| Issue |
A&A
Volume 518, July-August 2010
Herschel: the first science highlights
|
|
|---|---|---|
| Article Number | A7 | |
| Number of page(s) | 10 | |
| Section | The Sun | |
| DOI | https://doi.org/10.1051/0004-6361/201014301 | |
| Published online | 19 August 2010 | |
Sunspot group tilt angles and the strength of the solar cycle
M. Dasi-Espuig1 - S. K. Solanki1,2 - N. A. Krivova1 - R. Cameron1 - T. Peñuela1,3,4
1 - Max-Planck-Institut für Sonnensystemforschung, Max-Planck-Str. 2,
37191 Katlenburg-Lindau, Germany
2 - School of Space Research, Kyung Hee University, Yongin, Gyeonggi,
446-701, Korea
3 - Astronomical institute of the St. Petersburg State University,
Universitetsky prospekt, 28, 198504, Peterhof, St. Petersburg, Russia
4 - European Southern Observatory, ESO, Karl-Schwarzschild-Strasse 2,
85748, Garching bei Mnchen, Germany
Received 22 February 2010 / Accepted 7 May 2010
Abstract
Context. It is well known that the tilt angles of
active regions increase with their latitude (Joy's law). It has never
been checked before, however, whether the average tilt angles change
from one cycle to the next. Flux transport models show the importance
of tilt angles for the reversal and build up of magnetic flux at the
poles, which is in turn correlated to the strength of the next cycle.
Aims. Here we analyse time series of tilt angle
measurements and look for a possible relationship of the tilt angles
with other solar cycle parameters, in order to glean information on the
solar dynamo and to estimate their potential for predicting solar
activity.
Methods. We employed tilt angle data from Mount
Wilson and Kodaikanal observatories covering solar cycles 15 to 21. We
analyse the latitudinal distribution of the tilt angles (Joy's law),
their variation from cycle to cycle, and their relationship to other
solar cycle parameters, such as the strength (or total area covered by
sunspots in a cycle), amplitude, and length.
Results. The two main results of our analysis
follow. 1. We find an anti-correlation between the mean normalised tilt
angle of a given cycle and the strength (or amplitude) of that cycle,
with a correlation coefficient of
(99.9% confidence level) and
(99.76% confidence level) for Mount Wilson and Kodaikanal data,
respectively. 2. The product of the cycle's averaged tilt angle and the
strength of the same cycle displays a significant correlation with the
strength of the next cycle (
at 89% confidence level and
at 92% confidence level for Mount Wilson and Kodaikanal data,
respectively). An even better correlation is obtained between the
source term of the poloidal flux in Babcock-Leighton-type dynamos
(which contains the tilt angle) and the amplitude of the next cycle.
Further we confirm the linear relationship (Joy's law) between the tilt
angle and latitude with slopes of 0.26 and 0.28 for Mount Wilson and
Kodaikanal data, respectively. In addition, we obtain good positive
correlations between the normalised-area-weighted tilt angle and the
length of the following cycle, whereas the strength or the amplitude of
the next cycle does not appear to be correlated to the tilt angles of
the current cycle alone.
Conclusions. The results of this study indicate
that, in combination with the cycle strength, the active region tilt
angles play an important role in building up the polar fields at cycle
minimum.
Key words: sunspots - Sun: dynamo - magnetic fields - Sun: activity
1 Introduction
Solar cycles differ from each other, showing different lengths, amplitudes, and strengths. Understanding the cause of such variations and, ideally, reproducing them is one of the aims of dynamo theory.
Magnetic flux transport dynamo models of the Sun's global
magnetic field have been shown to reproduce the amplitude and duration
fairly well, among other characteristics, of the solar cycle for a few
cycles at least (Dikpati
& Gilman 2006; Charbonneau 2007,2005).
Some of the key ingredients of such models include differential
rotation, meridional flow, latitude distribution of sunspots,
latitudinal drift, and a systematic tilt angle of the bipolar groups
(Joy's law). These ingredients together explain the polarity reversal
of the magnetic field at the poles every
11 years. Due to differential rotation,
the magnetic field lines are wound up around the Sun's rotation axis
and when this field is strong enough it becomes buoyant and rises to
the surface as sunspots (Dikpati & Gilman 2008; Babcock 1961).
The magnetic flux from the sunspots is carried by the meridional flow
to the poles, finally causing the reversal. It was already proposed by Leighton (1969) that for the
reversal to occur there must be cancellation between the leading
portions of spots on opposite hemispheres through the slight tilt of
the bipolar regions. In this way a greater fraction of the following
polarity flux reaches the poles.
Schrijver et al. (2002) tested the hypothesis where the polar magnetic field on the Sun is determined by the accumulation of field transported poleward from sunspots at lower latitudes as a consequence of the tilt in the bipoles. Their model was not able to reproduce the polar field measurements of the past years if only the rate at which sunspots emerge is varied from one cycle to another. Furthermore, Wang et al. (2002) included a cycle to cycle variable meridional flow in order to achieve agreement with other observations, demonstrating that this variable meridional flow could serve as a regulator of the polarity reversal process. Flux-transport simulations have also shown that the strength of the polar fields, which feed the dynamo and help determine the strength of the next cycle, is sensitive to the average tilt angle of the active regions of the previous cycle (Baumann et al. 2004). Here we investigate whether there is a variation in the cycle-averaged tilt angle and Joy's law from cycle to cycle and whether there is a relationship between the tilt angles and the strength, i.e. the activity level, of the following cycle.
Previous studies of the sunspot tilt angles have mainly focused on their relationship with other spot parameters such as magnetic flux, drift motions, rotation, area, polarity separation, and cycle phase among others (Howard 1996,1991; Sivaraman et al. 2007). Variations from one activity cycle to the next, however, have never been explored. This could shed some light on the mechanism by which the magnetic field of active regions is transported to the poles and may thus have the potential for forecasting future solar activity.
Prediction of future solar activity is one of the main challenges in solar physics and is not only of scientific importance but potentially helps to make predictions about changes to our natural environment that can affect our lives, e.g. space weather and Earth's climate. Most of the present day predictions are based on statistical analyses of solar activity in the past (Hathaway 2009; Hathaway et al. 1999). A more physics-based approach is offered by models of the evolution of the Sun's magnetic field, although recent dynamo computations have given controversial results for cycle 24 (Dikpati & Gilman 2006; Jiang et al. 2007; Choudhuri et al. 2007).
The paper is structured as follows. In Sect. 2 we describe the data, the method and some tests. Section 3 presents the results, which are then discussed in Sect. 4. In Sect. 5 we present our main conclusions.
2 Data and tests
2.1 Data
For our analysis we employ sunspot data derived from white light images
taken at Mount Wilson and Kodaikanal observatories. These observatories
have regularly observed the solar disc in white light since the
beginning of the 20th century. The data we use cover the years 1917 to
1985 and 1906 to 1987 for Mount Wilson and Kodaikanal, respectively.
This means that cycles 15 to 21 are completely covered by the
Kodaikanal (hereafter KK) record, but the first 4 years of cycle 15 and
the last year of cycle 21 are missing in the Mount Wilson (hereafter
MW) series. Howard et al.
(1984) measured the positions and areas of individual
sunspots on digitised MW images and then grouped the sunspots using a
technique based on proximity. The grouping of individual sunspots was
done by Howard et al. (1984)
by applying a running box, 3
wide in latitude and 5
wide in longitude, centred at each spot on the solar disc. Any other
spot that fell inside the box was included as part of the group. To
distinguish between the leading and following portions of the sunspot
groups, they first computed the mass center. The portion to the east of
the mass center was defined as the leading portion and the portion to
the west as the following. This definition was applied to all sunspot
groups since they had no magnetic information (Howard
1991). The tilt angle of a sunspot group,
,
is defined as
,
where
is the latitude of the centre of the sunspot group and
and
are the differences in latitude and central meridian position between
the centre of gravity of the leading and following portions of the
group, respectively.
The final data set includes dates of observations, positions, area and number of individual sunspots for each sunspot group and for its leading and following portions, as well as the tilt angle. A description of the calculation of the tilt angles can be found in the paper by Howard (1991). The white light images from Kodaikanal observatory were treated using the same techniques and procedures by Sivaraman et al. (1993).
In the present study we also use the sunspot area data set compiled by Balmaceda et al. (2009) using observations from a number of different observatories that were carefully cross-calibrated in order to reduce, as much as possible, systematic and other differences between observations at different sites as well as the number of data gaps. The combined data set goes back to 1874.
|
Figure 1:
Area versus polarity separation between the leading and following
portions of a sunspot group for a) Mount Wilson
and b) Kodaikanal data sets. The dashed line
corresponds to |
| Open with DEXTER | |
2.2 Data evaluation
The first inspection of the MW and KK data revealed a great number of
zero values for the tilt angles (
22% in MW and
30% in KK). Therefore, we checked whether all
zeros are real or just missing values. We assumed that the tilt angle
can only be determined if the leading and following portions of a group
have at least one spot each. Thus we neglected the zero tilt angle
values in all cases when either portion of a group contained no spots.
By applying this criterion, we found only one real measurement of a
tilt of exactly zero degrees in the MW data set and none in the KK data
set. The rest of the zero values only mark that it was not possible to
measure the tilt angles for some reason. In order to accept a tabulated
tilt angle as valid, we also required that the distance between the
leading and following portions is less than
.
This is justified by the distribution of sunspot group areas with
polarity separation (see Fig. 1).
Most of the groups lie in a range between 0-350 microhemispheres in
area and
in polarity separation. Only around 0.6% and 0.4% of all the groups in
the MW and KK data sets, respectively, present a polarity separation
bigger than
.
Of these, most have areas below 70 microhemispheres and are thus most
likely typos since their total area is small and at such polarity
separations it is most improbable that the two polarities belong to the
same group. All together, i.e. based on both criteria, we have rejected
of MW groups
and
of KK ones.
|
Figure 2: In all panels: dashed thin line and left-hand Y-axes show the monthly means of the sunspot area from Balmaceda et al. (2009) vs. time; the solid and the dot-dashed thick lines represent Mount Wilson and Kodaikanal data, respectively. a) Monthly area-weighted means of sunspot tilt angle smoothed over 4 years (right-hand Y-axis), b) area-weighted latitude separation (right-hand Y-axis) and c) area-weighted longitude separation of leading and following parts of sunspot groups (right-hand Y-axis). |
| Open with DEXTER | |
In our analysis we considered mainly cycle averages to study the
variaton of the tilt angles from cycle to cycle. The values of these
averages are not greatly affected by gaps in the measurements if these
are distributed homogeneously throughout each cycle. If, however, gaps
are, for example, dominantly found in the ascending phase of a solar
cycle the mean value of the tilt angle for that cycle will be lower
than the real value. This is a direct consequence of the butterfly
diagram (spots at the beginning of a cycle appear at higher latitudes)
and Joy's law (tilt angles are higher for sunspot groups located at
higher latitudes). Unfortunately it is not possible to distinguish
between spotless days and gaps in the data sets of MW and KK
observatories. We find that no spots were present or no observations
were made on
60%
and
55% of all
days in the MW and KK data sets respectively. In fact most of them are
located within solar activity minima, which is reasonable because the
number of truly spotless days is largest at minimum activity. It was
possible to determine the spotless days by comparing the MW and KK data
sets with a more complete daily sunspot data set from Balmaceda et al. (2009).
In this data set, where it is possible to distinguish between gaps and
spotless days, only 6.5% of the data are missing due to gaps in the
considered period. After the comparison we retrieved a
59% and a
56% of truly
missing dates in MW and KK data sets respectively. These remaining gaps
seem on average to be more or less randomly distributed over cycle
phases. They should not significantly affect the averages over a cycle.
However the gaps do affect the calculation of the cycle length and
strength. In our work we use the length as defined and calculated by
the National Geophysical Data Centre (see Sect. 3.2). In the
case of the strength, we used the daily sunspot area data set from Balmaceda et al. (2009)
due to its low percent of gaps. To avoid systematic errors, we linearly
interpolated across the sunspot area data gaps.
Next we consider another possible source of bias. Since during
a strong cycle more spots are found on the Sun's surface the grouping
criterion by Howard (
wide in latitude and
wide in longitude) could lead to an erroneous grouping for such cycles,
because spots that do not belong to the group, but rather to a nearby
neighbouring region, could be included. We expect such
misclassification to occur mainly in the longitudinal direction due to
the asymmetry of the box. It would lead to an enhancement of the
longitudinal separation between the following and leading portions of
the sunspot groups (
)
for the strongest cycles. Such a spuriously increased longitude
separation would lead to a reduced average tilt. Figure 2a shows the time
series of monthly means of sunspot group tilt angles weighted by their
corresponding sunspot group areas (see right-hand Y-axis)
for both MW (solid line) and KK (dot-dashed line) records. A smoothing
of 4 years was necessary due to the high noise the data presented.
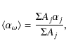
The mean area-weighted tilt angles are calculated as follows:

where Aj and
2.3 Joy's Law
The tilt angle dependence on the latitude was first found by Joy in
1919 (Hale et al. 1919)
and later confirmed by other authors (Sivaraman et al. 1999;
Howard 1991;
Wang &
Sheeley 1991). It provides strong constraints on the magnetic
field strength of the flux tubes in the tachocline, which emerge to
form the observed active regions (D'Silva & Choudhuri 1993;
Schüssler
et al. 1994). This relation shows a positive trend:
the tilt angles are larger for sunspots at higher latitudes. We have
used data from MW and KK observatories in order to rederive this
relationship as a test. In Fig. 3, the tilt angles
averaged over the complete data sets for latitude bins of
are plotted versus latitude. MW data are represented by asterisks
connected by the dashed line and KK observations by open circles
connected by the solid line. The results for both data sets are in
agreement with each other within
and are very close to the results obtained by Sivaraman
et al. (1999), with the mean difference between our
points and theirs being
and
for MW and KK, respectively. These differences are most probably due to
different selection criteria applied to the data.
|
Figure 3:
Mean tilt angle for bins of 5 degrees latitude vs. latitude for MW
(asterisks connected by the dashed line) and KK (open circles connected
by the solid line). The error bars represent |
| Open with DEXTER | |
We have also obtained linear fits to the data points excluding the last
two bins since the number of groups in these is very low compared to
the other bins (about 2% and 0.5% of the total) and the errors are
higher by a factor of
2.
The fits are forced to pass through the origin since we expect no tilt
for sunspot groups at the equator. The values for the fits are:
and
for MW and KK data, respectively, where
The slopes found here are lower than those obtained by Wang &
Sheeley (1989,1991)
from daily magnetograms for cycle 21 (
where
is the tilt
angle and
the colatitude). However, our values for the slope, 0.26 and 0.28, are
closer to the 0.15 value deduced by Schüssler
& Baumann (2006) who used a flux-transport model to
fit data from MW and Wilcox Solar observatories of the total
photospheric field. The difference to the results of Wang &
Sheeley (1989,1991)
could have a variety of causes, such as the different types of data
considered (spots vs. magnetograms), differences in spatial resolution
(cf. Wang
& Sheeley 1989; Howard et al. 1984)
combined with the dependence of tilt angle on the size of a region (Howard 1993;
D'Silva
& Howard 1993), or the fact that they considered a
single cycle. Our results for the slope of the regression line show
considerable scatter from cycle to cycle, even to the extent that we do
not consider the values obtained for individual cycles to be
particularly reliable (see Sect. 3.1).
3 Results
3.1 Average value of tilt angles
It was first pointed out by Howard
(1991) that the average tilt angle of all sunspot groups
during the period 1917-1985 deduced from MW data was
.
For the whole MW data set period (1917-1985) we obtained a value of
,
in excellent agreement with Howard
(1991), while for the whole KK data set (1906-1987), we
deduced
.
Table 1: Area-weighted mean tilt angles in degrees for each cycle for MW and KK records.
Next we treat MW and KK data on a cycle-by-cycle basis,
obtaining a different value of the average sunspot tilt angle for each
cycle. Figure 2a
displays monthly area-weighted means of sunspot tilt angles smoothed
over 4 years through cycles 15 to 21 for the MW and KK data sets. Table
1 gives area-weighted cycle averages and 1
standard error. Note that cycles 15 and 21 are not complete in the MW
data set, as discussed in Sect. 2.1, and thus the value of the mean
tilt angle for cycle 15 might be underestimated and the value for cycle
21 overestimated, according to the combination of Maunder's butterfly
diagram and Joy's law. The low value of the sunspot tilt angles for
cycle 19, as compared to the other cycles, indicated by Fig. 2a, is
also seen in the cycle averaged values.
In addition to the average tilt angles, we also attempted to
determine Joy's law per cycle in the same manner as done in Sect. 2.3.
However, the scatter of the individual values of the mean tilt angle
per
latitude bins turn out to be too large. The correlation coefficient for
a linear regression to the points are for some cycles as low as
r2=0.17
for MW and r2=0.026
for KK. Also, the errors in the calculated slopes are comparable to or
slightly bigger than the difference between these values from MW to KK
data sets. Therefore, no clear difference could be determined between
the slopes of Joy's law from cycle to cycle.
3.2 Cycle parameter definitions
For the parameter study we focus on three main characteristics of a solar cycle: strength, amplitude, and length. Strength is defined as the total surface area covered by sunspots throughout a given solar cycle. We calculate it from the daily sunspot area data set compiled by Balmaceda et al. (2009) as the integral of sunspot area over the duration of each cycle. This record is used since it has significantly fewer data gaps than the MW and KK data sets, as discussed in Sect. 2.2. The cycle amplitude is the highest value of monthly averaged sunspot number and the length is the period of time between two consecutive minima. Times of solar activity minimum, amplitudes, and the lengths of cycles are taken from the National Geophysical Data Centre; http://www.ngdc.noaa.gov/stp/SOLAR/getdata.html.
We looked for possible relationships of these parameters with
four different quantities based on the tilt angles: cycle mean tilt
angle,
,
cycle mean tilt angle normalised by the mean latitude of sunspots
during that cycle,
,
cycle mean area-weighted tilt angle,
,
and the cycle mean area-weighted tilt angle normalised by the mean
latitude of sunspots during the same cycle,
.
(For a brief discussion of how these choices are influenced by the
scatter in the tilt angles see Appendix A).
The area-weighted tilt angles are used to give more importance to the
bigger groups, which exhibit less scatter, and the normalised tilt
angles are considered in order to remove the effect of the latitudinal
dependence (Joy's law) on the cycle-averaged (area-weighted) tilt
angles. Note that for the MW data set, cycles 15 and 21 are not taken
into account in the relationships concerning
and
due to their incompleteness and could be thus biased by Joy's law. This
is not the case for the quantities
and
since normalising by the mean latitude removes this source of bias.
Sunspots in stronger cycles lie at higher latitudes (Solanki et al. 2008),
so that simply due to Joy's law these cycles would have larger mean
tilt angles. Dividing by the mean latitude largely removes this
difference (both, Joy's law and the dependence of mean latitude on
cycle strength are linear), so that
and
indicate intrinsic changes of Joy's law from cycle to cycle.
3.3 Relationships within the same cycle
We first investigate the possible relationship of the cycle averaged sunspot tilt angles with the three solar cycle parameters of the same cycle. These relations may help to shed light on the underlying magnetic flux tubes at the base of the convection zone and the processes that affect them on their way to the surface (in the case of the strength and amplitude of the cycle) and on the possibility that the tilt angles of active regions are involved, along with other features (e.g. meridional flow), in the regulation of the cycle period of the dynamo (in the case of length), or conversely are influenced by it.
Table 2: Correlation coefficients between the 4 quantities based on the tilt angle and the strength (S), amplitude (A) and length (L) of the same cycle.
|
Figure 4:
Cycle averaged tilt angle normalised by the emergence latitude vs.
strength of the same cycle. The error bars represent 1 |
| Open with DEXTER | |
We calculated linear correlation coefficients between the
3 solar cycle global parameters and the 4 quantities
based on the tilt angles (see Sect. 3.2). Due to the low
number of cycles, we also determined the probability that the
correlations are due to chance (P). These
are calculated from the probability density function of the student's
t-distribution, which depends both on the correlation coefficient and
the number of points in the sample. All the values are listed in
Table 2 for MW and KK data. Table 2 suggests that both
the strength and the amplitude of a cycle show a significant negative
correlation with the average tilt of the same cycle,
,
for at least KK data. For MW data, the probabilities that the
correlations are due to chance, P, are
about 30%, but for KK data (that includes both cycles
15 and 21), the corresponding probabilities are lower
than 10%.
These correlations are significantly strengthened once we eliminate the
enhanced effect of Joy's law on cycles with sunspots on average at
higher latitudes by considering
.
The probabilities then fall to values below 2% for both MW and
KK data sets. For the area-weighted tilt angles, the correlation
coefficients are weaker. Although these are also strengthened after the
normalisation by
,
reaching probability values below 3%, they remain slightly
higher than for
.
The correlations between the length and the 4 tilt angle based
parameters are in general low, of low confidence and inconsistent in
sign between the two data sets.
Figure 4
shows
versus Si,
where i is the cycle number. The dashed
line represents a linear fit to the points and the error bars
correspond to
errors calculated by means of error propagation, where the errors for
the mean tilt angle and the mean latitude correspond to their standard
error. The error bars have been calculated assuming Gaussian statistics
and are thus overestimated. In MW data (Fig. 4a) cycles 15 and 21
are represented by squares and dashed lines for the error bars to
denote their incompleteness. Note that all data points lie roughly
within
of the regression lines. This suggests that given the accuracy of the
measured tilt angles (given largely by the scatter shown by active
regions) the obtained correlation coefficients are near the maximum
value achievable for data with such large uncertainty.
3.4 Relationships with the following cycle
Prediction of future solar activity is important not only for space
weather and climate, but also to test current dynamo models. In this
section we investigate how the cycle averaged tilt angles are related
to the global parameters of the next cycle. We
calculated the correlation coefficients between the tilt-angle
parameters
,
,
and
of cycle i and the parameters S,
A and L of cycle i+1
and the probability that these correlations are due to chance.
Table 3: Correlation coefficients between the 4 quantities based on the tilt angle and the length, L, of the next cycle.
In general the correlations of the strength and amplitude with
the 4 tilt angle based quantities are low and inconsistent between the
two data sets. Only correlations between
and Li+1
appear to be statistically significant for both data sets.
Table 3
lists the correlations found between the tilt angle based parameters
and the length of the next cycle. For MW data, the probabilities that
the correlations are due to chance are below or around
for all the averages considered except for
.
The strongest correlation found is with the mean tilt angle (
)
of value
.
In contrast, for KK data only
presents a correlation (
)
with a chance probability below
.
This suggests that if the tilt angles are large, then the next cycle
will be short. The fact that the correlation of tilt with the length of
the next cycle is significant, but is poor with the strength of the
next cycle is consistent with the finding that the length and strength
of a cycle are poorly correlated (
,
Charbonneau & Dikpati 2000;
and
,
Solanki et al. 2002).
Now, tilt angles influence the amount of magnetic flux
reaching the poles (Baumann
et al. 2004) and the polar magnetic flux during
activity minimum has been found to be one of the proxies that best
predicts the strength of the next cycle (Makarov et al. 1989; Dikpati
et al. 2008). However, the tilt angle is not the
only parameter influencing the polar flux, which is in line with the
poor correlation found between tilt angles and the strength of the
following cycle (values range from 0.40 to 0.54 for MW and
-0.58 to 0.19 for KK and are not even consistent in sign between the
two data sets). Obviously, the total amount of magnetic flux emerging
over a cycle,
,
is another central parameter influencing the polar flux (Baumann et al. 2004).
Hence a more physically motivated quantity to consider is
or
.
Since no regular and consistent magnetic information is available prior
to cycle 20 we use sunspot areas as proxies of
.
I.e. instead of
we determine
.
Sunspot areas are proportional to the amount of magnetic flux emerging
through the spots since the field strength averaged over a sunspot is
similar (Solanki & Schmidt
1993).
Figure 5
shows
versus Si+1.
Again the errors are treated by means of error propagation and assuming
Gaussian statistics and are thus overestimated. In this case we were
not able to propagate the errors precisely since we have no information
on the errors of the individual measured sunspot areas that would
affect the calculation of Si
or Si+1.
The error bars in Fig. 5
are calculated assuming that Si
is known accurately. Using S instead of
also means that we implicitely assume that the ratio of magnetic flux
in faculae and network to that in sunspots is the same for each cycle.
Consequently, the plotted 1
error bars represent lower limits to the true uncertainties. Both data
sets show a moderate positive correlation between
and Si+1
(see upper row of Table 4 for
and P values). It is interesting to point out that
both data sets, although independent, display almost identical fits:
yi=0.20
Si+1+495066.6
and yi=0.20
Si+1+535359.8
for MW and KK data sets respectively, where
.
|
Figure 5:
Strength of cycle multiplied by normalised mean area-weighted tilt
angle vs. the strength of the next cycle for a)
MW data (
|
| Open with DEXTER | |
Finally, we carry out a variant of the above analysis that is guided by
dynamo models that include the influence of the meridional circulation
at the solar surface (Choudhuri
et al. 1995; Wang & Sheeley 1991).
According to such models the amount of flux reaching the poles depends
(for a fixed differential rotation, meridional circulation and
diffusion rate) on the tilt angles and the latitude distribution of the
active regions. If a region is at relatively high latitude, then in
general both polarities are dragged to the pole by meridional
circulation, leading to a negligible change in the magnetic flux there.
For active regions close to the equator the magnetic flux of the
leading portion can reach and cancel the opposite polarity of the
leading portion of an active region in the other hemisphere. This leads
to an imbalance in the sense that mainly flux from the following
polarity reaches the pole. Hence regions at low latitudes contribute
disproportionately to the reversal and accumulation of magnetic field
in the poles. This is thought to affect the strength of the next cycle
since the polar fields are the input for the next cycle. We take into
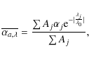
account this latitude dependence by multiplying an exponential function
of the latitude to the area-weighted tilt angles. The monthly means of
area- and latitude- weighted tilt angles are computed as follows:

where Aj is the area of the sunspot group j from MW and KK data sets,
In Fig. 6
we plot
(solid curve) for the whole time series smoothed over
24 months, with
being the monthly means of sunspot area from Balmaceda
et al. (2009). The dashed curve is the
12 month smoothed
and the solid curve has been shifted by +11 years to better compare
with
of the following cycle. Since the whole curve has been shifted by a
constant value and each cycle has a different duration, the lengths of
the cycles of the solid and dashed curves do not match. However, it is
seen that the consecutive rise in strength from cycles 16 to
19 and the drop from cycle 19 to 20 are reproduced. The correlation
coefficients between the peaks of both curves reach a maximum value
of 0.79 (P= 3%) for MW and 0.78 (P=4%)
for KK when taking
(see lower row of Table 4).
All of the 7 cycles are considered in both data sets since the
maxima of cycles 15 and 21 are included in the MW record. The
correlation coefficient values range from 0.74 to 0.79 for the
MW data set and 0.78 to 0.79 for the KK data set when
smoothing over 24, 36 and 48 months. Since the first
4 years of cycle 15 are not complete in the MW data set, we
chose a 24 month smoothing as optimal to reduce the noise
while not losing the maximum of cycle 15.
|
Figure 6: Comparison of actual and predicted sunspot area. The dashed curve shows monthly sunspot areas smoothed over 12 months from Balmaceda et al. (2009). The solid curve is the prediction based on the tilt angles and sunspot areas of the previous cycle for a) MW and b) KK records, both smoothed over 24 months. |
| Open with DEXTER | |
Table 4:
Correlation coefficients between expressions containing
of cycle i and the strength or maximum amplitude of
cycle i+1.
4 Discussion
Our understanding of the solar dynamo remains incomplete despite the large amount of effort invested into it (Charbonneau 2005). One hindrance to a better understanding is the limited number of observational constraints, some of which are reviewed by Gilman (1986,2002) and Rempel (2008).
In this paper we have analysed the time-dependence of the tilt
angle, which has added two more
observational constraints that dynamo models must satisfy. The first is
that there is an inverse correlation between the strength of a cycle
and the tilt angle (
)
of sunspot groups observed during that cycle. This correlation was
found to increase when the latitudinal dependence of Joy's law was
taken into account (that is when
was considered instead of
).
The results in the previous section are based on observations.
While this paper concentrates on the observational signature, it is
worthwhile to digress and speculate on the possible causes of this
inverse correlation.
In doing so we emphasise that our discussion is
only speculative whereas the results of the previous section are based
firmly in the observational
data sets. One possibility is that the field strength of magnetic flux
tubes in the overshoot region
below the convection zone is larger during strong cycles.
Since stronger flux tubes are less affected by the Coriolis force this
would
explain the observed correlation. In Babcock-Leighton type dynamos
the toroidal flux tubes at the base of the convection zone are believed
to be the result of the differential rotation winding up the poloidal
magnetic field. The
magnetic energy density of the loops formed in this way is likely to be
limited to equipartition values with the kinetic energy density of the
differential rotation. This gives a magnetic field
strength of
104
G. Such a loop can then loose mass via an instability which drains mass
from the slightly sub-adiabatic region where the flux tube is located
into the convection zone, which increases the field strength to
105
G over a timespan of approximately 6 months (Rempel
& Schüssler 2001). As the flux tube becomes stronger,
it becomes subject to the Parker instability which causes it to erupt
to the surface. The Parker instability depends on both the field
strength and on the sub-adiabaticity of the layer where the flux tubes
are stored: magnetic fields of tubes
that are stored slightly deeper can become stronger prior to the onset
of the Parker instability.
To explain the observations requires either that in strong cycles the tubes are produced or stored slightly deeper (Caligari et al. 1995), or the region where the flux tubes are stored becomes slightly more stable, or that the intensification process acts more quickly so that higher field strengths can be reached before the tubes erupt. A combination of these processes may also be at work.
There are a number of nonlinear, competing, factors which are likely to be relevant. For example the increased flux of a strong cycle will be more resistant to downward pumping, and will perhaps decrease the depth of the convective overshooting at the base of the convection zone. This might decrease the depth at which the flux is located, but will also affect the thermodynamic properties of the layer. Another effect, which acts in the correct direction, is the magnetic tension associated with the enhanced poloidal flux of strong cycles. This will tend to pull the field lines deeper into the overshoot region, however the effect is likely to be weak, possibly depending on how the poloidal field is structured.
In relation to changing the subadiabaticity, Rempel & Schüssler (2001)
have argued
that the energy to intensify the toroidal flux tubes to 105 G
comes from moving material along the entropy gradient near where the
tubes are stored. The amount of energy involved has been estimated
(e.g. Steiner 2004) to be
approximately 1040 erg. On the observational
side, Baldner & Basu (2008)
reported a
change in the wave speed squared near the base of the convection zone.
The observed change is small and anticorrelated with activity. Its
effect in the current context is to change the subadiabaticity -
enhancing the stability in the region where the flux tubes are stored.
How strong the effect would be, and how it balances with other effects,
needs to be evaluated.
Another possibility is that the observed tilt angles have been influenced by the near-surface flows. These inflows consist of a time-dependent component of the solar differential rotation (Howard & Labonte 1980) called zonal flows, and a time-dependent component in the meridional plane which has been observed by tracking magnetic features (Komm et al. 1993) and with helioseismology (Basu & Antia 2003). Some models suggest that both components of the inflow are driven by the excess cooling associated with plage (Rempel 2006; Spruit 2003). If so, the strength of the inflow will be determined by the amount of plage, which is directly related to the strength of the current cycle.
Both components of the inflows will tend to decrease the tilt angle over time. This effect acts on the flux tube both as it rises through the inflow and as it evolves on the surface after emergence. The sign of this effect is correct, enhanced inflows during strong cycles will reduce the observed tilt angles. To estimate the magnitude of the effect we now concentrate on the meridional component of the inflow (the effect of the time variations of the zonal flows turns out to have a similar magnitude).
The time dependent meridional flow includes an inflow towards
the active region belts (Zhao &
Kosovichev 2004) which had an amplitude of
5 m/s
for cycle 23. To estimate the expected magnitude of the effect on the
tilt angle, we assume that sunspots are, on average, subject to this
flow for
5 days
before they are observed. These 5 days include the rise time through
the flow, the sunspot formation time as well as a delay caused by the
fact that not all sunspots appear on the side of the Sun facing the
Earth. The maximum relative velocity with which the two polarities
could be driven towards one another by such a flow is 10 m/s.
This maximum is unlikely to be reached, so for the purposes of
obtaining a preliminary estimate we assume that they actually move
towards each other with half this speed, that is 5 m/s. Over
the course of the 5 days this gives a 2.16 Mm
decrease in the latitudinal separation of their leading and trailing
fluxes. For an active region with a longitudinal separation between the
leading and trailing fluxes of 100 Mm, this is a decrease in
tilt angle of around 1.23 degrees. If we allow for the fact that cycle
19 was stronger than cycle 23, so that its inflows would have been
stronger, then the magnitude of the effect is approximately consistent
with the observations.
The above are not the only possibilities for the observed negative correlation, and have been presented only to give an indication of some of the different types of possibilities. It is possible that some of these explanations will be able to be excluded on either observational or theoretical grounds. More modelling and observations will be required to pinpoint the main mechanism.
The second result is that there is a reasonably strong
correlation between the product of the strength of a cycle and its
average tilt angle and the strength of the next cycle,
and
for the two data sets, respectively. This product was considered
because it corresponds to the poloidal source term in dynamos based on
the Babcock-Leighton idea. The correlations were found to improve when
the quantities were made to more closely match the poloidal source term
of the models. Specifically, we found an improvement when we included a
latitudinal dependence designed to model the effectiveness of flux
emergence in producing global poloidal fields (which depends upon some
of the flux crossing the equator so that regions emerging close to the
equator are more effective). This observational constraint supports the
flux-transport dynamo model. It shows that the strength of a cycle is
correlated at the 79% or 78% level (depending on the data set) with the
poloidal flux of the previous cycle. Importantly, the drop in strength
from cycle 19 to 20 is well reproduced. This tilt angle then appears to
account for a substantial part of the variation from cycle to cycle of
the activity level.
This is good news in two regards. Firstly, it suggests that, by measuring the tilt angle and amplitude of a cycle, we will be able to make early predictions of the strength of the proceeding cycle. The predictive accuracy is not higher than, for instance methods based on precursors (see Hathaway et al. 1999), but can be made much earlier. This can be seen in Fig. 6 where the ``predictions'' have been shifted by eleven years (note that a two year smoothing has been performed which reduces the predictive horizon to 10 years). A possible improvement of predictive skill at later times might be possible by combining different schemes, but this will depend on how independent they are. Secondly, it suggests that a major part of the nonlinear cycle modulation is associated with the tilt angle. Several possible non-linearities were discussed above, such as the near-surface inflows, the depth at which the tubes are stored and the properties of the plasma near the base of the convection zone. More work is required to distinguish between these and other possibilities.
5 Conclusions
We have analysed the sunspot data from Mount Wilson (MW) and Kodaikanal (KK) observatories in order to study Joy's law, the variation of sunspot group tilt angles from cycle to cycle and the relationship of this variation with 3 solar cycle parameters: strength, amplitude, and length. The correlations found from the analysis are listed in Tables 1-4. From the analysis we highlight the following:
- (1)
- A linear fit to Joy's law gives
for the MW and
for the KK data sets. Here
is the tilt angle and
the latitude, both expressed in degrees.
- (2)
- The mean tilt angle changes from cycle to cycle (Fig. 2a and Table 1). The range of values exceeds the uncertainties in the cycle-averaged tilt angles.
- (3)
- A negative correlation between the normalised tilt angle,
or
,
and the strength of the same cycle is found (
and
for MW and KK data sets, respectively).
- (4)
- We also find a negative correlation between the latitude
normalised area-weighted tilt angle (
)
and the length of the next cycle (
and
for MW and KK data sets, respectively).
- (5)
- Finally, we discovered a positive correlation between the
strength of one cycle multiplied by its mean area- and
latitude-weighted tilt angle,
,
and the strength of the next cycle, Si+1,
(
and
for MW and KK data sets, respectively). Higher correlation coefficients
are obtained between a tilt-angle based expression obtained through
guidance from Babcock-Leighton type dynamo models and the amplitude of
the next cycle (
and
for MW and KK, respectively).
This work was supported by the German Deutsche Forschungsgemeinschaft, DFG project number SO-711/1-3, and by the WCU grant No. R31-10016 funded by the Korean Ministry of Education, Science and Technology.
Appendix A: Determining the cycle-to-cycle variations in the presence of a large intrinsic scatter
As has been mentioned, the tilt angles of individual active regions are largely random, with Joy's law being a relatively small bias. The purpose of this appendix is to discuss the calculation of cycle-to-cycle changes in Joy's law from the data. For this purpose we will assume that Joy's law applies for each cycle and that the scatter in the data is random and unbiased. More explicitly we assume
- 1.
- the tilt angle,
,
for each spot, i, obeys Joy's law
(A.1)
where an is the (possibly cycle-to-cycle dependent) constant of proportionality for cycle nand
represents the random deviation from Joy's law of individual sunspot
groups;
- 2.
- the
are independent realisations of a random process with a mean of zero.
|
(A.2) |
where the sum is again over spots in cycle n. The error of the approximation is
|
(A.3) |
We also consider
| dn | = |
|
(A.4) |
| dn | = |
|
(A.5) |
| dn | = |
|
(A.6) |
| dn | = | (A.7) |
This result indicates that calculating the cycle-to-cycle deviations from a reference Joy's law is identical to calculating Joy's law for each cycle and then subtracting a fixed constant. A similar result can be shown if
References
- Babcock, H. W. 1961, ApJ, 133, 572 [Google Scholar]
- Baldner, C. S., & Basu, S. 2008, ApJ, 686, 1349 [NASA ADS] [CrossRef] [Google Scholar]
- Balmaceda, L. A., Solanki, S. K., Krivova, N. A., & Foster, S. 2009, J. Geophys. Res., 114, A07104 [NASA ADS] [CrossRef] [Google Scholar]
- Basu, S., & Antia, H. M. 2003, ApJ, 585, 553 [NASA ADS] [CrossRef] [Google Scholar]
- Baumann, I., Schmitt, D., Schüssler, M., & Solanki, S. K. 2004, A&A, 426, 1075 [NASA ADS] [CrossRef] [EDP Sciences] [Google Scholar]
- Caligari, P., Moreno-Insertis, F., & Schüssler, M. 1995, ApJ, 441, 886 [NASA ADS] [CrossRef] [Google Scholar]
- Charbonneau, P. 2005, Liv. Rev. Sol. Phys., 2, 2 [Google Scholar]
- Charbonneau, P. 2007, Adv. Sp. Res., 39, 1661 [Google Scholar]
- Charbonneau, P., & Dikpati, M. 2000, ApJ, 543, 1027 [NASA ADS] [CrossRef] [Google Scholar]
- Choudhuri, A. R., Schüssler, M., & Dikpati, M. 1995, A&A, 303, L29 [NASA ADS] [Google Scholar]
- Choudhuri, A. R., Chatterjee, P., & Jiang, J. 2007, , 98, 131103 [Google Scholar]
- Dikpati, M., & Gilman, P. A. 2006, ApJ, 649, 498 [NASA ADS] [CrossRef] [Google Scholar]
- Dikpati, M., & Gilman, P. A. 2008, JApA, 29, 29 [NASA ADS] [Google Scholar]
- Dikpati, M., de Toma, G., & Gilman, P. A. 2008, ApJ, 675, 920 [Google Scholar]
- D'Silva, S., & Choudhuri, A. R. 1993, A&A, 272, 621 [NASA ADS] [Google Scholar]
- D'Silva, S., & Howard, R. F. 1993, Sol. Phys., 148, 1 [NASA ADS] [CrossRef] [Google Scholar]
- Gilman, P. 1986, in Physics of the Sun, The Solar Interior, ed. P. Sturrock, T. Holzer, D. Mihalas, & R. Ulrich (Dordrecht, Netherlands; Boston, USA: D. Reidel), 1, 95 [Google Scholar]
- Gilman, P. A. 2002, in From Solar Min to Max, Half a Solar Cycle with SOHO, ed. A. Wilson, ESA Special Publication, 508, 25 [Google Scholar]
- Hale, G. E., Ellerman, F., Nicholson, S. B., & Joy, A. H. 1919, ApJ, 49, 153 [NASA ADS] [CrossRef] [Google Scholar]
- Hathaway, D. H. 2009, Space Sci. Rev., 144, 401 [NASA ADS] [CrossRef] [Google Scholar]
- Hathaway, D. H., Wilson, R. M., & Reichmann, E. J. 1999, J. Geophys. Res., 104, 22375 [NASA ADS] [CrossRef] [Google Scholar]
- Howard, R., & Labonte, B. J. 1980, ApJ, 239, L33 [NASA ADS] [CrossRef] [Google Scholar]
- Howard, R. F. 1991, Sol. Phys., 136, 251 [Google Scholar]
- Howard, R. F. 1993, Sol. Phys., 145, 105 [NASA ADS] [CrossRef] [Google Scholar]
- Howard, R. F. 1996, Sol. Phys., 169, 293 [NASA ADS] [Google Scholar]
- Howard, R. F., Gilman, P. I., & Gilman, P. A. 1984, ApJ, 283, 373 [NASA ADS] [CrossRef] [Google Scholar]
- Jiang, J., Chatterjee, P., & Choudhuri, A. R. 2007, MNRAS, 381, 1527 [NASA ADS] [CrossRef] [Google Scholar]
- Komm, R. W., Howard, R. F., & Harvey, J. W. 1993, Sol. Phys., 147, 207 [Google Scholar]
- Leighton, R. B. 1969, ApJ, 156, 1 [Google Scholar]
- Makarov, V. I., Makarova, V. V., & Sivaraman, K. R. 1989, Sol. Phys., 119, 45 [Google Scholar]
- Rempel, M. 2006, ApJ, 647, 662 [NASA ADS] [CrossRef] [Google Scholar]
- Rempel, M. 2008, J. Phys. Conf. Ser., 118, 012032 [NASA ADS] [CrossRef] [Google Scholar]
- Rempel, M., & Schüssler, M. 2001, ApJ, 552, L171 [NASA ADS] [CrossRef] [Google Scholar]
- Schrijver, C. J., DeRosa, M. L., & Title, A. M. 2002, ApJ, 577, 1006 [NASA ADS] [CrossRef] [Google Scholar]
- Schüssler, M., & Baumann, I. 2006, A&A, 459, 945 [NASA ADS] [CrossRef] [EDP Sciences] [Google Scholar]
- Schüssler, M., Caligari, P., Ferriz-Mas, A., & Moreno-Insertis, F. 1994, A&A, 281, L69 [Google Scholar]
- Sivaraman, K. R., Gupta, S. S., & Howard, R. F. 1993, Sol. Phys., 146, 27 [NASA ADS] [CrossRef] [Google Scholar]
- Sivaraman, K. R., Gupta, S. S., & Howard, R. F. 1999, Sol. Phys., 189, 69 [Google Scholar]
- Sivaraman, K. R., Gokhale, M. H., Sivaraman, H., Gupta, S. S., & Howard, R. F. 2007, ApJ, 657, 592 [NASA ADS] [CrossRef] [Google Scholar]
- Solanki, S. K., & Schmidt, H. U. 1993, A&A, 267, 287 [NASA ADS] [Google Scholar]
- Solanki, S. K., Krivova, N. A., Schüssler, M., & Fligge, M. 2002, A&A, 396, 1029 [NASA ADS] [CrossRef] [EDP Sciences] [Google Scholar]
- Solanki, S. K., Wenzler, T., & Schmitt, D. 2008, A&A, 483, 623 [NASA ADS] [CrossRef] [EDP Sciences] [Google Scholar]
- Spruit, H. C. 2003, Sol. Phys., 213, 1 [Google Scholar]
- Steiner, O. 2004, in Multi-Wavelength Investigations of Solar Activity, ed. A. V. Stepanov, E. E. Benevolenskaya, & A. G. Kosovichev (Cambridge, UK: Cambridge University Press), IAU Symp., 223, 299 [Google Scholar]
- Wang, Y.-M., & Sheeley, Jr., N. R. 1989, Sol. Phys., 124, 81 [NASA ADS] [CrossRef] [Google Scholar]
- Wang, Y.-M., & Sheeley, Jr., N. R. 1991, ApJ, 375, 761 [NASA ADS] [CrossRef] [Google Scholar]
- Wang, Y.-M., Lean, J., & Sheeley, Jr., N. R. 2002, ApJ, 577, L53 [Google Scholar]
- Zhao, J., & Kosovichev, A. G. 2004, ApJ, 603, 776 [NASA ADS] [CrossRef] [Google Scholar]
All Tables
Table 1: Area-weighted mean tilt angles in degrees for each cycle for MW and KK records.
Table 2: Correlation coefficients between the 4 quantities based on the tilt angle and the strength (S), amplitude (A) and length (L) of the same cycle.
Table 3: Correlation coefficients between the 4 quantities based on the tilt angle and the length, L, of the next cycle.
Table 4:
Correlation coefficients between expressions containing
of cycle i and the strength or maximum amplitude of
cycle i+1.
All Figures
|
Figure 1:
Area versus polarity separation between the leading and following
portions of a sunspot group for a) Mount Wilson
and b) Kodaikanal data sets. The dashed line
corresponds to |
| Open with DEXTER | |
| In the text | |
|
Figure 2: In all panels: dashed thin line and left-hand Y-axes show the monthly means of the sunspot area from Balmaceda et al. (2009) vs. time; the solid and the dot-dashed thick lines represent Mount Wilson and Kodaikanal data, respectively. a) Monthly area-weighted means of sunspot tilt angle smoothed over 4 years (right-hand Y-axis), b) area-weighted latitude separation (right-hand Y-axis) and c) area-weighted longitude separation of leading and following parts of sunspot groups (right-hand Y-axis). |
| Open with DEXTER | |
| In the text | |
|
Figure 3:
Mean tilt angle for bins of 5 degrees latitude vs. latitude for MW
(asterisks connected by the dashed line) and KK (open circles connected
by the solid line). The error bars represent |
| Open with DEXTER | |
| In the text | |
|
Figure 4:
Cycle averaged tilt angle normalised by the emergence latitude vs.
strength of the same cycle. The error bars represent 1 |
| Open with DEXTER | |
| In the text | |
|
Figure 5:
Strength of cycle multiplied by normalised mean area-weighted tilt
angle vs. the strength of the next cycle for a)
MW data (
|
| Open with DEXTER | |
| In the text | |
|
Figure 6: Comparison of actual and predicted sunspot area. The dashed curve shows monthly sunspot areas smoothed over 12 months from Balmaceda et al. (2009). The solid curve is the prediction based on the tilt angles and sunspot areas of the previous cycle for a) MW and b) KK records, both smoothed over 24 months. |
| Open with DEXTER | |
| In the text | |
Copyright ESO 2010
Current usage metrics show cumulative count of Article Views (full-text article views including HTML views, PDF and ePub downloads, according to the available data) and Abstracts Views on Vision4Press platform.
Data correspond to usage on the plateform after 2015. The current usage metrics is available 48-96 hours after online publication and is updated daily on week days.
Initial download of the metrics may take a while.
![\begin{figure}
\par\includegraphics[width=9cm,clip]{14301fg1.eps}
\end{figure}](/articles/aa/full_html/2010/10/aa14301-10/Timg16.png)
![\begin{figure}
\par\includegraphics[width=9cm,clip]{14301fg6.eps}
\end{figure}](/articles/aa/full_html/2010/10/aa14301-10/Timg20.png)
![\begin{figure}
\par\includegraphics[width=8.5cm,clip]{14301fg3.eps}
\end{figure}](/articles/aa/full_html/2010/10/aa14301-10/Timg29.png)
![\begin{figure}
\par\includegraphics[width=8.5cm,clip]{14301fg4.eps}
\end{figure}](/articles/aa/full_html/2010/10/aa14301-10/Timg53.png)
![\begin{figure}
\par\flushleft
\includegraphics[scale=0.5]{14301fg5.eps}
\end{figure}](/articles/aa/full_html/2010/10/aa14301-10/Timg69.png)
![\begin{figure}
\flushleft
\includegraphics[width=9cm,clip]{14301fg2.eps}
\end{figure}](/articles/aa/full_html/2010/10/aa14301-10/Timg78.png)