Free Access
Issue
A&A
Volume 519, September 2010
Article Number A73
Number of page(s) 6
Section Cosmology (including clusters of galaxies)
DOI https://doi.org/10.1051/0004-6361/201014522
Published online 15 September 2010
A&A 519, A73 (2010)

A cosmographic calibration of the Ep,i -  ${E}_{{\rm iso}}$ (Amati) relation for GRBs

S. Capozziello1,2 - L. Izzo1,3,4

1 - Dipartimento di Scienze Fisiche, Università di Napoli ``Federico II'', Compl. Univ. Monte S. Angelo, Ed. N, via Cinthia, 80126 Napoli, Italy
2 - INFN Sez. di Napoli, Compl. Univ. Monte S. Angelo, Ed. N, via Cinthia, 80126 Napoli, Italy
3 - ICRANet and ICRA, Piazzale della Repubblica 10, 65122 Pescara, Italy
4 - Dip. di Fisica, Università di Roma ``La Sapienza'', Piazzale Aldo Moro 5, 00185 Roma, Italy

Received 27 March 2010 / Accepted 4 June 2010

Abstract
Aims. The Amati relation, which connects the isotropic energy emitted and the rest-frame peak energy of the $\nu$F$\nu$ spectra of GRBs, is cosmology-dependent, so we need a method to obtain an independent calibration of the Amati relation.
Methods. Using the Union Supernovae Ia catalog, we obtain a cosmographic luminosity distance in the y-redshift and verify that this parameterization very well approximates the fiducial standard cosmological model $\Lambda $CDM. Using this cosmographic luminosity distance $d_{\rm l}$, we compute the Amati relation considering this cosmology-independent definition of $d_{\rm l}$.
Results. The cosmographic Amati relation we obtain agrees in the errors with other cosmology-independent calibrations proposed in the literature.

Key words: distance scale - cosmological parameters - gamma-rays bursts: general

1 Introduction

It is widely known that Supernovae Ia (SNeIa) are very accurate and reliable standard candles, (Phillips et al. 1993). In recent years their use as cosmological distance indicators have led to the discovery that the Universe is in a phase of accelerated expansion (Perlmutter et al. 1999; Riess et al. 1998). This feature has also led to a revision of the standard cosmological model, leading to what is known today as the $\Lambda $CDM concordance model, see e.g. Ostriker & Steinhardt (1995). However, due to their brightness, it is not possible to observe these objects very far away in the Universe. The most distant Supernova Ia was observed at a redshift of $z \sim 1.7$, (Benitez et al. 2002). For this reason, the several cosmological analysis made using the various compiled sample of SNeIa, like the Union Catalog, (Kowalski et al. 2008), are unable to investigate the high-redshift region of the Universe. If we had a kind of distance indicators at these redshifts, we could extend our knowledge in this yet unexplored region of the universe.

One of the possible solutions to this problem could be gamma-ray bursts (GRBs) (Piran 2005; Meszaros 2006). The GRBs are the most powerful explosions in the Universe, and this makes them observable even at high redshift. The most distant GRB observed up to now is at a redshift of $\sim$8.2 (Tanvir et al. 2009; Salvaterra et al. 2009). However, GRBs are not standard candles, because they span several orders of magnitude in luminosity, so we have to find another way to use GRBs as cosmological beacons. A possible solution could consist in finding correlations between photometric and/or spectroscopic properties of GRBs themselves. In the scientific literature there are several of these relations, (Schaefer 2006). One of these is the Amati relation (Amati et al. 2002; Amati 2006), which relates the isotropic energy ${E}_{{\rm iso}}$ emitted by a GRB to the peak energy in the rest-frame Ep,i of the $\nu$F($\nu$) electromagnetic spectrum of a GRB. This relation has already been widely used to constrain the cosmological density parameter (e.g. Amati et al. 2008), with quite remarkable results. However, there is still no physical link between this correlation and the mechanisms underlying the production and the emission of a GRB. The basic emission process of a GRB is very likely not unique, so it is not easy to explain the Amati relation from a physical point of view. Recently it has been suggested that the Amati relation could strongly depend on the satellite used for detection and the observation of each GRB, (Butler et al. 2007). But this hypothesis has been rejected recently (Amati et al. 2008), because this relation seems to be verified regardless of the satellite considered for the observations and detection.

Although not supported by physical reasoning, the Amati relation is a phenomenological correlation which leads us to consider it as real and valid for our cosmological purposes. A further problem to use the Amati relation for cosmological purposes is that it must be calibrated independently of the cosmological model considered, because at present it lacks a very low redshift sample of GRBs. In order to compute the energy emitted by an astrophysical object at a certain redshift z, we need indeed a measure of the bolometric flux and of the distance of the same object. For the first quantity we can compute from the observed fluence S the integrated flux in the observation time, and using the spectral model that best fits the spectral energy distribution of each GRB, we can obtain very precise measurements of the bolometric fluence emitted by a GRB, as suggested in Schaefer (2006). The distance indeed depends in a fundamental way on the cosmological model considered. Cosmologists usually employ the standard cosmological model $\Lambda $CDM, with fixed values of the density parameter $\Omega_i$. But this procedure naturally leads to the so-called circularity problem when the Amati relation is used to standardize GRBs. For this reason we need a cosmology-independent calibration of the Amati relation.

Recently, a calibration was performed a calibration with data of SNeIa using different numerical interpolation methods, (Tsutsui et al. 2009; Liang et al. 2008; Kodama et al. 2008), and the results are very interesting. In this work we consider a similar analysis: if we consider the supernovae data from the cosmographic point of view, for a detailed description see e.g. (Weinberg 1972; Visser 2004), it would be possible to obtain a calibration of the Amati relation using the results obtained from a cosmographic fit of a sample of Sn Ia extended up to very high redshift with the GRBs. The use of the cosmography to deduce the cosmological parameters from supernovae Ia was widely discussed in the literature (Visser 2007), and the results are very close to those attained by other and more accurate analysis. Recently an application of the cosmographic method using the clusters, (Capozziello et al. 2009), and also GRB (Capozziello & Izzo 2008) has led to serious doubt about the reliability of this method at high redshift (Vitagliano et al. 2010). Indeed, the estimates of the deceleration parameter q0 and of the jerk j0 gained with this method are usually done at redshift zero and the trend of the obtained theoretical luminosity distance is reliable only at very low redshift. Instead we can circumvent the problem with an appropriate parameterization of the redshift variable, by reducing it to a new variable for the redshift that varies between 0 and 1 (Chevallier & Polarski 2001; Visser 2004).

If we consider the following quantity as the new redshift variable,

\begin{displaymath}y = \frac{z}{1+z}
\end{displaymath} (1)

we obtain that the range of variation of this ``new'' redshift ranges between 0 and 1. In this way we can derive a cosmology-model independent formula for the luminosity distance, so that we could recalibrate and obtain a ``cosmographic'' Amati relation.

Our work is structured as follows: in Sect. 2 we will tackle the cosmographic analysis done on the sample of SNeIa Union, and the obtained results will be used to derive the luminosity distance for each GRB that we will use to fill our cosmographic Amati relation. Before calculating the parameters of this new relation, we will discuss in Sect. 3 how we extend the same relation, adding another 13 GRBs (as of December 2009) to the sample described in Amati et al. (2009), computing the bolometric fluence and the peak energy for each of them. At this point we can calculate the isotropic energy for each GRB so that we can compute the best fit for our sample data, which will be discussed in Sect. 4.

2 Cosmographic analysis

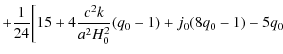
The main purpose of this work consists in obtaining an Amati relation independently of the dynamics of the Universe. For this reason, we dropped the hypothesis of a $\Lambda $CDM Universe, relying only on the starting assumption that the universe is homogeneous and isotropic. This naturally leads to a universe of the Friedmann-Lemaitre-Robertson-Walker type (FRLW) (Weinberg 1972), and we will operate in this context. All we need is a formulation of the luminosity distance $d_{\rm l}$ as a function of the redshift z. These two quantities are linked via the scale factor a(t), which takes into account the expansion of the Universe. It is well known that from the Friedmann equations we can obtain the entire function a(t), but since these equations can be solved only if assumptions are made on the dynamics of the Universe, we do not consider this possibility. However since the evolution of the luminosity distance is well known for small values of the redshift, for our purposes we can consider the power series expansion of the scale factor, which naturally leads to an expression for the luminosity distance in power series terms (Visser 2004)

                                  $\displaystyle d_{\rm l}(z)$ = $\displaystyle d_{\rm H} z  
    $\displaystyle {+}
{1\over24}[
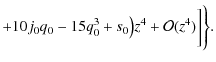
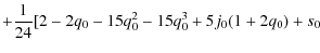
2-2q_0-15q_0^2-15q_0^3+5j_0(1+2q_0)+s_0$  
    $\displaystyle + \frac{2\; k \; d_{\rm H}^2 \; (1+3q_0)}{a_0^2}]\; z^3 +
\mathcal{O}(z^4) \Bigg\} ,$ (2)

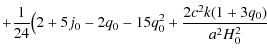
where $d_{\rm H} = c/H_0$ and H0, q0, j0, and s0 are known as the Hubble constant, the deceleration parameter, the jerk and the snap parameter respectively. In order to obtain accurate measurements for the cosmographic parameters, we need to go up to high values of the redshift. This was largely done for the data sample of the SNeIa (Visser 2004).

However, we do not aim to estimate the cosmographic parameters; in a forthcoming paper we will address this problem. In particular we are interested in reconstructing the curve $d_{\rm l}$(z) using this cosmographic methodology. To do this, we used the data sample of SNeIa Union, (Kowalski et al. 2008), which consists of 307 supernovae up to redshift of $\sim$1.7. With this data sample we performed a non-linear least-squares fit considering the empirical equation given by the distance modulus obtained from the expanded $d_{\rm l}$(z)

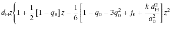
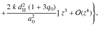
                                $\displaystyle \mu(z)$ = $\displaystyle 25 + {5\over\log 10}
\log \Bigg\{ d_{\rm H} \bigg[ z + {1\over2} (1-q_0)z^2$  
    $\displaystyle -{1\over6} \left(1+j_0+\frac{c^2k}{a^2H_0^2}-q_0-3q_0^2\right)z^3$  
    $\displaystyle + \frac{1}{24} \big( 2+5j_0-2q_0-15q_0^2 +\frac{2c^2k(1+3q_0)}{a^2H_0^2}$  
    $\displaystyle +10j_0q_0-15q_0^3+s_0\big) z^4 + \mathcal{O}(z^4) \bigg] \Bigg\}.$ (3)

Because we are not interested in the estimate of the cosmographic parameters, we will use a custom equation for the fit of the type $\mu(z) = 25 + (5/\log 10)\log (a z + b z^2 + c z^3 + d z^4)$, so we will only compute the parameters a, b, c, d. Once we have an estimate of these parameters, we can easily obtain the values of the cosmographic parameters related. To obtain a better analysis we used a robust interpolation method of the Levenberg-Marquardt type, and the results of our data fitting are shown in Table 1.

Table 1:   Results obtained from the cosmographic fit of the SNeIa using both the redshift variables z and y.

\begin{figure}
\par\begin{tabular}{\vert c\vert c\vert}
\hline
\includegraphics[...
...cm,width=8.5cm]{14522fig5.eps}\tabularnewline
\hline
\end{tabular}
\end{figure} Figure 1:

Trends of the reconstructed distance modulus using the z-redshift ( left) and the y-redshift ( right) applied to the UNION2 data sample.

Open with DEXTER
The reliability test of our fit was done with an R2-test, (Bevington et al. 2002), whose value is 0.9914. But the extension up to high redshift of this function $\mu$(z) shows a serious problem: for redshifts higher than $\sim$2 the curve grows rapidly, see Fig. 1. This steep departure is due to the higher-order terms, the term d, which has a decisive influence at high redshift. This a priori rules out a possible supernova-calibrated $\mu$(z) at high redshift. But these problems can be largely eliminated if we consider a new variable for the redshift. It was shown (Visser 2007; Vitagliano et al. 2010) that the coordinates transformation y = z/(1+z) and consequently the development in power series of the luminosity distance provides a better extrapolation at high redshft, as well as better results for the parameters of the fit. So we performed a cosmographic analysis for the new distance modulus $\mu$(y), in analogy with what was already done for the $\mu$(z). The new expression for the distance modulus, which takes into account the new redshift parametrization, becomes (Vitagliano et al. 2010)
                                $\displaystyle \mu(y)$ = $\displaystyle 25 + {5\over\log 10}
\Bigg\{ \log d_{\rm H} + \log y - {1\over2} (q_0 - 3)y$  
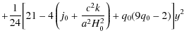
    $\displaystyle +{1\over24} \bigg[21-4 \left(j_0+\frac{c^2k}{a^2H_0^2}\right) + q_0(9 q_0 -2)\bigg]y^2$  
    $\displaystyle + \frac{1}{24} \bigg[15 + 4\frac{c^2k}{a^2H_0^2}(q_0 -1)+j_0(8 q_0 -1)-5q_0$  
    $\displaystyle +2q_0^2 -10q_0^3 +s_0\bigg]y^3 + \mathcal{O}\left(y^4\right) \bigg] \Bigg\},$ (4)

so we will consider a custom equation for the fit similar to the previous one, used for the estimate of the $\mu(z)$ parameters. The results obtained with a non-linear fit are shown in Table 1, while in Fig. 1 we show the trend of the distance modulus for both redshift variables considered.

Below, we will consider the formulation for the distance modulus in terms of the y-redshift in order to derive a cosmographic Amati relation.

3 The data sample

In recent years the interest of astrophysicists and cosmologists was attracted by the possibility of using GRBs as potential distance indicators. This interest arose because most of the GRBs satisfy some correlations between photometrical and spectroscopical observable quantities of GRBs. Among the various existing correlations, for a review of these see e.g. Schaefer (2006), the most famous is the Amati relation, (Amati et al. 2002). It relates the cosmological rest-frame $\nu$$F(\nu)$ spectrum peak energy Ep,i with the equivalent isotropic radiated energy ${E}_{{\rm iso}}$. It was discovered by Amati et al. based on BeppoSAX data and then confirmed also for the X-ray flashes (XRFs), (Lamb et al. 2004), but not for short GRBs. For this reason the Amati relation could be used to distinguish between different classes of GRBs (Amati 2006).

Nevertheless the large scatter in the normalization and the shift toward the Swift detection threshold observed for the Amati relation, as well as for the other correlations (Butler et al. 2007), raised serious doubts about the possible origin of this correlation as due to detector selection effects. But a recent study, (Amati et al. 2009), showed that the different Ep,i - ${E}_{{\rm iso}}$ correlations, obtained independently from the detectors considered for the observations, are fully consistent each other, so the hypothesis of a instrumental-dependent Amati relation seems to fail.

Table 2:   Data for the 13 GRBs added to the old sample described in Amati et al. (2009).

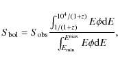
We expand the sample of 95 GRBs published in Amati et al. (2009) adding 13 GRBs and obtaining a sample consisting of 108 GRBs. Mainly we need to know the redshift z, the observed peak energy $E_{p,\rm obs}$ of the $\nu$ $F(\nu)$ spectrum, and an estimate of the bolometric fluence $S_{\rm bolo}$ for each GRB in the sample. To derive the bolometric fluence $S_{\rm bol}$ we used the method outlined in (Schaefer 2006), where from the observed fluence and the spectral model, which better fits the data, we could obtain an estimation of $S_{\rm bol}$ via the formula

\begin{displaymath}S_{\rm bol} = S_{\rm obs} \frac{\int_{1/(1+z)}^{10^4/(1+z)} E...
...{\rm d}
E}{\int_{E_{\rm min}}^{E^{\rm max}} E \phi {\rm d} E},
\end{displaymath} (5)

where $\phi$ is the spectral model considered for the spectral data fit and $S_{\rm obs}$ is the fluence observed for each GRB in a respective detection band $(E_{\rm min}, E_{\rm max})$. For the extra 13 GRBs, we considered a Band spectral model (Band et al. 1993) but for six of these 13 GRBs we do not know the value of $\beta$, because their spectra are fitted with a cut-off power-law spectral model, so for these six GRBs we considered a ``typical'' value for $\beta$ of -2.2 $\pm$ 0.4 (Schaefer 2006), while the $\alpha$-index is the same as the cut-off power-law index $\gamma $. In Table 2, the spectral data for the considered 13 GRBs are shown. The Ep column refers to the measured peak energy. To obtain the peak energy in the rest frame, we have to take into account the redshift of the GRB, then Ep,i = Ep (1+z).
\begin{figure}
\par\includegraphics[width=9cm, height=6cm]{14522fig1.eps}
\end{figure} Figure 2:

68$\%$, 95$\%$ and 98$\%$ constraints on the Amati correlation parameters A and $\gamma $.

Open with DEXTER

Once we have obtained the estimate of $S_{\rm bol}$ for each GRB in the sample, the next step is to estimate the isotropic energy from the well-known formula which relates the luminosity distance and the fluence

\begin{displaymath}
E_{\rm iso} = 4 \pi d_{\rm l}^2 S_{\rm bol} (1+z)^{-1}.
\end{displaymath} (6)

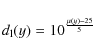
Note that the use of the quantity (1 + z) to obtain the analog value of an observable quantity in the rest-frame is equivalent in the new redshift parameterization to use instead the term 1 / (1-y). The value of the luminosity distance which we must enter in Eq. (6), is what we got previously from the cosmographic fit of the SNeIa. From this fit we just obtained an estimate of the function $\mu (y)$; to go back to the luminosity distance we used the formula

\begin{displaymath}d_{\rm l}(y) = 10^{\frac{\mu(y)-25}{5}}
\end{displaymath} (7)

to compute the value of $ d_{\rm l}(y)$ for each GRB in our sample.

Note that for values of y higher than $\sim$2.5 the curve $\mu (y)$ begins to increase slightly, see Fig. 1. This could lead to improper estimates of the isotropic energies emitted by GRBs at high redshift. If we consider an analog curve referred to a fiducial standard $\Lambda $CDM cosmological model we can quantitatively evaluate this deviation. In Fig. 4 we show the deviation of the curve $\mu (y)$ obtained from the cosmographic fit of the SNeIa and the one that is obtained by considering a $\Lambda $CDM model with values of the density parameters given by $ \Omega_{\rho} = 0.27$ and $\Omega_{\Lambda}
= 0.73 $. The discrepancy from the fiducial $\Lambda $CDM model seems quite small, but should be taken into account when we compute the cosmographic Amati relation.

\begin{figure}
\par\includegraphics[width=9cm, height=6cm]{14522fig4.eps}
\end{figure} Figure 3:

Plot of the $\mu (y)$ computed for a fiducial $\Lambda $CDM cosmological model, the continuous line, and for the reconstructed $\mu (y)$ obtained from the cosmographic fit of the Sn Ia, the dashed line, in function of the z-redshift.

Open with DEXTER
\begin{figure}
\par\begin{tabular}{\vert c\vert c\vert}
\hline
\includegraphics[...
...5cm,width=8.5cm]{14522fig3.eps}\tabularnewline
\hline
\end{tabular}
\end{figure} Figure 4:

Plot of the cosmographic Amati relation in the $E_{\rm iso}-E_{p,i}$ plane ( left) and in the mutual $E_{p,i}-E_{\rm iso}$ one. The line of prediction bounds represents a deviation of 2 $\sigma _{\rm ext}$ from the best fit line, the thick one.

Open with DEXTER

4 The cosmographic Amati relation

At this point we can calculate the parameters of the Amati relation for the sample that we previously constructed.

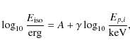
The Amati relation is a correlation of the type $ E_{\rm iso} = a
E_{p,i} ^{\gamma}$, which could be linearized in the form

\begin{displaymath}\log_{10} \frac{E_{\rm iso}}{\rm erg} = A + \gamma \log_{10}
\frac{E_{p,i}}{\rm keV},
\end{displaymath} (8)

with A = $\log_{10} a$. We have in this case

\begin{displaymath}\sigma \log E_{p,i} = \frac{\sigma E_{p,i}}{\ln 10 E_{p,i}} ;...
...{\rm iso} = \frac{\sigma E_{\rm iso}}{\ln 10 E_{\rm iso}}\cdot
\end{displaymath} (9)

Our procedure consists in the maximization of the likelihood L, which is reduced to the $\chi^2$ minimization

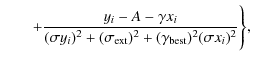
\begin{displaymath}\chi^2 = \sum_{n=i}^{108} \frac{y_i - A - \gamma x_i}{(\sigma y_i)^2 + (\gamma_{\rm best})^2 (\sigma x_i)^2},
\end{displaymath} (10)

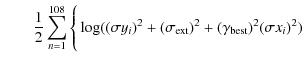
with $\gamma_{\rm best}$ given by the best fit for the $\gamma $ parameter. We use a grid-search method in the parameter space (A, $\gamma $) in order to find the parameters which minimize the $\chi^2$ (Bevington et al. 2002). If we fit our data sample with a classical linear fit procedure, we obtain an index $\gamma = 1.44 \pm 0.12$ and a normalization $A = 49.15 \pm 0.31$, slightly consistent with previous analysis (Liang et al. 2008), but with a low value for the R2 confidence parameter (0.77). For this reason we have taken into account an extra variability of the y data, due to some hidden variables that we cannot observe directly (D'Agostini 2005; see also Amati et al. 2008; Guidorzi et al. 2006); what we observe is an overall effect integrated over the complete variability of these hidden variables. If we call $\sigma _{\rm ext}$ the root mean square of this extra error, we should insert this term in the source error for the y data: $(\sigma y_{i,\rm new})^2 = (\sigma y_i)^2$ + $(\sigma_{\rm ext})^2$. The immediate consequence is that we have now an extra parameter in our parameter space. In order to estimate the parameters of the Amati relation and this extra scatter parameter we use a method delineated in (D'Agostini 2005), where the optimal values of our parameters can be obtained by minimizing the log-likelihood function

                                          $\displaystyle L(A,\gamma,\sigma_{\rm ext}\vert y_i, x_i) =$ (11)
    $\displaystyle \qquad\frac{1}{2}\sum_{n=1}^{108}\Bigg\{\log((\sigma y_i)^2 + (\sigma_{\rm ext})^2 + (\gamma_{\rm best})^2 (\sigma x_i)^2)$ (12)
    $\displaystyle \qquad +\frac{y_i - A - \gamma x_i}{(\sigma y_i)^2 + (\sigma_{\rm ext})^2 +
(\gamma_{\rm best})^2 (\sigma x_i)^2}\Bigg\} ,$ (13)

where yi = $\log_{10} E_{\rm iso}$ and $x_� = \log_{10} E_{p,i}$. As a first analysis we have found the value of the extra scatter parameter to be $\sigma_{\rm ext} = 0.37$. Then we fixed this parameter and started a grid search in order to find the best values for A and $\gamma $. Our fit results are:

    $\displaystyle A = 49.17 \pm 0.40 \quad \gamma = 1.46 \pm 0.29$ (14)
    $\displaystyle \left\{
\begin{array}{lr}
0.332602 & -0.0124367 \\
-0.0124367 & 0.00484369,
\end{array} \right.$  

slightly different from our previous results. In Fig. 2 we report the confidence region which is in the parameter space (A, $\gamma $). We also investigated the estimate of the correlation and the extra scatter parameters of the inverse relation $\log_{10}
\frac{E_{p,i}}{\rm keV} = q + m \log_{10} \frac{E_{\rm iso}}{\rm erg}$. Using the same procedure we obtain $q = -25.47 \pm 1.88$ and $m =0.53 \pm 0.43$ with the extra scatter parameter $\sigma_{\rm ext}=0.22$. Note that we put also the mixed covariance terms $\sigma_{x_iy_i}$ in the uncertainties obtained from the covariance matrix. The plot of the distribution of data sample and the results of both data fittings are shown in Fig. 4, where the best-fit power-law is represented by the continuous line with $\pm$2 $\sigma _{\rm ext}$ confidence limit.

An immediate comparison with the results obtained by different methods of interpolation (Liang et al. 2008) immediately shows a slight discrepancy between the parameters of the relation. We think that this could be because the calibration done in Liang et al. (2008) depends only on the trend traced by SNeIa, while the cosmographic analysis takes into account the corrections due to existing physical parameters, like q0, j0, and so on. Still the reason could also be another: because the sample of supernovae that we used to calibrate the Amati relation is different from that used in Liang et al. (2008), where the authors used the catalog of 192 supernovae explained in Wood-Vasey et al. (2007), the slight difference in the results could be due to the different sample used for the calibration.

5 Discussion and conclusions

The problem of extending existing cosmological models up to medium-high redshift to force better results is one of the most important questions in the modern cosmology. One possible way to achieve this goal is through GRBs, the most powerful explosions in the Universe, which however are not standard candles in a proper sense, because the energy emitted by these objects spans about six orders of magnitude. But several correlations between spectroscopic and photometric observable quantities of GRBs allow us to partly solve this problem. The fundamental prerequisite for obtaining such a relationship is to have some estimate of the energy emitted by GRBs in a way independent of the cosmology. We here considered a formula for the luminosity distance $d_{\rm l}$ that is independent on the dynamics of the Universe, but in principle it can be applied only to small redshift. Although we use a parameterization for the redshift which allows us to transform the variable z in a new variable y, ranging in a small and limited interval, we have seen that the obtained luminosity distance slightly differs from the fiducial model $\Lambda $CDM at high redshift, see Fig. 4. Nevertheless, because we obtained the curve $ d_{\rm l}(y)$ by an analysis of the sample of SNeIa Union, which extends up to a redshift of $\sim$1.7, an independent estimate at slightly higher redshift, which may be a future estimate of the BAO performed with the next survey of clusters at intermediate redshift ( $z \approx 2.5$-3.5), would give a better approximation for the curve $ d_{\rm l}(y)$. Through using the $ d_{\rm l}(y)$ obtained with the cosmographic fit of the SNeIa, we obtained a sample of GRBs in a cosmology-independent way so that we could obtain, using a fit of the same GRB sample, a cosmographic Amati relation. The results obtained are very similar to those obtained from other analysis performed using other methods (Schaefer 2006; Amati et al. 2002; Liang et al. 2008). This slight difference made us go further and use this cosmology-independent, but we like to call it supernova-dependent, Amati relation in the future in order to constrain the various cosmological models existing in literature and maybe confirming the physical validity of this very important relations, which can also be used to study the various mechanisms of emission occurring in GRBs.

Acknowledgements
We thank L. Amati for providing us the sample of GRBs and the referee for the useful suggestions that allowed us to improve the paper. L.I. warmly thank R. Benini for the useful discussions on the data analysis.

References

  1. Amanullah, R., Lidman, C., Rubin, D., et al. 2010, ApJ, 716, 712 [NASA ADS] [CrossRef] [Google Scholar]
  2. Amati, L. 2006, MNRAS, 372, 233 [NASA ADS] [CrossRef] [Google Scholar]
  3. Amati, L., Frontera, F., Tavani, M., et al. 2002, A&A, 390, 81 [NASA ADS] [CrossRef] [EDP Sciences] [Google Scholar]
  4. Amati, L., Guidorzi, C., Frontera, F., et al. 2008, MNRAS, 391, 577 [NASA ADS] [CrossRef] [MathSciNet] [Google Scholar]
  5. Amati, L., Frontera, F., Guidorzi, C., et al. 2009, A&A, 508, 173 [NASA ADS] [CrossRef] [EDP Sciences] [Google Scholar]
  6. Band, D., Matteson, J., Ford, L., et al. 1993, ApJ, 413, 281 [NASA ADS] [CrossRef] [Google Scholar]
  7. Barthelmy, S. D., Baumgartner, W. H., Cummings, J. R., et al. 2009, GCN Circ., 10103 [Google Scholar]
  8. Benitez, N., Riess, A., Nugent, P., et al. 2002, ApJ, 577, L1 [NASA ADS] [CrossRef] [Google Scholar]
  9. Bevington, P., et al. 2002, Data Reduction and Error Analysis for the Physical Sciences, ed. McGraw-Hill [Google Scholar]
  10. Bissaldi, E. 2009, GCN Circ., 9933 [Google Scholar]
  11. Bissaldi, E., & Connaughton, V. 2009, GCN Circ., 9866 [Google Scholar]
  12. Briggs, M. S. 2009, GCN Circ., 9957 [Google Scholar]
  13. Butler, N., Kocevski, D., Bloom, J. S., et al. 2007, ApJ, 671, 656 [NASA ADS] [CrossRef] [Google Scholar]
  14. Capozziello, S., & Izzo, L. 2008, A&A, 490, 31 [NASA ADS] [CrossRef] [EDP Sciences] [Google Scholar]
  15. Capozziello, S., de Filippis, E., Salzano, V., et al. 2009, MNRAS, 394, 974 [Google Scholar]
  16. Chevallier, M., & Polarski, D. 2001, Int. J. Mod. Phys. D, 10, 213 [NASA ADS] [CrossRef] [Google Scholar]
  17. D'Agostini, G. 2005 [arXiv:physics/0511182] [Google Scholar]
  18. Golenetskii, S. 2009, GCN Circ., 10057 [Google Scholar]
  19. Golenetskii, S., Aptekar, R., Frederiks, D., et al. 2009a, GCN Circ., 9679 [Google Scholar]
  20. Golenetskii, S., Aptekar, R., Mazets, E., et al. 2009b, GCN Circ., 10045 [Google Scholar]
  21. Guidorzi, C., et al. 2008, MNRAS, 371, 843 [Google Scholar]
  22. Kodama, Y., Yonetoku, D., Murakami, T., et al. 2008, 391, L1 [Google Scholar]
  23. Kowalski, M., Rubin, D., Aldering, G., et al. 2008, ApJ, 686, 749 [NASA ADS] [CrossRef] [Google Scholar]
  24. Lamb, D. Q., Donaghy, T. Q., & Graziani, C. 2004, New AR, 48, 459 [Google Scholar]
  25. Liang, N., Xiao, W. K., Liu, Y., & Zhang, S. N. 2008, ApJ, 685, 354 [NASA ADS] [CrossRef] [Google Scholar]
  26. McBreen, S. 2009a, GCN Circ., 9535 [Google Scholar]
  27. McBreen, S. 2009b, GCN Circ., 10266 [Google Scholar]
  28. Meszaros, P. 2006, Rep. Prog. Phys., 69, 2259 [NASA ADS] [CrossRef] [Google Scholar]
  29. Ostriker, J. P., & Steinhardt, P. J. 1995 [arXiv:astro-ph/9505066] [Google Scholar]
  30. Perlmutter, S., Aldering, G., Goldhaber, G., et al. 1999, ApJ, 517, 565 [NASA ADS] [CrossRef] [Google Scholar]
  31. Phillips, M. M. 1993, ApJL, 413, 105 [Google Scholar]
  32. Piran, T. 2005, Rev. Mod. Phys., 76, 1144 [Google Scholar]
  33. Rau, A. 2009, GCN Circ., 9983 [Google Scholar]
  34. Riess, A. G., Filippenko, A. V., Challis, P., et al. 1998, AJ, 116, 1009 [NASA ADS] [CrossRef] [Google Scholar]
  35. Sakamoto, T., Barthelmy, S. D., Baumgartner, W., et al. 2009a, GCN Circ., 9422 [Google Scholar]
  36. Sakamoto, T., Barthelmy, S. D., Baumgartner, W., et al. 2009b, GCN Circ., 9821 [Google Scholar]
  37. Salvaterra, R., Della Valle, M., Campana, S., et al. 2009, Nature, 461, 1258 [NASA ADS] [CrossRef] [PubMed] [Google Scholar]
  38. Schaefer, B. 2007, ApJ, 660, 16 [NASA ADS] [CrossRef] [Google Scholar]
  39. Tanvir, N., Fox, D. B., Levan, A. J., et al. 2009, Nature, 461, 1254 [NASA ADS] [CrossRef] [PubMed] [Google Scholar]
  40. Tsutsui, R., Nakamura, T., Yonetoku, D., et al. 2009, JCAP08, 015 [Google Scholar]
  41. Visser, M. 2004, Class. Quant. Grav., 21, 2603 [NASA ADS] [CrossRef] [Google Scholar]
  42. Visser, M., & Catto Formula n, C. 2007a, Class. Quant. Grav., 24 5985 [NASA ADS] [CrossRef] [MathSciNet] [Google Scholar]
  43. Vitagliano, V., Xia, J.-Q., Liberati, S., et al. 2010, JCAP, 3, 005 [NASA ADS] [CrossRef] [Google Scholar]
  44. Weinberg, S. 1972, Gravitation and Cosmology: Principles and applications of the general theory of relativity (New York: Wiley) [Google Scholar]
  45. Wilson-Hodge, C. A., & Preece, R. D. 2009, GCN Circ., 10204 [Google Scholar]
  46. Wood-Vasey, W. M., Miknaitis, G., Stubbs, C. W., et al. 2007, 666, 694 [Google Scholar]

All Tables

Table 1:   Results obtained from the cosmographic fit of the SNeIa using both the redshift variables z and y.

Table 2:   Data for the 13 GRBs added to the old sample described in Amati et al. (2009).

All Figures

  \begin{figure}
\par\begin{tabular}{\vert c\vert c\vert}
\hline
\includegraphics[...
...cm,width=8.5cm]{14522fig5.eps}\tabularnewline
\hline
\end{tabular}
\end{figure} Figure 1:

Trends of the reconstructed distance modulus using the z-redshift ( left) and the y-redshift ( right) applied to the UNION2 data sample.

Open with DEXTER
In the text

  \begin{figure}
\par\includegraphics[width=9cm, height=6cm]{14522fig1.eps}
\end{figure} Figure 2:

68$\%$, 95$\%$ and 98$\%$ constraints on the Amati correlation parameters A and $\gamma $.

Open with DEXTER
In the text

  \begin{figure}
\par\includegraphics[width=9cm, height=6cm]{14522fig4.eps}
\end{figure} Figure 3:

Plot of the $\mu (y)$ computed for a fiducial $\Lambda $CDM cosmological model, the continuous line, and for the reconstructed $\mu (y)$ obtained from the cosmographic fit of the Sn Ia, the dashed line, in function of the z-redshift.

Open with DEXTER
In the text

  \begin{figure}
\par\begin{tabular}{\vert c\vert c\vert}
\hline
\includegraphics[...
...5cm,width=8.5cm]{14522fig3.eps}\tabularnewline
\hline
\end{tabular}
\end{figure} Figure 4:

Plot of the cosmographic Amati relation in the $E_{\rm iso}-E_{p,i}$ plane ( left) and in the mutual $E_{p,i}-E_{\rm iso}$ one. The line of prediction bounds represents a deviation of 2 $\sigma _{\rm ext}$ from the best fit line, the thick one.

Open with DEXTER
In the text


Copyright ESO 2010

Current usage metrics show cumulative count of Article Views (full-text article views including HTML views, PDF and ePub downloads, according to the available data) and Abstracts Views on Vision4Press platform.

Data correspond to usage on the plateform after 2015. The current usage metrics is available 48-96 hours after online publication and is updated daily on week days.

Initial download of the metrics may take a while.