the period of
2-3 Gyr but in several smaller galaxies that eventually merged.
In order to build up the stellar mass of one SMG, five such galaxies
would need to form stars continuously at a rate of
,
a value more likely to be sustainable over several Gyr. The latter
scenario is consistent with the results of Dye
et al. (2008) based on observed optical to mid-IR
data of 51 SMGs with photometric redshifts. They found that
approximately half the stellar mass in SMGs has been formed over a long
(
1-2 Gyr)
period of approximately constant star formation activity. The
possibility that a significant part of stellar mass in SMGs was formed
before the ongoing starburst has also been suggested by Hainline (2008),
who compared the build-up timescale of stellar mass and the duration of
the SMG phase.
The median value of the SFR per unit stellar mass
(SSFR SFR
,
Col. 7 of Table A.3) of
1.8
is
within the range for other high-z star-forming
samples (compare with Figs. 2 and 4 of Castro Cerón
et al. 2006,2009, respectively). This
indicates that SMGs are forming stars intensely.
SSFRs are compared with (the inverse of) the age of the
Universe in Fig. 2.
The SMGs close to the solid line could have formed their stellar
populations at the present rate within the age of the Universe.
However, the SMGs close to, or above the dashed line could have formed
their stars at the present rate within less than 10% of the age of the
Universe, i.e., within 300 Myr
at z=2. These galaxies are experiencing a powerful
starburst episode.
At the extreme there are three high-z SMGs with very high
SSFRs
(Col. 7
of Table A.3).
They
are all hot (
K, Col. 13)
and formed the majority of their stellar populations during the ongoing
starburst (
%,
Col. 9). Therefore they are likely the most powerful cases of
SMGs formed in major mergers of galaxies with huge gas reservoirs that
were subsequently converted into stars.
Our median SSFR at z>1.7 (
)
is a factor of
2 lower
than that of Dunne
et al. (2009, 3-
;
see their Fig. 12b) for
galaxies
at these redshifts. This difference can
be explained if the radio luminosities (used by Dunne et al. 2009,
to estimate SFRs) are boosted by AGN activity more than the IR
luminosities used here. Indeed, if we use SFR
instead of SFR
to calculate SSFRs the median for the SMGs at z>1.7
increases to
(see Sect. 5.4.2
for discussion of AGN contamination in our sample).
In order to assess the accuracy of SFR estimates based on
radio emission (independent of SED modeling) we compared the ratio of
.
Its median value is equal to
1.3. Hence, assuming that IR
emission is a good proxy for SFR, then radio estimates suffer from a
30%
systematic error. This is illustrated in Fig. 5 where the
dashed line denotes the relation between IR and radio luminosities
required to make SFR
.
Indeed the radio luminosity gives systematically higher SFRs for SMGs
(most of the points are above the line). This can be caused by a
significant AGN contamination boosting radio flux (see Sect. 5.4.2), or a strong
bias favouring radio-bright galaxies, because those non-detected at
radio do not enter our sample (Sect. 2).
Alternatively, it could be that for luminous galaxies either the IR
conversion of Kennicutt
(1998) should be scaled up by a factor of 1.3, or
the radio conversion of Bell
(2003) scaled down.
![]() |
Figure 5:
Radio luminosity density as a function of infrared (8- |
Open with DEXTER |
5.2.2 Stellar masses
SMGs having stellar masses of 1011-
(Col. 8 of
Table A.3
and
Fig. 2)
are among the most massive galaxies in the Universe, regardless of
redshift (compare with Figs. 2 and 4 of Castro Cerón
et al. 2006,2009, respectively). This
property makes them natural candidates for the progenitors of the
present-day ellipticals.
The relatively tight range of stellar masses is likely not a
result of sensitivity limits at optical and near-IR. This is because
i) galaxies with stellar mass as low as
would have been detected in
deep Spitzer imaging at
redshifts
(e.g. Reddy et al. 2006);
ii) our sample accounts for 50% of the parent Chapman et al.
(2005) sample (and only 30% of the parent sample may
have different properties than our sample, see Sect. 2), so it is
unlikely that we miss only the low-mass objects. Therefore, high M*
seems to be an intrinsic property of submillimeter-selected galaxies.
Mergers of less massive galaxies could not result in a powerful
starburst giving rise to detectable submillimeter emission (see also Davé et al. 2010).
Only a minor part (median 8%,
Col. 9 of Table A.3 and
Fig. 2)
of the stellar populations present in SMGs has been formed
during the ongoing starburst episodes. Hence, even though
SMGs probably evolve into ellipticals, the majority of the stellar mass
in such ellipticals had been created before the submillimeter-bright
phase.
This could mean that the current SFRs and stellar masses of
SMGs are only loosely connected and indeed this manifests itself in a
very high spread (around two orders of magnitude) in SSFRs in our
sample even though the stellar mass range is relatively tight:
-
(Fig. 2).
This behaviour is unusual compared to other galaxies (see Castro Cerón
et al. 2006,2009).
However we note that the low stellar masses created in the
ongoing starburst may partially be an effect of the assumed starburst
ages of 50 Myr. If a starburst duration of
100-200 Myr were adopted (Tacconi et al. 2008; Hainline
2008; Borys
et al. 2005; Smail et al. 2004)
the resulting
could be higher by a factor of
2-4.
The mass-to-light ratios, M*/LK,
of SMGs (Col. 10 of Table A.3 and
Fig. 2)
are typical for massive galaxies. Specifically, the median (
)
is similar to the values for
galaxies
(Drory
et al. 2004, their Table 1) and to
simulated massive galaxies at
(Courty et al. 2007,
their Fig. 4).
5.2.3 Dust properties
Our fits suggest that SMGs are moderately dust-obscured with a median
mag (Col. 14 of Table A.3). Our
estimates are consistent within 1-
with the mean/median values obtained by Smail et al. (2004,
1.70-2.44), Swinbank
et al. (2004,
), Borys
et al. (2005,
) and Hainline (2008,
)
based on near-IR data. For individual SMGs we obtained systematically
larger extinction (median difference of
0.3 mag) than Hainline (2008).
The difference may be accounted for if there is significant extinction
even in Spitzer IRAC data.
The dust density of SMGs at z<0.5
(Col. 9 of Table 1) is
approximately 3% of the total local (
0.013<z<0.18)
dust budget of
given
by Driver
et al. (2007) based on an assumed dust-to-light
ratio.
Therefore SMGs contribute very little to the dust budget at low
redshifts.
In our sample of SMGs
does
not change significantly from
to
.
We do not detect any evolution of dust mass in SMGs across the entire
redshift range (Fig. 2).
A constant dust mass density across redshifts 0-3.5 was also found by Pascale et al.
(2009) based on a stacking analysis at submillimeter
wavelengths of galaxies selected at
m.
The question is what happened to the dust produced in SMGs. If they evolve into dust-poor ellipticals, then the dust is not simply stored in their end-products (as is probably the case for stellar masses). It is therefore plausible that dust is either blown away (by stellar and/or AGN winds) or absorbed in star formation, or destroyed during subsequent evolution after the SMG event.
5.2.4 Comparison with GRB hosts
In Michaowski
et al. (2008) we presented a hypothesis that
gamma-ray burst (GRB) host galaxies may constitute a subsample of
hotter/less luminous counterparts of SMGs.
Indeed, the UV-to-IR SEDs of three -3 SMGs
are consistent with
submillimeter/radio bright GRB hosts (dashed lines in Fig. A.1 from Michaowski
et al. 2008), but 1.2-3.9 times more luminous. These
three SMGs are similar to GRB hosts with respect to their hot dust
temperatures (
40-60 K),
high SSFRs (
2 Gyr-1,
high fraction of stellar mass formed in the ongoing starburst
(>10%) and blue optical colors.
If larger samples of GRB hosts shows a similar tendency that their brightest members overlap with the hotter subsample of SMGs, then GRB events will provide an effective way of selecting hot SMGs, otherwise difficult to localize.
5.3 Contribution to stellar mass assembly
5.3.1 Star formation rate volume density
SFR densities of SMGs were calculated as described in Sect. 3.2. In order to assess the accuracy of our simplified method of dividing the sum of the SFRs of the detected SMGs by the total survey volume, we compare our estimates with those resulting from detailed calculation of the volume contribution of individual SMGs done by Chapman et al. (2005, based on the same sample as we analyse) and Wall et al. (2008, based on 35 SMGs in GOODS-N field of which 17 have spectroscopic redshifts). The comparison is shown in Fig. 4. Our results in two high-redshift bins (z>2) corrected for incompleteness (Sect. 3.2) are consistent with that of Chapman et al. (2005) and Wall et al. (2008). At lower redshifts we find values similar to Chapman et al. (2005), but an order of magnitude lower than Wall et al. (2008). Therefore we conclude that i) our method to calculate volumes is accurate, since it gives consistent results with other estimates; and ii) our sample is incomplete in the three low-redshift bins as anticipated in Sect. 2.
From Fig. 4
(and Cols. 4 and 5 of Table 1) it is apparent
that a
of SMGs starts to decline (with cosmic time) earlier ( about
)
than that of other galaxies (
). More quantitatively, SMGs
harbour
20%
of the cosmic
at
-3.6
(Col. 5), but their contribution drops to
9% at
0.5<z<1.4. It is likely that at lower
redshifts, due to the decreased rate of mergers (e.g. de Ravel
et al. 2009; Rawat et al. 2008), there
are fewer galaxies left that can still sustain high SFRs to be detected
at submillimeter wavelengths. However, part of the decrease of SMG
can
be explained by the ``redshift desert'', which makes it difficult
to measure redshifts of
-1.8 SMGs
(see Sect. 2).
A high value of
of SMGs at
-3
and the subsequent decline are consistent with the hypothesis that the
SMG population is a manifestation of powerful starburst episodes
evolving into the present-day ellipticals (as discussed in
Sect. 5.2.2).
In this scenario galaxies detected in the submillimeter at high-z
do not enter the sample of SMGs at low-z because
they have already evolved into passive galaxies. It has indeed been
found that ellipticals contain old stars formed at
-4 (Daddi
et al. 2000; van de Ven et al. 2003; van Dokkum
& Franx 2001).
The evolution of SMGs into ellipticals has also been claimed by several
authors based on their luminosity function (Smail et al. 2004),
huge luminosities (Eales
et al. 1999) and gas reservoirs (Smail
et al. 2002; Greve et al. 2005),
strong clustering (Ivison
et al. 2000; Almaini et al. 2003),
space density and morphology (Swinbank et al. 2006; Lilly
et al. 1999; Trentham et al. 1999; Barger
et al. 1999) and evolutionary SED models (Takagi et al. 2004).
Knudsen et al.
(2008b) analysed number counts of SMGs fainter than the SCUBA
confusion limit, using those behind clusters of galaxies magnified by
lensing. They concluded that the integrated light produced by the SMGs
brighter than 0.1 mJy (i.e. LIRGs and ULIRGs with
roughly
and
SFR
yr-1)
is comparable to the extragalactic background light (EBL) at
m (see also Blain
et al. 1999; Cowie et al. 2002). This
means that these galaxies host the majority of the cosmic obscured
star formation. Knudsen
et al. (2008b) also found that sources brighter than
2.5 mJy (roughly the limit of the survey considered here)
contribute
25%
to the to EBL at
m
(see also Hughes et al. 1998;
Wang
et al. 2004; Coppin et al. 2006; Barger
et al. 1999). Together with our results this implies
that as much as
80%
(
%) of the
cosmic star formation at
-3.6
reside in SMGs brighter than 0.1 mJy. This is only true if the faint
(<2 mJy) SMGs have similar dust temperatures to the
brighter ones. If they are colder (hotter) their submillimeter fluxes
corresponds to lower (higher) SFRs (because it is calibrated to total
IR emission) and therefore the total SMG population contribute less
(more) than 80% to the cosmic
.
This picture is however complicated, because based on stacking analysis
it has been claimed that the distribution of the faint SMGs peaks at
lower redshifts (z<1.5; Serjeant
et al. 2008; Wang et al. 2006).
Our overall conclusion is that the SMG population
plays a significant role at redshifts -4,
namely sources brighter than
3 (0.1) mJy at
m host
20% (80%) of cosmic star formation. Their
contribution can however be lower in reality if very small (but
numerous) galaxies are missed in all high-z
flux-limited galaxy surveys. In such a case the total SFR density
(color points in Fig. 4)
would be underestimated. To solve this issue much deeper surveys at
high-z are necessary, either blank-field or for
well-selected dwarf galaxy samples (e.g., GRB hosts or Ly
emitters).
Zheng
et al. (2007) estimated
at
for massive
galaxies (
)
down to R<24 mag (only
40% of SMGs
satisfy the latter criterion) equal to
.
This value is only a factor of 2 lower than our estimate for the SMGs
at 0.5<z<1.4 (Table 1). Therefore,
although SMGs do not host a major fraction of the cosmic SFR at these
redshifts, they contribute significantly (
%)
to the SFR budget of massive galaxies.
5.3.2 Stellar mass volume density
Stellar mass densities of SMGs were calculated as described in
Sect. 3.2.
Figure 4
and Table 1
(Cols. 6 and 7) show that at -3.6
a significant part (
30-50%) of the
cosmic stellar mass had been formed in the progenitors of SMGs.
At lower redshifts
of SMGs (and hence their contribution to the cosmic
)
drops, likely because the majority of SMGs at higher redshifts had
already evolved into passive galaxies at
,
and so dropped out of our submillimeter-selected sample. Moreover the
sample is incomplete at
-1.8
due to the ``redshift desert'' (see Sect. 2). This brings
down the densities of SMGs in the low-z bins.
Since most of the stellar mass of SMGs has not been formed in
the ongoing starburst (Sect. 5.2.2), their
reflects the integrated contribution of SMGs to the cosmic
.
Therefore the relatively high contribution of SMGs to the cosmic
in the last redshift bin (
31%,
Col. 7 of Table 1)
means that SMGs play a non-negligible role in the cosmic stellar
assembly even at z>3.6. This can be tested
by analysis of a sample of
SMGs in a defined
survey sky area (e.g. Younger et al. 2009a; Michaowski
et al. 2010, note that these results are likely
affected by cosmic variance). It has been confirmed that such distant
SMGs exist (Knudsen
et al. 2008a; Capak et al. 2008; Daddi
et al. 2009b; Schinnerer et al. 2008;
Coppin
et al. 2009; Knudsen et al. 2010; Daddi
et al. 2009a).
5.4 Source of emission
5.4.1 IR-radio correlation
With our full SED modelling of 76 SMGs we confirm
the results of Hainline
(2008) on the correlation between IR and radio luminosities.
Figure 5
shows that SMGs follow a linear IR-radio correlation. The two outliers
(with ,
see Sect. 5.4.2)
are probably caused by AGN activity contributing significantly to radio
luminosities. A linear fit gives:
The slope is consistent (within errors) with unity, suggestive of the linear relation between




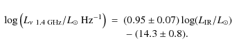
The IR-radio correlation is usually quantified by the ratio of
IR and radio luminosities, q (see Sect. 3.1). The mean q
for SMGs (
,
scatter: 0.34) is significantly lower than that of local star-forming
galaxies (2.64 with a scatter of 0.26; Bell 2003). Similar
offsets were reported by Kovács
et al. (2006), Murphy
et al. (2009) and Murphy
(2009) based on smaller samples of SMGs. We
conclude that at z>1.4 SMGs
have radio luminosities on average a factor of
2.1
larger (
) than what would
result from the local relation. The difference is
significant at the level of 4-
and can be explained in three ways.
Radio-loud AGNs have on average low q
values (see e.g. Miller
& Owen 2001; Yang et al. 2007; Yun et al.
2001).
If 50%
of the radio emission of SMGs is powered by AGNs, then the radio
luminosities of SMGs higher by a factor of
2.1 can be accounted for.
However, there are indications that SMGs are starburst-dominated (see
Sect. 5.4.2),
so we deem this explanation less likely.
Another explanation is that the radio excess is a result of the bias against radio-faint sources in our sample (see Sect. 2). This can be tested when a sample of SMGs with localizations (and hence redshifts) independent of radio detections is available (e.g. Daddi et al. 2009b; Weiß et al. 2009a; Knudsen et al. 2010; Daddi et al. 2009a).
The third possibility is that some properties influencing the
IR or radio emission are intrinsically different for SMGs and local
galaxies. The sample of Bell
(2003) includes local normal, star-forming spiral and
irregular galaxies, blue compact dwarfs, starburst galaxies and ULIRGs.
Therefore the difference in the properties between this sample and such
extreme galaxies as SMGs is expected. Such explanation was offered by Lacki et al. (2009) and Lacki & Thompson (2009).
Their numerical modelling showed that cosmic-ray electrons in ``puffy
starbursts'' (vertically and radially extended galaxies with vertical
scale heights 1 kpc)
experience weaker bremsstrahlung and ionization losses resulting in
stronger radio emission. Indeed, there are indications that SMGs are
extended on vertical scales of
1 kpc (Genzel
et al. 2008; Lacki & Thompson 2009; Law et al.
2009; Tacconi
et al. 2008; Younger et al. 2008; Tacconi
et al. 2006), so we find this explanation probable.
The systematic uncertainties in the determination of
(factor of
2,
Sect. 4)
may in principle also explain the offset. However, we find this
unlikely because similar offsets were found by other authors using
different fitting methods (Murphy et al. 2009; Kovács
et al. 2006; Murphy 2009).
![]() |
Figure 6:
The ratio of the infrared (8- |
Open with DEXTER |
The q values for SMGs are shown in Fig. 6 as a function of
redshift. We do not detect any significant evolution across the
redshift range 1.4-3.6. The only sign of evolution is that the mean q
in the low-redshift bin (0.5<z<1.4) is
above the value found at higher redshifts (4
). This can be explained
either by the contribution of reprocessed emission from low-mass stars
(cirrus emission, e.g. Yun
et al. 2001, and references therein) to the IR, or
by the fact that at low redshifts SMGs are more similar to other local
galaxies and do not exhibit large vertical scale heights characteristic
for ``puffy starbursts'' (see above).
It is important to note that the derived linear IR-radio correlation for SMGs is not a consequence of the use of the SED templates (which were tuned to fulfill this correlation locally), because the radio luminosities used here were derived based on the observational data only, independent of the SED modeling.
5.4.2 AGN activity
As discussed in Sect. 5.4.1,
AGN activity could explain low q values of
SMGs. This is at least true for the two SMGs with lowest q, spectroscopically
classified as AGN (Chapman
et al. 2005).
In the SEDs of SMGs there are clear signs that some of them
host AGNs (though, not necessarily a bolometrically dominant ones).
Radio datapoints are higher than model predictions by more than 3
in 36% (27/76) of SMGs, whereas they are lower than models only for 8%
(6/76). This may hint at an AGN contribution in these galaxies.
However, 4 out of 5 X-ray identified starbursts
(Col. 16 of Table A.3) also
exhibit radio excess, so we find other explanations of radio excess
presented in Sect. 5.4.1
more reliable.
Another indication of an AGN contribution is that 18% (14/76)
of SMGs show a mid-IR power-law AGN feature incompatible with our
starburst models (see Fig. A.1
and Col. 16 of Table A.3).
However, rest-frame 2-m
excess was also interpreted as a tracer of recent star formation (Mentuch et al. 2009).
Finally, three SMGs
have exceptionally high SFR
(>
,
Col. 4 of Table A.3).
Strikingly, all of them were fitted with non-starburst models (
,
Col. 9), so modeling is consistent with these high SFRs being
continuous (the same is true for three other non-starburst SMGs with
high SFR
).
Such a scenario is unlikely, so this hints at an AGN contribution to
the UV/IR emission.
However, the fact that we obtained reasonable SED fits for most of the SMGs using purely star-forming models (Fig. A.1) hints at the conclusion that AGN activity is not dominant in our sample.
We investigated the issue of AGN activity further by analysing
the average q values of the following subsamples
(see also Fig. 6):
X-ray identified (Alexander
et al. 2005) AGNs:
and
starbursts:
;
optically identified AGNs (Chapman
et al. 2005):
;
and mid-IR identified AGNs (see above):
.
All subsamples are consistent with the value derived for the entire
sample (2.32) Hence, we confirm the finding of Hainline (2008)
that even the AGN-classified SMGs follow a linear IR-radio correlation.
This means that even if an AGN is present it does not contribute to the
emission of an SMG significantly (with the exception of the two
sources).
This is in line with i) the X-ray studies of SMGs indicating
that the contribution of AGN activity to their IR emission is only 8% on
average (Alexander
et al. 2005); ii) mid-IR colors of SMGs
indicating that AGNs dominate the emission at these wavelengths only in
13-19% cases (Hainline
et al. 2009);
iii) mid-IR spectroscopy of SMGs revealing only weak AGN-like continua (Watabe
et al. 2009; Pope et al. 2008;
Murphy
et al. 2009; Menéndez-Delmestre
et al. 2007,2009; Valiante
et al. 2007); iv) near-IR
spectroscopy revealing that starbursts dominate the emission of SMGs (Swinbank et al. 2004).
Moreover, de Vries et al.
(2007) found that star formation processes (if present)
account for at least 75% of the radio luminosities of
optically-selected AGNs.
Therefore we conclude that AGNs are present in a significant fraction of SMGs, but their contribution to the IR emission is at most minor.
5.5 Comparison of our results with the literature
For the sample of SMGs discussed in this paper there are previous estimates of some of their properties. In this section we compare them with our results.
Chapman
et al. (2005) derived
and
based only on the
m
and 1.4 GHz data. There is no systematic difference between
the determinations of
(our median of 38.7 K, theirs: 38.3 K). The mean
difference between individual datapoints is 4 K (
10%).
However, our values for
are systematically lower than theirs (the median ratio of individual
datapoints is
1.7). We find our values more reliable since they are based on data
spanning a wider wavelength range. Overestimation of
when using
only
m
and 1.4 GHz was also noticed by Kovács et al. (2006)
and Pope et al.
(2006).
Kovács
et al. (2006) investigated a subsample observed at m. Their
median dust mass (
)
and q value (2.20) are consistent with our
estimates (9.01 and 2.35, respectively). The median difference between
individual datapoints is
30%
for dust masses and
13%
for q.
The median stellar mass for a subsample of 13 SMGs
investigated by Borys et al.
(2005, )
is close to our value (11.70). However, estimates of Hainline (2008,
median
)
for 64 SMGs are a factor of
5.6 smaller than our values
(11.57). Hainline
(2008) postulated that the discrepancy between her results
and those of Borys et al.
(2005) arose from a combination of systematic differences
between the applied SED models and a higher AGN contribution in the K-band
(used by Borys et al. 2005)
with respect to the H-band. Our estimates are based
on all the available photometric data, and so we find the former
explanation more likely. In particular, the differences in the applied
stellar population models and their ages may explain the discrepancy.
6 Conclusions
We have investigated the UV-to-radio SEDs of 76 SMGs (
mJy) with
spectroscopic redshifts (0.080-3.623). For the first time the
properties of such a significant sample has been derived consistently
using all available data. The resulting SFRs (median
)
and stellar masses (
)
are among the highest in the Universe.
Such high stellar masses, already present at redshifts 2-3, require
that SMGs experienced either at least two starburst episodes, or a
merger of several smaller galaxies. Our modeling suggests that only a
minor fraction (8%) of their stellar populations was formed during the
ongoing starburst episodes. This is supported by the fact that the SFRs
and M* of SMGs are basically
disconnected, i.e. we observe two orders of magnitude spread
in SSFRs whereas the range of M*
is relatively narrow: 1011-
.
We concluded that dust is blown away or destroyed during the evolution
of SMGs, since it is not stored in the likely end-products of SMGs,
elliptical galaxies.
Indeed, the high stellar masses and the evolution of the SFR and stellar mass densities of SMGs are consistent with a scenario in which SMGs are progenitors of present-day ellipticals.
We found that SMGs contribute significantly to the cosmic SFR,
(
20%) and
stellar mass,
(30-50%) densities at
-4.
If we consider submillimeter sources down to 0.1 mJy the
contribution to
rises to
80%.
Our analysis suggests that a linear IR-radio correlation holds
for SMGs at least up to a redshift of 3.6, but they are 2.1 times
brighter at radio wavelengths than what would result from the local
correlation.
We thank Joanna Baradziej, José María Castro Cerón, Thomas Greve, Brian Lacki, Kim Nilsson, Jesper Sommer-Larsen, Sune Toft, Bärbel Tress and Gunther Tress for discussion and comments; our referee for help with improving this paper; Scott Chapman for information on the survey areas; Jorge Iglesias-Páramo for kindly providing his SED templates; and Fabio Fontanot for kindly providing his model and data on star formation density. We acknowledge use of the extensive Spitzer database in the PhD thesis of Laura Hainline.M. J. M. would like to acknowledge support from The Faculty of Science, University of Copenhagen. The Dark Cosmology Centre is funded by the Danish National Research Foundation. This research has made use of NASA's Astrophysics Data System Bibliographic Services.
References
- Ajiki, M., Taniguchi, Y., Fujita, S., et al. 2003, AJ, 126, 2091 [NASA ADS] [CrossRef] [Google Scholar]
- Alexander, D. M., Bauer, F. E., Chapman, S. C., et al. 2005, ApJ, 632, 736 [NASA ADS] [CrossRef] [Google Scholar]
- Alexander, D. M., Brandt, W. N., Smail, I., et al. 2008, AJ, 135, 1968 [NASA ADS] [CrossRef] [Google Scholar]
- Almaini, O., Scott, S. E., Dunlop, J. S., et al. 2003, MNRAS, 338, 303 [NASA ADS] [CrossRef] [Google Scholar]
- Appleton, P. N., Fadda, D. T., Marleau, F. R., et al. 2004, ApJS, 154, 147 [NASA ADS] [CrossRef] [Google Scholar]
- Aravena, M., Bertoldi, F., Carilli, C., et al. 2010, ApJ, 708, L36 [NASA ADS] [CrossRef] [Google Scholar]
- Arnouts, S., Walcher, C. J., Le Fèvre, O., et al. 2007, A&A, 476, 137 [NASA ADS] [CrossRef] [EDP Sciences] [Google Scholar]
- Ashby, M. L. N., Dye, S., Huang, J.-S., et al. 2006, ApJ, 644, 778 [NASA ADS] [CrossRef] [Google Scholar]
- Austermann, J. E., Aretxaga, I., Hughes, D. H., et al. 2009, MNRAS, 393, 1573 [NASA ADS] [CrossRef] [Google Scholar]
- Barger, A. J., Cowie, L. L., & Sanders, D. B. 1999, ApJ, 518, L5 [NASA ADS] [CrossRef] [Google Scholar]
- Barger, A. J., Cowie, L. L., & Richards, E. A. 2000, AJ, 119, 2092 [Google Scholar]
- Bell, E. F. 2003, ApJ, 586, 794 [Google Scholar]
- Bell, E. F., McIntosh, D. H., Katz, N., et al. 2003, ApJS, 149, 289 [NASA ADS] [CrossRef] [Google Scholar]
- Bell, E. F., Zheng, X. Z., Papovich, C., et al. 2007, ApJ, 663, 834 [NASA ADS] [CrossRef] [Google Scholar]
- Berciano Alba, A., Koopmans, L. V. E., Garrett, M. A., Wucknitz, O., & Limousin, M. 2010, A&A, 509, A54 [NASA ADS] [CrossRef] [EDP Sciences] [Google Scholar]
- Beswick, R. J., Muxlow, T. W. B., Thrall, H., Richards, A. M. S., & Garrington, S. T. 2008, MNRAS, 385, 1143 [NASA ADS] [CrossRef] [Google Scholar]
- Blain, A. W. 1997, MNRAS, 290, 553 [NASA ADS] [Google Scholar]
- Blain, A. W., & Longair, M. S. 1996, MNRAS, 279, 847 [NASA ADS] [Google Scholar]
- Blain, A. W., Kneib, J., Ivison, R. J., et al. 1999, ApJ, 512, L87 [NASA ADS] [CrossRef] [Google Scholar]
- Blain, A. W., Smail, I., Ivison, R. J., Kneib, J. P., & Frayer, D. T. 2002, Phys. Rep., 369, 111 [NASA ADS] [CrossRef] [Google Scholar]
- Blain, A. W., Chapman, S. C., Smail, I., et al. 2004, ApJ, 611, 52 [NASA ADS] [CrossRef] [Google Scholar]
- Borch, A., Meisenheimer, K., Bell, E. F., et al. 2006, A&A, 453, 869 [NASA ADS] [CrossRef] [EDP Sciences] [Google Scholar]
- Borys, C., Smail, I., Chapman, S. C., et al. 2005, ApJ, 635, 853 [NASA ADS] [CrossRef] [Google Scholar]
- Bouwens, R., Broadhurst, T., & Illingworth, G. 2003a, ApJ, 593, 640 [NASA ADS] [CrossRef] [Google Scholar]
- Bouwens, R. J., Illingworth, G. D., Rosati, P., et al. 2003b, ApJ, 595, 589 [NASA ADS] [CrossRef] [Google Scholar]
- Bouwens, R. J., Illingworth, G. D., Thompson, R. I., et al. 2004, ApJ, 606, L25 [NASA ADS] [CrossRef] [Google Scholar]
- Bouwens, R. J., Illingworth, G. D., Blakeslee, J. P., et al. 2006, ApJ, 653, 53 [NASA ADS] [CrossRef] [Google Scholar]
- Bouwens, R. J., Illingworth, G. D., Franx, M., et al. 2007, ApJ, 670, 928 [NASA ADS] [CrossRef] [Google Scholar]
- Boyle, B. J., Cornwell, T. J., Middelberg, E., et al. 2007, MNRAS, 376, 1182 [NASA ADS] [CrossRef] [Google Scholar]
- Brinchmann, J., & Ellis, R. S. 2000, ApJ, 536, L77 [NASA ADS] [CrossRef] [Google Scholar]
- Brinchmann, J., Charlot, S., White, S. D. M., et al. 2004, MNRAS, 351, 1151 [NASA ADS] [CrossRef] [Google Scholar]
- Bundy, K., Ellis, R. S., Conselice, C. J., et al. 2006, ApJ, 651, 120 [NASA ADS] [CrossRef] [Google Scholar]
- Bunker, A. J., Stanway, E. R., Ellis, R. S., et al. 2004, MNRAS, 355, 374 [NASA ADS] [CrossRef] [Google Scholar]
- Capak, P., Cowie, L. L., Hu, E. M., et al. 2004, AJ, 127, 180 [NASA ADS] [CrossRef] [Google Scholar]
- Capak, P., Carilli, C. L., Lee, N., et al. 2008, ApJ, 681, L53 [Google Scholar]
- Caputi, K. I., McLure, R. J., Dunlop, J. S., Cirasuolo, M., & Schael, A. M. 2006, MNRAS, 366, 609 [NASA ADS] [CrossRef] [Google Scholar]
- Caputi, K. I., Lagache, G., Yan, Lin, et al. 2007, ApJ, 660, 97 [NASA ADS] [CrossRef] [Google Scholar]
- Castro Cerón, J. M., Micha▯owski, M., Hjorth, J., et al. 2006, ApJ, 653, L85 [NASA ADS] [CrossRef] [Google Scholar]
- Castro Cerón, J. M., Micha▯owski, M. J., Hjorth, J., et al. 2009, ApJ, submitted, [arXiv:0803.2235v1] [Google Scholar]
- Chapman, S. C., Richards, E. A., Lewis, G. F., Wilson, G., & Barger, A. J. 2001, ApJ, 548, L147 [NASA ADS] [CrossRef] [Google Scholar]
- Chapman, S. C., Barger, A. J., Cowie, L. L., et al. 2003a, ApJ, 585, 57 [NASA ADS] [CrossRef] [Google Scholar]
- Chapman, S. C., Windhorst, R., Odewahn, S., Yan, H., & Conselice, C. 2003b, ApJ, 599, 92 [NASA ADS] [CrossRef] [Google Scholar]
- Chapman, S. C., Smail, I., Windhorst, R., Muxlow, T., & Ivison, R. J. 2004, ApJ, 611, 732 [NASA ADS] [CrossRef] [Google Scholar]
- Chapman, S. C., Blain, A. W., Smail, I., et al. 2005, ApJ, 622, 772 [NASA ADS] [CrossRef] [Google Scholar]
- Clements, D., Eales, S., Wojciechowski, K., et al. 2004, MNRAS, 351, 447 [NASA ADS] [CrossRef] [Google Scholar]
- Clements, D. L., Vaccari, M., Babbedge, T., et al. 2008, MNRAS, 387, 247 [NASA ADS] [CrossRef] [Google Scholar]
- Cohen, J. G. 2002, ApJ, 567, 672 [NASA ADS] [CrossRef] [Google Scholar]
- Cole, S., Norberg, P., Baugh, C. M., et al. 2001, MNRAS, 326, 255 [NASA ADS] [CrossRef] [Google Scholar]
- Condon, J. J. 1989, ApJ, 338, 13 [NASA ADS] [CrossRef] [Google Scholar]
- Condon, J. J. 1992, ARA&A, 30, 575 [NASA ADS] [CrossRef] [MathSciNet] [Google Scholar]
- Condon, J. J., Cotton, W. D., & Broderick, J. J. 2002, AJ, 124, 675 [NASA ADS] [CrossRef] [Google Scholar]
- Connolly, A. J., Szalay, A. S., Dickinson, M., Subbarao, M. U., & Brunner, R. J. 1997, ApJ, 486, L11 [NASA ADS] [CrossRef] [Google Scholar]
- Conselice, C. J., Blackburne, J. A., & Papovich, C. 2005, ApJ, 620, 564 [NASA ADS] [CrossRef] [Google Scholar]
- Coppin, K., Chapin, E. L., Mortier, A. M. J., et al. 2006, MNRAS, 372, 1621 [NASA ADS] [CrossRef] [Google Scholar]
- Coppin K., Halpern, M., & Scott, D. 2008, MNRAS, 384, 1597 [NASA ADS] [CrossRef] [Google Scholar]
- Coppin, K. E. K., Smail, I., Alexander, D. M., et al. 2009, MNRAS, 395, 1905 [NASA ADS] [CrossRef] [Google Scholar]
- Courty, S., Björnsson, G., & Gudmundsson, E. H. 2007, MNRAS, 376, 1375 [NASA ADS] [CrossRef] [Google Scholar]
- Cowie, L. L., & Hu, E. M. 1998, AJ, 115, 1319 [NASA ADS] [CrossRef] [Google Scholar]
- Cowie, L. L., Songaila, A., Hu, E. M., et al. 1996, AJ, 112, 839 [Google Scholar]
- Cowie, L. L., Songaila, A., & Barger, A. J. 1999, AJ, 118, 603 [NASA ADS] [CrossRef] [Google Scholar]
- Cowie, L. L., Barger, A. J., & Kneib, J. 2002, AJ, 123, 2197 [NASA ADS] [CrossRef] [Google Scholar]
- Daddi, E., Cimatti, A., & Renzini, A. 2000, A&A, 362, L45 [NASA ADS] [Google Scholar]
- Daddi, E., Dannerbauer, H., Krips, M., et al. 2009a, ApJ, 695, L176 [NASA ADS] [CrossRef] [Google Scholar]
- Daddi, E., Dannerbauer, H., Stern, D., et al. 2009b, ApJ, 694, 1517 [Google Scholar]
- Dahlen, T., Mobasher, B., Dickinson, M., et al. 2007, ApJ, 654, 172 [NASA ADS] [CrossRef] [Google Scholar]
- Davé, R., Finlator, K., Oppenheimer, B. D., et al. 2010, MNRAS, 404, 1355 [NASA ADS] [Google Scholar]
- de Ravel, L., Le Fèvre, O., Tresse, L., et al. 2009, A&A, 498, 379 [NASA ADS] [CrossRef] [EDP Sciences] [Google Scholar]
- de Vries, W. H., Hodge, J. A., Becker, R. H., White, R. L., & Helfand, D. J. 2007, AJ, 134, 457 [NASA ADS] [CrossRef] [Google Scholar]
- Devlin, M. J., Ade, P. A. R., Aretxaga, I., et al. 2009, Nature, 458, 737 [NASA ADS] [CrossRef] [PubMed] [Google Scholar]
- Dickinson, M., Papovich, C., Ferguson, H. C., et al. 2003, ApJ, 587, 25 [NASA ADS] [CrossRef] [Google Scholar]
- Driver, S. P., Allen, P. D., Graham, A. W., et al. 2006, MNRAS, 368, 414 [NASA ADS] [CrossRef] [Google Scholar]
- Driver, S. P., Popescu, C. C., Tuffs, R. J., et al. 2007, MNRAS, 379, 1022 [NASA ADS] [CrossRef] [Google Scholar]
- Drory, N., Bender, R., Feulner, G., et al. 2004, ApJ, 608, 742 [NASA ADS] [CrossRef] [Google Scholar]
- Drory, N., Salvato, M., Gabasch, A., et al. 2005, ApJ, 619, L131 [NASA ADS] [CrossRef] [Google Scholar]
- Dunne, L., Ivison, R. J., Maddox, S., et al. 2009, MNRAS, 394, 3 [NASA ADS] [CrossRef] [Google Scholar]
- Dye, S., Eales, S. A., Aretxaga, I., et al. 2008, MNRAS, 386, 1107 [NASA ADS] [CrossRef] [Google Scholar]
- Dye, S., Ade, P. A. R., Bock, J. J., et al. 2009, ApJ, 703, 285 [NASA ADS] [CrossRef] [Google Scholar]
- Eales, S., Lilly, S., Gear, W., et al. 1999, ApJ, 515, 518 [NASA ADS] [CrossRef] [Google Scholar]
- Eales, S., Chapin, E. L., Devlin, M. J., et al. 2009, ApJ, 707, 1779 [NASA ADS] [CrossRef] [Google Scholar]
- Egami, E., Dole, H., & Huang, J.-S. 2004, ApJS, 154, 130 [NASA ADS] [CrossRef] [Google Scholar]
- Elsner, F., Feulner, G., & Hopp, U. 2008, A&A, 477, 503 [NASA ADS] [CrossRef] [EDP Sciences] [Google Scholar]
- Erb, D. K., Steidel, C. C., Shapley, A. E., et al. 2006, ApJ, 646, 107 [NASA ADS] [CrossRef] [Google Scholar]
- Eyles, L. P., Bunker, A. J., Ellis, R. S., et al. 2007, MNRAS, 374, 910 [NASA ADS] [CrossRef] [Google Scholar]
- Flores, H., Hammer, F., Thuan, T. X., et al. 1999, ApJ, 517, 148 [NASA ADS] [CrossRef] [Google Scholar]
- Fomalont, E. B., Kellermann, K. I., Cowie, L. L., et al. 2006, ApJS, 167, 103 [NASA ADS] [CrossRef] [Google Scholar]
- Fontana, A., Donnarumma, I., Vanzella, E., et al. 2003, ApJ, 594, L9 [NASA ADS] [CrossRef] [Google Scholar]
- Fontana, A., Pozzetti, L., Donnarumma, I., et al. 2004, A&A, 424, 23 [NASA ADS] [CrossRef] [EDP Sciences] [Google Scholar]
- Fontana, A., Salimbeni, S., Grazian, A., et al. 2006, A&A, 459, 745 [NASA ADS] [CrossRef] [EDP Sciences] [Google Scholar]
- Franceschini, A., Rodighiero, G., Cassata, P., et al. 2006, A&A, 453, 397 [NASA ADS] [CrossRef] [EDP Sciences] [Google Scholar]
- Frayer, D. T., Chapman, S. C., Yan, L., et al. 2004, ApJS, 154, 137 [NASA ADS] [CrossRef] [Google Scholar]
- Fujita, S. S., Ajiki, M., Shioya, Y., et al. 2003a, AJ, 125, 13 [NASA ADS] [CrossRef] [Google Scholar]
- Fujita, S. S., Ajiki, M., Shioya, Y., et al. 2003b, ApJ, 586, L115 [NASA ADS] [CrossRef] [Google Scholar]
- Gallego, J., Zamorano, J., Aragon-Salamanca, A., et al. 1995, ApJ, 455, L1 [NASA ADS] [CrossRef] [Google Scholar]
- Gallego, J., García-Dabó, C. E., Zamorano, J., Aragón-Salamanca, A., & Rego, M. 2002, ApJ, 570, L1 [NASA ADS] [CrossRef] [Google Scholar]
- Garn, T., Green, D. A., Riley, J. M., et al. 2009, MNRAS, 397, 1101 [NASA ADS] [CrossRef] [Google Scholar]
- Garrett, M. A. 2002, A&A, 384, L19 [NASA ADS] [CrossRef] [EDP Sciences] [Google Scholar]
- Geach, J. E., Smail, I., Best, P. N., et al. 2008, MNRAS, 388, 1473 [NASA ADS] [CrossRef] [Google Scholar]
- Genzel, R., Burkert, A., Bouché, N., et al. 2008, ApJ, 687, 59 [NASA ADS] [CrossRef] [Google Scholar]
- Georgakakis, A., Hopkins, A. M., Sullivan, M., et al. 2003, MNRAS, 345, 939 [NASA ADS] [CrossRef] [Google Scholar]
- Giavalisco, M., Dickinson, M., Ferguson, H. C., et al. 2004, ApJ, 600, L103 [NASA ADS] [CrossRef] [Google Scholar]
- Glazebrook, K., Blake, C., Economou, F., Lilly, S., & Colless, M. 1999, MNRAS, 306, 843 [NASA ADS] [CrossRef] [Google Scholar]
- Glazebrook, K., Abraham, R. G., McCarthy, P. J., et al. 2004, Nature, 430, 181 [NASA ADS] [CrossRef] [Google Scholar]
- Greve, T. R., Ivison, R. J., Bertoldi, F., et al. 2004, MNRAS, 354, 779 [NASA ADS] [CrossRef] [Google Scholar]
- Greve, T. R., Bertoldi, F., Smail, I., et al. 2005, MNRAS, 359, 1165 [NASA ADS] [CrossRef] [Google Scholar]
- Gronwall, C. 1999, AIPC, 470, 335 [NASA ADS] [Google Scholar]
- Gronwall, C., Ciardullo, R., Hickey, Th., et al. 2007, ApJ, 667, 79 [NASA ADS] [CrossRef] [Google Scholar]
- Gruppioni, C., Pozzi, F., Zamorani, G., et al. 2003, MNRAS, 341, L1 [NASA ADS] [CrossRef] [Google Scholar]
- Gwyn, S. D. J., & Hartwick, F. D. A. 2005, AJ, 130, 1337 [NASA ADS] [CrossRef] [Google Scholar]
- Haarsma, D. B., Partridge, R. B., Windhorst, R. A., et al. 2000, ApJ, 544, 641 [NASA ADS] [CrossRef] [Google Scholar]
- Hainline, L. J. 2008, Multi-Wavelength Properties of Submillimeter-Selected Galaxies, Ph.D. Thesis, California Institute of Technology [Google Scholar]
- Hainline, L. J., Blain, A. W., Greve, T. R., et al. 2006, ApJ, 650, 614 [NASA ADS] [CrossRef] [Google Scholar]
- Hainline, L. J., Blain, A. W., Smail, I., et al. 2009, ApJ, 699, 1610 [NASA ADS] [CrossRef] [Google Scholar]
- Hammer, F., Flores, H., Lilly, S. J., et al. 1997, ApJ, 481, 49 [CrossRef] [Google Scholar]
- Hanish, D. J., Meurer, G. R., Ferguson, H. C., et al. 2006, ApJ, 649, 150 [NASA ADS] [CrossRef] [Google Scholar]
- Helou, G., Soifer, B. T., & Rowan-Robinson, M. 1985, ApJ, 298, L7 [Google Scholar]
- Hippelein, H., Maier, C., Meisenheimer, K., et al. 2003, A&A, 402, 65 [NASA ADS] [CrossRef] [EDP Sciences] [Google Scholar]
- Hogg, D. W., Cohen, J. G., Blandford, R., et al. 1998, ApJ, 504, 622 [NASA ADS] [CrossRef] [Google Scholar]
- Holland, W. S., Robson, E. I., Gear, W. K., et al. 1999, MNRAS, 303, 659 [NASA ADS] [CrossRef] [MathSciNet] [Google Scholar]
- Hopkins, A. M. 2004, ApJ, 615, 209 [NASA ADS] [CrossRef] [Google Scholar]
- Hopkins, A. M., & Beacom, J. F. 2006, ApJ, 651, 142 [NASA ADS] [CrossRef] [MathSciNet] [Google Scholar]
- Hopkins, A. M., Connolly, A. J., & Szalay, A. S. 2000, AJ, 120, 2843 [NASA ADS] [CrossRef] [Google Scholar]
- Hu, E. M., Cowie, L. L., & McMahon, R. G. 1998, ApJ, 502, L99 [NASA ADS] [CrossRef] [Google Scholar]
- Hughes, D. H., Serjeant, S., Dunlop, J., et al. 1998, Nature, 394, 241 [NASA ADS] [CrossRef] [Google Scholar]
- Huynh, M. T., Pope, A., Frayer, D. T., et al. 2007, ApJ, 659, 305 [NASA ADS] [CrossRef] [Google Scholar]
- Ibar, E., Cirasuolo, M., Ivison, R., et al. 2008, MNRAS, 386, 953 [NASA ADS] [CrossRef] [Google Scholar]
- Iglesias-Páramo, J., Buat, V., Hernández-Fernández, J., et al. 2007, ApJ, 670, 279 [NASA ADS] [CrossRef] [Google Scholar]
- Ilbert, O., Salvato, M., Le Floc'h, E., et al. 2010, ApJ, 709, 644 [NASA ADS] [CrossRef] [Google Scholar]
- Ivison, R. J., Dunlop, J. S., Smail, I., et al. 2000, ApJ, 542, 27 [NASA ADS] [CrossRef] [Google Scholar]
- Ivison, R. J., Greve, T. R., Smail, I., et al. 2002, MNRAS, 337, 1 [NASA ADS] [CrossRef] [Google Scholar]
- Ivison, R. J., Greve, T. R., Serjeant, S., et al. 2004, ApJS, 154, 124 [NASA ADS] [CrossRef] [Google Scholar]
- Ivison, R. J., Smail, I., Dunlop, J. S., et al. 2005, MNRAS, 364, 1025 [NASA ADS] [CrossRef] [Google Scholar]
- Ivison, R. J., Alexander, D. M., Biggs, A. D., et al. 2010, MNRAS, 402, 245 [NASA ADS] [CrossRef] [Google Scholar]
- Iwata, I., Ohta, K., Tamura, N., et al. 2003, PASJ, 55, 415 [NASA ADS] [Google Scholar]
- Iwata, I., Ohta, K., Tamura, N., et al. 2007, MNRAS, 376, 1557 [NASA ADS] [CrossRef] [Google Scholar]
- Kennicutt, R. C. 1998, ARA&A, 36, 189 [Google Scholar]
- Knudsen, K. K., Kneib, J. P., & Egami, E. 2008a, in Infrared Diagnostics of Galaxy Evolution, ed. R. R Chary, H. I. Teplitz, & K. Sheth, ASP Conf. Ser., 381, 372 [Google Scholar]
- Knudsen, K. K., van der Werf, P. P., & Kneib, J. P. 2008b, MNRAS, 384, 1611 [NASA ADS] [CrossRef] [Google Scholar]
- Knudsen, K. K., Kneib, J., Richard, J., Petitpas, G., & Egami, E. 2010, ApJ, 709, 210 [NASA ADS] [CrossRef] [Google Scholar]
- Kochanek, C. S., Pahre, M. A., Falco, E. E., et al. 2001, ApJ, 560, 566 [NASA ADS] [CrossRef] [Google Scholar]
- Kodaira, K., Taniguchi, Y., Kashikawa, N., et al. 2003, PASJ, 55, L17 [NASA ADS] [CrossRef] [Google Scholar]
- Kovács, A., Chapman, S. C., Dowell, C. D., et al. 2006, ApJ, 650, 592 [NASA ADS] [CrossRef] [Google Scholar]
- Kudritzki, R.-P., Méndez, R. H., Feldmeier, J. J., et al. 2000, ApJ, 536, 19 [NASA ADS] [CrossRef] [Google Scholar]
- Lacki, B. C., & Thompson, T. A. 2009, ApJ, submitted [arXiv:0910.0478] [Google Scholar]
- Lacki, B. C., Thompson, T. A., & Quataert, E. 2009, ApJ, submitted, [arXiv:0907.4161] [Google Scholar]
- Laurent, G. T., Glenn, J., Egami, E., et al. 2006, ApJ, 643, 38 [NASA ADS] [CrossRef] [Google Scholar]
- Law, D. R., Steidel, C. C., Erb, D. K., et al. 2009, ApJ, 697, 2057 [NASA ADS] [CrossRef] [Google Scholar]
- Lilly, S. J., Le Fevre, O., Hammer, F., et al. 1996, ApJ, 460, L1 [NASA ADS] [CrossRef] [Google Scholar]
- Lilly, S. J., Eales, S. A., Gear, W. K. P., et al. 1999, ApJ, 518, 641 [NASA ADS] [CrossRef] [Google Scholar]
- Ly, C., Malkan, M. A., Treu, T., et al. 2009, ApJ, 697, 1410 [NASA ADS] [CrossRef] [Google Scholar]
- Machalski, J., & Godlowski, W. 2000, A&A, 360, 463 [NASA ADS] [Google Scholar]
- Madau, P., Ferguson, H. C., Dickinson, M. E., et al. 1996, MNRAS, 283, 1388 [NASA ADS] [CrossRef] [Google Scholar]
- Madau, P., Pozzetti, L., & Dickinson, M. 1998, ApJ, 498, 106 [NASA ADS] [CrossRef] [Google Scholar]
- Malhotra, S., & Rhoads, J. E. 2004, ApJ, 617, L5 [NASA ADS] [CrossRef] [Google Scholar]
- Mann, R. G., Oliver, S., Carballo, R., et al. 2002, MNRAS, 332, 549 [NASA ADS] [CrossRef] [Google Scholar]
- Marchesini, D., van Dokkum, P. G., Förster Schreiber, N. M., et al. 2009, ApJ, 701, 1765 [NASA ADS] [CrossRef] [Google Scholar]
- Marleau, F. R., Fadda, D., Appleton, P. N., et al. 2007, ApJ, 663, 218 [NASA ADS] [CrossRef] [Google Scholar]
- Massarotti, M., Iovino, A., & Buzzoni, A. 2001, ApJ, 559, L105 [NASA ADS] [CrossRef] [Google Scholar]
- Mauch, T., & Sadler, E. M. 2007, MNRAS, 375, 931 [NASA ADS] [CrossRef] [Google Scholar]
- Menéndez-Delmestre, K., Blain, A. W., Alexander, D. M., et al. 2007, ApJ, 655, L65 [NASA ADS] [CrossRef] [Google Scholar]
- Menéndez-Delmestre, K., Blain, A. W., Smail, I., et al. 2009, ApJ, 699, 667 [NASA ADS] [CrossRef] [Google Scholar]
- Mentuch, E., Abraham, R. G., Glazebrook, K., et al. 2009, ApJ, 706, 1020 [NASA ADS] [CrossRef] [Google Scholar]
- Micha▯owski, M. J., & Hjorth, J. 2007, in The Multicolored Landscape of Compact Objects and Their Explosive Origins, ed. L. A. Antonelli, et al. (Melville, NY: AIP), AIP Conf. Ser., 924, 143 [NASA ADS] [CrossRef] [Google Scholar]
- Micha▯owski, M. J., Hjorth, J., Castro Cerón, J. M., et al. 2008, ApJ, 672, 817 [NASA ADS] [CrossRef] [Google Scholar]
- Micha▯owski, M. J., Hjorth, J., Malesani, D., et al. 2009, ApJ, 693, 347 [NASA ADS] [CrossRef] [Google Scholar]
- Micha▯owski, M. J., Watson, D., & Hjorth, J. 2010, ApJ, 712, 942 [NASA ADS] [CrossRef] [Google Scholar]
- Miller, N. A., & Owen, F. N. 2001, AJ, 121, 1903 [NASA ADS] [CrossRef] [Google Scholar]
- Mobasher, B., Dahlen, T., Hopkins, A., et al. 2009, ApJ, 690, 1074 [NASA ADS] [CrossRef] [Google Scholar]
- Moorwood, A. F. M., van der Werf, P. P., Cuby, J. G., et al. 2000, A&A, 362, 9 [NASA ADS] [Google Scholar]
- Murayama, T., Taniguchi, Y., Scoville, N. Z., et al. 2007, ApJS, 172, 523 [NASA ADS] [CrossRef] [Google Scholar]
- Murphy, E. J. 2009, ApJ, 706, 482 [NASA ADS] [CrossRef] [Google Scholar]
- Murphy, E. J., Chary, R. R., Alexander, D. M., et al. 2009, ApJ, 698, 1380 [NASA ADS] [CrossRef] [Google Scholar]
- Narayanan, D., Cox, T. J., Hayward, C. C., et al. 2009, MNRAS, 400, 1919 [NASA ADS] [CrossRef] [MathSciNet] [Google Scholar]
- Narayanan, D., Hayward, C. C., Cox, T. J., et al. 2010, MNRAS, 401, 1613 [NASA ADS] [CrossRef] [MathSciNet] [Google Scholar]
- Nilsson, K. K., Møller, P., Möller, O., et al. 2007, A&A, 471, 71 [NASA ADS] [CrossRef] [EDP Sciences] [Google Scholar]
- Nilsson, K. K., Tapken, C., Møller, P., et al. 2009, A&A, 498, 13 [NASA ADS] [CrossRef] [EDP Sciences] [Google Scholar]
- Ouchi, M., Shimasaku, K., Furusawa, H., et al. 2003, ApJ, 582, 60 [NASA ADS] [CrossRef] [Google Scholar]
- Ouchi, M., Shimasaku, K., Okamura, S., et al. 2004, ApJ, 611, 660 [NASA ADS] [CrossRef] [Google Scholar]
- Ouchi, M., Shimasaku, K., Akiyama, M., et al. 2008, ApJS, 176, 301 [NASA ADS] [CrossRef] [Google Scholar]
- Paltani, S., Le Fèvre, O., Ilbert, O., et al. 2007, A&A, 463, 873 [NASA ADS] [CrossRef] [EDP Sciences] [Google Scholar]
- Palunas, P., Teplitz, H. I., Francis, P. J., Williger, G. M., & Woodgate, B. E. 2004, ApJ, 602, 545 [NASA ADS] [CrossRef] [Google Scholar]
- Pascale, E., Ade, P. A. R., Bock, J. J., et al. 2009, ApJ, 707, 1740 [NASA ADS] [CrossRef] [Google Scholar]
- Pascarelle, S. M., Lanzetta, K. M., & Fernández-Soto, A. 1998, ApJ, 508, L1 [Google Scholar]
- Perera, T. A., Chapin, E. L., Austermann, J. E., et al. 2008, MNRAS, 391, 1227 [NASA ADS] [CrossRef] [Google Scholar]
- Pérez-González, P. G., Zamorano, J., Gallego, J., Aragón-Salamanca, A., & Gil de Paz, A. 2003, ApJ, 591, 827 [NASA ADS] [CrossRef] [Google Scholar]
- Pérez-González, P. G., Rieke, G. H., Egami, E., et al. 2005, ApJ, 630, 82 [NASA ADS] [CrossRef] [Google Scholar]
- Pérez-González, P. G., Rieke, G. H., Villar, V., et al. 2008, ApJ, 675, 234 [NASA ADS] [CrossRef] [Google Scholar]
- Pettini, M., Kellogg, M., Steidel, C. C., et al. 1998, ApJ, 508, 539 [NASA ADS] [CrossRef] [Google Scholar]
- Pope, A., Scott, D., Dickinson, M., et al. 2006, MNRAS, 370, 1185 [NASA ADS] [CrossRef] [Google Scholar]
- Pope, A., Chary, R.-R., Alexander, D. M., et al. 2008, ApJ, 675, 1171 [Google Scholar]
- Pozzetti, L., Bolzonella, M., Lamareille, F., et al. 2007, A&A, 474, 443 [NASA ADS] [CrossRef] [EDP Sciences] [Google Scholar]
- Pozzi, F., Gruppioni, C., Oliver, S., et al. 2004, ApJ, 609, 122 [NASA ADS] [CrossRef] [Google Scholar]
- Rawat, A., Hammer, F., Kembhavi, A. K., et al. 2008, ApJ, 681, 1089 [NASA ADS] [CrossRef] [Google Scholar]
- Reddy, N. A., Steidel, C. C., Fadda, D., et al. 2006, ApJ, 644, 792 [NASA ADS] [CrossRef] [Google Scholar]
- Reddy, N. A., Steidel, C. C., Pettini, M., et al. 2008, ApJS, 175, 48 [NASA ADS] [CrossRef] [Google Scholar]
- Rhoads, J. E., Dey, A., Malhotra, S., et al. 2003, AJ, 125, 1006 [NASA ADS] [CrossRef] [Google Scholar]
- Rieke, G. H., Alonso-Herrero, A., Weiner, B. J., et al. 2009, ApJ, 692, 556 [NASA ADS] [CrossRef] [Google Scholar]
- Rudnick, G., Rix, H.-W., Franx, M., et al. 2003, ApJ, 599, 847 [NASA ADS] [CrossRef] [Google Scholar]
- Rudnick, G., Labbé, I., Förster, S., et al. 2006, ApJ, 650, 624 [NASA ADS] [CrossRef] [Google Scholar]
- Sadler, E. M., Jackson, C. A., Cannon, R. D., et al. 2002, MNRAS, 329, 227 [NASA ADS] [CrossRef] [Google Scholar]
- Sajina, A., Yan, L., Lutz, D., et al. 2008, ApJ, 683, 659 [NASA ADS] [CrossRef] [Google Scholar]
- Salpeter, E. E. 1955, ApJ, 121, 161 [Google Scholar]
- Salucci, P., & Persic, M. 1999, MNRAS, 309, 923 [NASA ADS] [CrossRef] [Google Scholar]
- Sargent, M. T., Schinnerer, E., Murphy, E., et al. 2010, ApJS, 186, 341 [NASA ADS] [CrossRef] [Google Scholar]
- Santini, P., Fontana, A., Grazian, A., et al. 2009, A&A, 504, 751 [NASA ADS] [CrossRef] [EDP Sciences] [Google Scholar]
- Sawicki, M., & Thompson, D. 2006a, ApJ, 642, 653 [NASA ADS] [CrossRef] [Google Scholar]
- Sawicki, M., & Thompson, D. 2006b, ApJ, 648, 299 [NASA ADS] [CrossRef] [Google Scholar]
- Sawicki, M. J., Lin, H., & Yee, H. K. C. 1997, AJ, 113, 1 [NASA ADS] [CrossRef] [Google Scholar]
- Schinnerer, E., Carilli, C. L., Capak, P., et al. 2008, ApJ, 689, L5 [Google Scholar]
- Scott, K. S., Austermann, J. E., Perera, T. A., et al. 2008, MNRAS, 385, 2225 [NASA ADS] [CrossRef] [Google Scholar]
- Scott, S. E., Fox, M. J., Dunlop, J. S., et al. 2002, MNRAS, 331, 817 [NASA ADS] [CrossRef] [Google Scholar]
- Serjeant, S., Gruppioni, C., & Oliver, S. 2002, MNRAS, 330, 621 [NASA ADS] [CrossRef] [Google Scholar]
- Serjeant, S., Dye, S., Mortier, A., et al. 2008, MNRAS, 386, 1907 [NASA ADS] [CrossRef] [Google Scholar]
- Seymour, N., Dwelly, T., Moss, D., et al. 2008, MNRAS, 386, 1695 [NASA ADS] [CrossRef] [Google Scholar]
- Seymour, N., Huynh, M., Dwelly, T., et al. 2009, MNRAS, 398, 1573 [Google Scholar]
- Shim, H., Im, M., Choi, P., Yan L., & Storrie-Lombardi, L. 2007, ApJ, 669, 749 [NASA ADS] [CrossRef] [Google Scholar]
- Shimasaku, K., Ouchi, M., Furusawa, H., et al. 2005, PASJ, 57, 447 [NASA ADS] [Google Scholar]
- Shimasaku, K., Kashikawa, N., Doi, M., et al. 2006, PASJ, 58, 313 [NASA ADS] [Google Scholar]
- Shioya, Y., Taniguchi, Y., Sasaki, S. S., et al. 2008, ApJS, 175, 128 [NASA ADS] [CrossRef] [Google Scholar]
- Silva, L., Granato, G. L., Bressan, A., et al. 1998, ApJ, 509, 103 [NASA ADS] [CrossRef] [Google Scholar]
- Smail, I., Ivison, R. J., Blain, A. W., et al. 2002, MNRAS, 331, 495 [NASA ADS] [CrossRef] [Google Scholar]
- Smail, I., Chapman, S. C., Blain, A. W., et al. 2004, ApJ, 616, 71 [NASA ADS] [CrossRef] [Google Scholar]
- Sobral, D., Best, P. N., Geach, J. E., et al. 2009, MNRAS, 398, 75 [NASA ADS] [CrossRef] [Google Scholar]
- Somerville, R. S., Primack, J. R., & Faber, S. M. 2001, MNRAS, 320, 504 [NASA ADS] [CrossRef] [Google Scholar]
- Stanway, E. R., Bunker, A. J., & McMahon, R. G. 2003, MNRAS, 342, 439 [NASA ADS] [CrossRef] [Google Scholar]
- Stark, D. P., Bunker, A. J., Ellis, R. S., Eyles, L. P., & Lacy, M. 2007, ApJ, 659, 84 [NASA ADS] [CrossRef] [Google Scholar]
- Stark, D. P., Ellis, R. S., Bunker, A., et al. 2009, ApJ, 697, 1493 [NASA ADS] [CrossRef] [Google Scholar]
- Steidel, C. C., Adelberger, K. L., Giavalisco, M., Dickinson M., & Pettini, M. 1999, ApJ, 519, 1 [NASA ADS] [CrossRef] [Google Scholar]
- Sullivan, M., Treyer, M. A., Ellis, R. S., et al. 2000, MNRAS, 312, 442 [NASA ADS] [CrossRef] [Google Scholar]
- Swinbank, A. M., Smail, I., Chapman, S. C., et al. 2004, ApJ, 617, 64 [NASA ADS] [CrossRef] [Google Scholar]
- Swinbank, A. M., Chapman, S. C., Smail, I., et al. 2006, MNRAS, 371, 465 [NASA ADS] [CrossRef] [Google Scholar]
- Swinbank, A. M., Lacey, C. G., Smail, I., et al. 2008, MNRAS, 391, 420 [NASA ADS] [CrossRef] [Google Scholar]
- Tacconi, L. J., Neri, R., Chapman, S. C., et al. 2006, ApJ, 640, 228 [NASA ADS] [CrossRef] [Google Scholar]
- Tacconi, L. J., Genzel, R., Smail, I., et al. 2008, ApJ, 680, 246 [NASA ADS] [CrossRef] [PubMed] [Google Scholar]
- Takagi, T., Hanami, H., & Arimoto, N. 2004, MNRAS, 355, 424 [NASA ADS] [CrossRef] [Google Scholar]
- Takata, T., Sekiguchi, K., Smail, I., et al. 2006, ApJ, 651, 713 [NASA ADS] [CrossRef] [Google Scholar]
- Tamura, Y., Kohno, K., Nakanishi, K., et al. 2009, Nature, 459, 61 [NASA ADS] [CrossRef] [PubMed] [Google Scholar]
- Taniguchi, Y., Ajiki, M., Nagao, T., et al. 2005, PASJ, 57, 165 [NASA ADS] [Google Scholar]
- Teplitz, H. I., Collins, N. R., Gardner, J. P., Hill, R. S., & Rhodes, J. 2003, ApJ, 589, 704 [NASA ADS] [CrossRef] [Google Scholar]
- Thompson, R. I., Eisenstein, D., Fan, X., et al. 2006, ApJ, 647, 787 [NASA ADS] [CrossRef] [Google Scholar]
- Trentham, N., Blain, A. W., & Goldader, J. 1999, MNRAS, 305, 61 [NASA ADS] [CrossRef] [Google Scholar]
- Tresse, L., & Maddox, S. J. 1998, ApJ, 495, 691 [NASA ADS] [CrossRef] [Google Scholar]
- Tresse, L., Maddox, S. J., Le Fèvre, O., et al. 2002, MNRAS, 337, 369 [NASA ADS] [CrossRef] [Google Scholar]
- Treyer, M. A., Ellis, R. S., Milliard, B., Donas, J., & Bridges, T. J. 1998, MNRAS, 300, 303 [NASA ADS] [CrossRef] [Google Scholar]
- Valiante, E., Lutz, D., Sturm, E., et al. 2007, ApJ, 660, 1060 [NASA ADS] [CrossRef] [Google Scholar]
- van Breukelen, C., Jarvis, M. J., & Venemans, B. P. 2005, MNRAS, 359, 895 [NASA ADS] [CrossRef] [Google Scholar]
- van de Ven, G., van Dokkum, P. G., & Franx, M. 2003, MNRAS, 344, 924 [NASA ADS] [CrossRef] [Google Scholar]
- van Dokkum, P. G., & Franx, M. 2001, ApJ, 553, 90 [Google Scholar]
- Villar, V., Gallego, J., Pérez-González, P. G., et al. 2008, ApJ, 677, 169 [NASA ADS] [CrossRef] [Google Scholar]
- Vlahakis, C., Eales, S., & Dunne, L. 2007, MNRAS, 379, 1042 [NASA ADS] [CrossRef] [Google Scholar]
- Wadadekar, Y., Casertano, S., & de Mello, D. 2006, AJ, 132, 1023 [Google Scholar]
- Wall, J. V., Pope, A., & Scott, D. 2008, MNRAS, 383, 435 [NASA ADS] [CrossRef] [Google Scholar]
- Wang, W., Cowie, L. L., & Barger, A. J. 2006, ApJ, 647, 74 [NASA ADS] [CrossRef] [Google Scholar]
- Wang, W. H., Cowie, L. L., & Barger, A. J. 2004, ApJ, 613, 655 [NASA ADS] [CrossRef] [Google Scholar]
- Wang, W. H., Barger, A. J., & Cowie, L. L. 2009, ApJ, 690, 319 [NASA ADS] [CrossRef] [Google Scholar]
- Watabe, Y., Risaliti, G., Salvati, M., et al. 2009, MNRAS, 396, L1 [NASA ADS] [CrossRef] [Google Scholar]
- Webb, T. M., Eales, S. A., Lilly, S. J., et al. 2003a, ApJ, 587, 41 [NASA ADS] [CrossRef] [Google Scholar]
- Webb, T. M. A., Lilly, S. J., Clements, D. L., et al. 2003b, ApJ, 597, 680 [NASA ADS] [CrossRef] [Google Scholar]
- Weiß, A., Ivison, R. J., Downes, D., et al. 2009a, ApJ, 705, L45 [Google Scholar]
- Weiß A., Kovács, A., Coppin, K., et al. 2009b, ApJ, 707, 1201 [NASA ADS] [CrossRef] [Google Scholar]
- Wilson, G., Cowie, L. L., Barger, A. J., et al. 2002, AJ, 124, 1258 [NASA ADS] [CrossRef] [Google Scholar]
- Wyder, T. K., Treyer, M. A., Milliard, B., et al. 2005, ApJ, 619, L15 [Google Scholar]
- Yan, L., McCarthy, P. J., Freudling, W., et al. 1999, ApJ, 519, L47 [NASA ADS] [CrossRef] [Google Scholar]
- Yan, H., Dickinson, M., Giavalisco, M., et al. 2006, ApJ, 651, 24 [NASA ADS] [CrossRef] [Google Scholar]
- Yang, M., Greve, T. R., Dowell, C. D., et al. 2007, ApJ, 660, 1198 [NASA ADS] [CrossRef] [Google Scholar]
- Yoshida, M., Shimasaku, K., Kashikawa, N., et al. 2006, ApJ, 653, 988 [NASA ADS] [CrossRef] [Google Scholar]
- Younger, J. D., Fazio, G. G., Huang, J.-S., et al. 2007, ApJ, 671, 1531 [Google Scholar]
- Younger, J. D., Fazio, G. G., Wilner, D. J., et al. 2008, ApJ, 688, 59 [NASA ADS] [CrossRef] [Google Scholar]
- Younger, J. D., Fazio, G. G., & Huang, J.-S. 2009a, ApJ, 704, 803 [NASA ADS] [CrossRef] [Google Scholar]
- Younger, J. D., Omont, A., Fiolet, N., et al. 2009b, MNRAS, 394, 1685 [NASA ADS] [CrossRef] [Google Scholar]
- Yun, M. S., Reddy, N. A., & Condon, J. J. 2001, ApJ, 554, 803 [NASA ADS] [CrossRef] [Google Scholar]
- Zheng, X. Z., Bell, E. F., Papovich, C., et al. 2007, ApJ, 661, L41 [NASA ADS] [CrossRef] [Google Scholar]
Online Material
Appendix A: Long tables and figures.
Table A.1: Photometry detections of SMGs.
Table A.2: Photometry upper limits of SMGs.
Table A.3: Properties of SMGs derived from the SED modeling.
![]() |
Figure A.1:
Spectral energy distributions (SEDs) of SMGs. Solid lines:
the best GRASIL fits. Dashed lines: SEDs of GRB
hosts (Michaowski
et al. 2008) shown for comparison. Squares:
detections with errors, in most cases, smaller than the size of the
symbols. Arrows: |
Open with DEXTER |
![]() |
Figure A.1: (continued). |
Open with DEXTER |
![]() |
Figure A.1: (continued). |
Open with DEXTER |
![]() |
Figure A.1: (continued). |
Open with DEXTER |
![]() |
Figure A.1: (continued). |
Open with DEXTER |
![]() |
Figure A.1: (continued). |
Open with DEXTER |
![]() |
Figure A.1: (continued). |
Open with DEXTER |
![]() |
Figure A.1: (continued). |
Open with DEXTER |
![]() |
Figure A.1: (continued). |
Open with DEXTER |
![]() |
Figure A.1: (continued). |
Open with DEXTER |
Table A.4:
Compilation of star formation rate density determinations in
.
Table A.5:
Compilation of stellar mass density determinations in
.
Footnotes
- ... assembly
- Appendix is only available in electronic form at http://www.aanda.org
- ... Appendix
- For convenience we make the compilation available in electronic form. We suggest that the original data source be consulted and referred to appropriately.
- ...(Silva et al. 1998)
- http://adlibitum.oat.ts.astro.it/silva/default.html
- ... SMGs
- SMMJ123553.26+621337.7, SMMJ123555.14+620901.7, SMMJ123600.10+620253.5, SMMJ123600.15+621047.2, SMMJ123606.85+621021.4, SMMJ123716.01+620323.3, SMMJ163706.51+405313.8, SMMJ221804.42+002154.4, SMMJ221806.77+001245.7
- ... fits
- The SED fits can be downloaded from http://archive.dark-cosmology.dk
- ... cases
- SMMJ030226.17+000624.5, SMMJ030231.81+001031.3, SMMJ030236.15+000817.1, SMMJ030238.62+001106.3, SMMJ123636.75+621156.1, SMMJ123651.76+621221.3, SMMJ123721.87+621035.3, SMMJ163639.01+405635.9, SMMJ221724.69+001242.1
- ... coverage
- SMMJ105201.25+572445.7, SMMJ105230.73+572209.5, SMMJ163650.43+405734.5, SMMJ163658.19+410523.8, SMMJ163706.51+405313.8
- ... SMGs
- SMMJ131201.17+424208.1, SMMJ141802.87+523011.1, SMMJ221806.77+001245.7 plus a low-mass, low-z case, SMMJ030238.62+001106.3
- ... SMGs
- SMMJ141750.50+523101.0, SMMJ141802.87+523011.1, SMMJ163627.94+405811.2
- ...q
- SMMJ131215.27+423900.9, SMMJ141813.54+522923.4
- ... SMGs
- SMMJ123716.01+620323.3, SMMJ131215.27+423900.9, SMMJ131222.35+423814.1
All Tables
Table 1: Mean values for SMGs in redshift bins.
Table A.1: Photometry detections of SMGs.
Table A.2: Photometry upper limits of SMGs.
Table A.3: Properties of SMGs derived from the SED modeling.
Table A.4:
Compilation of star formation rate density determinations in
.
Table A.5:
Compilation of stellar mass density determinations in
.
All Figures
![]() |
Figure 1:
Median spectral energy distribution (SED) of SMGs ( thick lines)
and SEDs of individual SMGs ( thin lines).
Dotted lines indicate z<0.5
objects. Shaded areas enclose 90% of the SEDs.
Top: all SEDs were divided by the corresponding 850 |
Open with DEXTER | |
In the text |
![]() |
Figure 2:
Redshift evolution of the properties ( full circles,
see Table A.3
in Appendix) of the sample of 76 SMGs with spectroscopic
redshifts (Chapman
et al. 2005). Small symbols
indicate z<0.5 objects. Typical errors
(Sect. 4)
are shown as crosses. From top-left to
bottom-right: star formation rate (SFR) derived from spectral
energy distribution modeling, ultraviolet, infrared and radio emission,
SFR per unit stellar mass (
|
Open with DEXTER | |
In the text |
![]() |
Figure 3:
Derived dust mass of a mock galaxy with dust temperature
|
Open with DEXTER | |
In the text |
![]() |
Figure 4:
Top: cosmic star formation density. The SMGs'
contribution rises with redshift from |
Open with DEXTER | |
In the text |
![]() |
Figure 5:
Radio luminosity density as a function of infrared (8- |
Open with DEXTER | |
In the text |
![]() |
Figure 6:
The ratio of the infrared (8- |
Open with DEXTER | |
In the text |
![]() |
Figure A.1:
Spectral energy distributions (SEDs) of SMGs. Solid lines:
the best GRASIL fits. Dashed lines: SEDs of GRB
hosts (Michaowski
et al. 2008) shown for comparison. Squares:
detections with errors, in most cases, smaller than the size of the
symbols. Arrows: |
Open with DEXTER | |
In the text |
![]() |
Figure A.1: (continued). |
Open with DEXTER | |
In the text |
![]() |
Figure A.1: (continued). |
Open with DEXTER | |
In the text |
![]() |
Figure A.1: (continued). |
Open with DEXTER | |
In the text |
![]() |
Figure A.1: (continued). |
Open with DEXTER | |
In the text |
![]() |
Figure A.1: (continued). |
Open with DEXTER | |
In the text |
![]() |
Figure A.1: (continued). |
Open with DEXTER | |
In the text |
![]() |
Figure A.1: (continued). |
Open with DEXTER | |
In the text |
![]() |
Figure A.1: (continued). |
Open with DEXTER | |
In the text |
![]() |
Figure A.1: (continued). |
Open with DEXTER | |
In the text |
Copyright ESO 2010
Current usage metrics show cumulative count of Article Views (full-text article views including HTML views, PDF and ePub downloads, according to the available data) and Abstracts Views on Vision4Press platform.
Data correspond to usage on the plateform after 2015. The current usage metrics is available 48-96 hours after online publication and is updated daily on week days.
Initial download of the metrics may take a while.