Free Access

This article has an erratum: [https://doi.org/10.1051/0004-6361/201014301e]


   

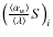
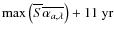
Table 4:

Correlation coefficients between expressions containing $\alpha $ of cycle i and the strength or maximum amplitude of cycle i+1.

Mount Wilson
Kodaikanal  
  $r_{\rm c}$ P $r_{\rm c}$ P

$\left(\frac{\langle\alpha_{w}\rangle}{\langle\lambda\rangle}S\right)_{i}$vs. Si+1
0.65 0.11 0.70 0.08
$\max\left(\overline{S} \overline{\alpha_{a,\lambda}}\right)+11~\rm yr$ vs. $\max\left(\overline{S}\right)$ 0.79 0.03 0.78 0.04

Notes. Correlation coefficients are represented by $r_{\rm c}$ and the probability that the correlation is due to chance by P for both the MW and KK data sets. The two rows correspond to different expressions explained in the main text.


Source LaTeX | All tables | In the text

Current usage metrics show cumulative count of Article Views (full-text article views including HTML views, PDF and ePub downloads, according to the available data) and Abstracts Views on Vision4Press platform.

Data correspond to usage on the plateform after 2015. The current usage metrics is available 48-96 hours after online publication and is updated daily on week days.

Initial download of the metrics may take a while.