| Issue |
A&A
Volume 520, September-October 2010
|
|
|---|---|---|
| Article Number | A30 | |
| Number of page(s) | 22 | |
| Section | Cosmology (including clusters of galaxies) | |
| DOI | https://doi.org/10.1051/0004-6361/200913948 | |
| Published online | 24 September 2010 | |
The universal distribution of halo interlopers in projected phase space
Bias in galaxy cluster concentration and velocity anisotropy?![[*]](/icons/foot_motif.png)
G. A. Mamon1,2 - A. Biviano3 - G. Murante4
1 - Institut d'Astrophysique de Paris (UMR 7095: CNRS & UPMC), 98 bis
Bd. Arago, 75014 Paris, France
2 -
Astrophysics & BIPAC, University of Oxford, Keble Rd, Oxford OX13RH, UK
3 -
INAF, Osservatorio Astronomico di Trieste, Trieste, Italy
4 -
INAF, Osservatorio Astronomico di Torino, Torino, Italy
Received 22 December 2009 / Accepted 1 July 2010
Abstract
When clusters of galaxies are viewed in projection, one cannot avoid picking
up a fraction of foreground/background interlopers, that lie within the
virial cone, but outside the virial sphere. Structural and kinematic
deprojection equations are known for the academic case of a static Universe,
but not for the real case of an expanding Universe, where the Hubble flow (HF)
stretches the line-of-sight distribution of velocities.
Using 93 mock relaxed clusters, built from the dark matter (DM) particles of a
hydrodynamical cosmological simulation, we quantify the distribution of
interlopers in projected phase space (PPS), as well as the biases in the
radial and kinematical structure of clusters produced by
the HF.
The stacked mock clusters are well fit by an m=5 Einasto
DM density profile (but only out to 1.5 virial radii), with velocity anisotropy
(VA) close to the Mamon-
okas
model with characteristic radius equal to that of density slope -2.
The surface density of interlopers is nearly flat out to the virial radius,
while their velocity
distribution shows a dominant Gaussian cluster-outskirts
component and a
flat field component.
This distribution of interlopers in PPS is nearly universal,
showing only small trends with cluster mass, and is quantified.
A local
sigma velocity cut
is found to return the line-of-sight velocity dispersion profile (LOSVDP) expected
from the NFW density and VA profiles measured in three
dimensions. The HF causes a shallower outer LOSVDP that cannot be
well matched by the Einasto model for any value of
.
After this velocity cut, which
removes 1 interloper out of 6, interlopers still account for
% of all
DM particles with projected radii within the virial radius (surprisingly very similar to the
observed fraction of cluster galaxies lying off the Red Sequence) and over
60% between 0.8 and 1 virial radius.
The HF causes the best-fit projected NFW or m=5 Einasto model to the
stacked cluster to underestimate the true concentration measured in 3D by
(
)
after (before) the velocity cut. These biases in
concentration are reduced by over a factor two once a constant
background is included in the fit.
The VA profile recovered from the measured LOSVDP
by assuming the correct mass
profile recovers fairly well the VA measured in 3D, with a slight,
marginally significant,
bias towards more radial orbits in the outer regions.
These small biases
in the concentration and VA of the galaxy system are overshadowed by important cluster-to-cluster
fluctuations caused by cosmic variance and by the strong inefficiency
caused by the limited numbers of observed galaxies in clusters.
An appendix provides an analytical approximation to the surface density,
projected mass and tangential shear profiles of
the Einasto model. Another derives the expressions for the surface density
and mass profiles of the NFW model
projected on the sphere (for future kinematic modeling).
Key words: galaxies: clusters: general - cosmology: miscellaneous - dark matter - galaxies: halos - gravitational lensing: weak - methods: numerical
1 Introduction
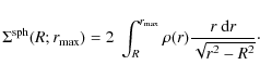
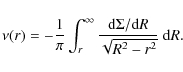
The galaxy number density profiles of groups and clusters of galaxies falls off slowly enough at large radii that material beyond the virial radius (within which these structures are thought to be in dynamical equilibrium) contribute non-negligibly to the projected view of cluster, i.e. to the radial profiles of surface density, line-of-sight velocity dispersion and higher velocity moments.
In principle, this contamination of observables by interlopers,
defined here as particles that lie within the virial cone but outside the
virial sphere, is not a
problem, since we know
how to express deprojection equations when interlopers extend to infinity
along the line-of-sight. Consider the projection equation
where
The projection to infinity is explicit in Eqs. (1) and (2).
|
Figure 1:
Line-of-sight velocity as a function of real-space line-of-sight
distance (see
Fig. 2) for particles inside the virial cone
obtained by stacking 93
cluster-mass halos in the cosmological simulation described in
Sect. 2
without (top) and with (bottom) the Hubble flow (1 particle in 5 is shown for clarity).
The red dashed horizontal lines roughly indicate the effects of a
radius-independent |
| Open with DEXTER | |
|
Figure 2: Representation of the virial cone with halo particles inside the inscribed virial sphere and interlopers outside. Also shown is our definition of projected radius (CQ) and line-of-sight distance (OP and QP respectively in the observer and halo reference frames) for a random point P. For illustrative purposes, the distance to the cone is taken to be very small, so that the cone opening angle is much larger than in reality. |
| Open with DEXTER | |
However, the Hubble expansion
complicates the picture, as the Hubble flow moves background
(foreground) objects to high positive (negative) line-of-sight velocities.
This is illustrated in Fig. 1 which shows
how the line-of-sight
velocity vs. real-space distance relation is affected by the Hubble flow.
The line-of-sight distances are computed as the segment length QP in
Fig. 2.
Now,
clipping the velocity differences to, say,
times the cluster velocity
dispersion (averaged over a circular aperture, hereafter aperture velocity
dispersion),
,
gets rid of all the distant interlopers.
More precisely, the radius,
,
where the Hubble flow matches
is found by solving
(where H0 is the Hubble constant)
yielding
where rv is the virial radius where the mean density is
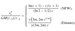
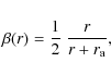
where r-2 is the radius of density slope -2, in number (Lin et al. 2004), luminosity (okas & Mamon 2003) and mass (okas & Mamon; Biviano & Girardi 2003; Katgert et al. 2004), with a concentration, c=rv/r-2, of 3 to 5. For isotropic NFW models, the aperture velocity dispersion is (Appendix A of Mauduit & Mamon 2007)
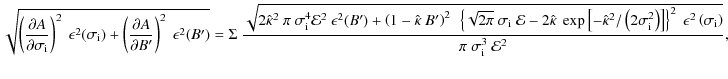
Equation (5) indicates that a 3-sigma clipping will remove all material beyond 13 (
Finally, it is not clear how the stretching of the velocities
affects the kinematic analyses of clusters, especially in the case of nearby
clusters where the opening angle of the cone is non-negligible, leading to an
asymmetry between the foreground and background absolute velocity
distributions. For example, is the anisotropy of the 3D velocity distribution
(hereafter velocity anisotropy or simply anisotropy)
or equivalently
affected by the Hubble flow? One can add interlopers beyond the virial radius as a separate component to the kinematical modeling (Wojtak et al. 2007; van der Marel et al. 2000). Unfortunately, we have no knowledge of the distribution of interlopers in projected phase space (projected distance to the halo center and line-of-sight velocity).
This paper provides the distribution of interlopers in projected phase space (projected distance to the halo center and line-of-sight velocity) as measured on nearly 100 stacked halos from a well-resolved cosmological simulation. We additionally measure the bias in the measured surface density and line-of-sight velocity dispersion and kurtosis profiles compared to those obtained in a Universe with no Hubble flow, and estimate how this bias affects the recovered concentration and velocity anisotropy of the cluster. In this paper, we use interchangeably the terms ``clusters'' and ``halos''.
We present in Sect. 2 the cosmological simulations we use and how the individual halos were built. In Sect. 3 we explain how we stack these halos. In Sect. 4, we present the statistics on the halo members and the interlopers in projected phase space. Then in Sect. 5, we explain how we remove the outer interlopers and show analogous statistics on the cleaned stacked halo in Sect. 6. We proceed in Sect. 7 to measure the biases induced by the Hubble flow and the imperfect interloper removal on the estimated concentration parameter and anisotropy profile. We discuss our results in Sect. 8.
2 Data from cosmological N-body simulations
The halos analyzed in this paper were extracted
by Borgani et al. (2004)
from their large cosmological hydrodynamical simulation
performed using the
parallel Tree+SPH GADGET-2 code (Springel 2005).
The simulation assumes a cosmological model with present day parameters
,
,
,
,
and
.
The box size is
L=192
h-1 Mpc. The simulation used 4803 dark matter particles and
(initially) as many gas
particles, for a dark matter particle mass of
.
The softening length was set to
until z=2 and fixed afterwards (i.e.,
7.5 h-1 kpc). The simulation code includes
explicit energy and entropy conservation, radiative cooling, a uniform
time-dependent UV background (Haardt & Madau 1996), the
self-regulated hybrid multi-phase model for star formation (Springel & Hernquist 2003),
and a phenomenological model for galactic
winds powered by type-II supernovae.
Dark matter halos were identified by Borgani et al.
at redshift z=0 by applying a standard
Friends-of-friends (FoF) analysis to the dark matter particle set, with linking
length 0.15 times the mean inter-particle
distance. After the FoF identification, the center of the halo was set to
the position of its most bound particle.
A spherical
overdensity criterion was then applied
to determine the virial radius,
rv=r200 of each halo.
In this manner, 117 halos were identified
within the
simulated volume, among which 105 form a complete subsample
with
virial mass M200 larger than
,
thus
representing a sample of mock galaxy clusters.
Their mean and maximum masses are respectively
and
.
To save computing time, we worked on a random subsample of roughly 2 million particles among the 4803. Although the simulation also produced galaxies, we chose to use the dark matter particles as tracers of the galaxy distribution for two reasons: 1) simulated galaxy properties in cosmological simulations depend on details of the baryon physics implemented in the code, and can show some mismatch with observed properties (e.g. Saro et al. 2006); 2) only a handful of simulated clusters had over 50 galaxies (Saro et al.), so we would have strongly suffered from small-number statistics. There is some debate on whether the velocity distribution of galaxies is biased relative to the dark matter. On one hand, the galaxy velocity distribution, although close to the dark matter one, shows a preference for lower velocities (Biviano et al. 2006), perhaps as a consequence of dynamical friction. On the other hand, the velocity distribution of subhalos, selected with a minimum mass before entering their parent cluster-mass halos, is similar to that of the dark matter (Faltenbacher & Diemand 2006).
We visually inspected each of the 105 clusters in redshift space
along three orthogonal viewing
axes, and removed 12 clusters that appeared, within
r200, to be composed of two or three
sub-clusters of similar mass (where the secondary had at least 40% of the
mass of the primary). Most observers would omit such clusters when analyzing
their radial structure or internal kinematics.
This leaves us with 93 final mock clusters
.
The median values (interquartile uncertainties) of their
virial radii, virial masses, virial circular velocities,
and velocity dispersions (within
their virial spheres) are
respectively
,
,
,
and
.
3 Stacking the virial cones
For each cluster, we projected the coordinates along the virial cone
(circumscribing the virial sphere, see Fig. 2), as follows.
We first renormalized the 6 coordinates of phase space of the
entire simulation box to be relative to the cluster. So the cluster
most bound particle should be at the origin and its mean peculiar (bulk) velocity
should be zero
.
To take into account the
periodic boundaries of the simulation box, we added or
subtracted a box length to those particles situated at over a half-box length
from the cluster center. In this fashion, each cluster now effectively sits
at the center of the simulation box. We then placed an observer at
coordinates (-D,0,0), (0,-D,0), or (0,0,-D), with
0 < D < L/2.
We present here the results for
,
corresponding to a typical distance of observed clusters
in the local Universe.
At this distance, the median virial angular radius of our 93 clusters is
.
We do not expect that the results of this paper should depend
on the adopted value of D.
We assume that the observer's peculiar velocity is equal to the cluster's
bulk velocity, so that the observer's
velocity is zero in the renormalized coordinate system
.
We then measured, for each cluster and for each of these three observers, the coordinates of all
2 million particles in
both the observer frame and the cluster frame.
Given the distance
of the particle to the observer and the projected
coordinate of the particle in cylindrical coordinates
,
we determined the projected distances in the observer frame (measured in a
plane perpendicular to the line-of-sight passing through the cluster center) as
(see Fig. 2, where
,
,
,
and
).
This projection ensures that particles along the surface of the virial cone
have R=rv.
We were then able to select
all particles within a cone circumscribing the sphere of
radius rv, where we chose
rv = r200, as well as
.
In practice, we extracted data from a wider cone, circumscribing the sphere
of radius 3 r200.
We next added the Hubble flow (for both the observer and cluster frames),
using
.
We then limited in depth to line-of-sight
velocities within 4 vv from the cluster.
As mentioned in Sect. 1, the Hubble flow
effectively limits the depth of the cones to a half-length of
virial radii (see Eq. (3)),
where the cut in velocity space
in units of virial velocity is
and the
virial overdensity is
.
Our results should not depend much on the distance of our observer (
90/0.864
= 104 virial radii), as our first cut at
4 virial velocities limits the
line of sight to 40% of the observer's distance.
We finally normalized the particle relative positions and velocities to the virial radius, rv and circular velocity at the virial radius, vv, respectively, and finally computed the projections of the velocities in spherical coordinates (to later measure the 3D radial profiles of density and velocity anisotropy). For clarity, we will sometimes use the notation r200 for the virial radius and v200 for the virial velocity.
In the end, we have roughly 84 thousand particles for each of the three cartesian stacked virial cones, which we then stack together into our global stacked virial cone, with a grand total of roughly a quarter-million particles, among which nearly three-quarters lie within the virial radius. Hence, roughly 1/30th of all the particles in the simulation box lie within the virial radius, r200, of our 93 clusters. Note that with our stacking method, some of the particles inside virial cones but outside virial radii can end up being selected in more than one of the three cartesian stacked virial cones. However, this fraction is small (27% of the interlopers, i.e. less than 8% of all particles in virial cones), so the three cartesian stacked virial cones are virtually independent (except that their halos are common), hence can be stacked into the global virial cone.
|
Figure 3:
Projected phase space diagram of stacked virial cone (built from
|
| Open with DEXTER | |
4 Interloper statistics before the velocity cut
We now measure the distribution of interlopers in projected phase space and study its dependence on halo mass.
4.1 Global statistics
|
Figure 4:
Contours of projected phase space density of stacked virial cone -
in units of
|
| Open with DEXTER | |
Figure 4 displays contours of the density in
projected phase
space. Note that the projected phase space density of
Fig. 4 is proportional to
,
hence the
different shapes than seen in Fig. 3.
The interlopers have a very different projected phase space density than the halo
particles.
In particular, their horizontal contours mean that
the interloper projected phase space
density is fairly independent of projected radius.
Moreover, the interloper contours do not extend beyond
,
except
for a few islands (caused by cosmic variance),
indicating that the velocity distribution of interlopers is close to flat at
large velocities (the islands thus represent small, probably statistical,
fluctuations in a flat background).
|
Figure 5: Phase space density of stacked virial cone as a function of projected radius in bins of absolute line-of-sight velocities (marked on the upper-right of each plot). Dashed (red) and dotted (blue) histograms represent the halo particles (r<rv) and the interlopers (r>rv), respectively, while the solid histograms (artificially moved up by 0.06 dex for clarity) represent the full set of particles. There are no halo particles at v > 3 vv (top plot). |
| Open with DEXTER | |
These issues can be looked in more detail through slices of the projected phase space density in velocity and radial space. Figure 5 shows how the projected phase space density varies with projected radius in different wide velocity bins. The halo particles display a negative gradient, i.e. a decreasing surface number density profile, as expected. However, one immediately notices that in all line-of-sight velocity bins, the density of interlopers in projected phase space is roughly independent of projected radius. In other words, interlopers have a nearly flat surface density profile.
For low velocities, one can notice a small rise of the interloper surface
density at high projected radii. This small rise is a geometric effect: the
line-of-sight distance between the virial sphere and a sphere of k>1 virial
radii is
k-1 virial radii at R=0 but
virial radii at
,
which is
times greater.
We will return to this rise in Sect. 4.2.
|
Figure 6:
Phase space density of stacked virial cone
as a function of line-of-sight velocity in different
radial bins (marked on the lower-left of each plot).
Dashed (red) and dotted (blue) histograms represent the
halo
particles (r<rv) and the interlopers (r>rv), respectively, while the
solid histograms (artificially moved up by 0.06 dex for
clarity)
represent the full set of particles.
The green vertical lines indicate the
|
| Open with DEXTER | |
Figure 6 displays the distribution of line-of-sight velocities of the halo and interloping particles. The interloper distribution shows a flat component that dominates at large velocities and a Gaussian-like component. Figure 6 confirms, once more (see Figs. 4 and especially 5) that the density of interlopers in projected phase space is fairly independent of radius.
The total surface density of particles in velocity space shows an inflection
point at about 2 vv (bottom plot of Fig. 6). Kinematical
modelers attempt to throw out the high-velocity interlopers by identifying
this gap by eye (okas & Mamon 2003; Kent & Gunn 1982) or automatically (Fadda et al. 1996)
or by rejecting
outliers, either
using a global criterion (Yahil & Vidal 1977) or a local one (e.g. Wojtak & okas 2010; okas et al. 2006).
Interestingly, the
criterion was first motivated on statistical
grounds, but the
inflection point one sees in the plots of
Fig. 6 happens to correspond to
.
In other words, the
criterion is not only a consequence of
statistics, but also motivated by the
combination of cluster dynamics and cosmology.
While visual attempts to separate interlopers from halo particles in projected phase space look for gaps in the line-of-sight velocity distribution, the different panels of Fig. 6 indicate that, on average, one should not expect such gaps in the projected phase space diagram of stacked clusters, as the number of interlopers also decreases with velocity to reach a plateau at about 2 vv.
4.2 Universality
|
Figure 7:
Phase space density of interlopers as a function of line-of-sight
velocity.
a, Top): dependence on projected radius:
R/r200 = 0-0.2, 0.2-0.4,
0.4-0.6, 0.6-0.8,
and 0.8-1
(red dotted, green short-dashed, blue long-dashed,
magenta dot-long-dashed and cyan dot-long-dashed broken lines, respectively).
b, Middle): dependence on 3D radial distance:
1 < r/r200 < 8(blue dash-dotted curve) and
r/r200 > 8 (red dashed
curve).
c, Bottom): dependence on halo mass: high (
|
| Open with DEXTER | |
As mentioned above,
to first order, the density of interlopers in projected phase space has
a constant
component and a quasi-Gaussian component, which we write
Maximum likelihood estimation (MLE, see Appendix C) yields
where
The origin of these two components is clarified in Fig. 7b: cutting the halo interlopers in two subsamples at different 3D distances from the halo, one finds that the flat component corresponds roughly to the interlopers beyond 8 r200, while the quasi-Gaussian component corresponds to the closer interlopers ( r200 < r < 8 r200).
|
Figure 8:
Variations of MLE parameters of
Eq. (8) and measured interloper surface density
with projected radius (in units of vv for
|
| Open with DEXTER | |
Figure 8 shows the radial dependence of the parameters of the
interloper phase space distribution.
We also show the mean surface densities of interlopers measured on the
stacked halo.
The normalization of the Gaussian component and the surface density both
increase slowly at small projected radii, but sharply near the virial radius.
A good fit for the normalization and the standard deviation
of the Gaussian component is provided by
where X = R/R200 and
The solid magenta curve of Fig. 8 indicates that
the interloper surface density profile is well recovered from A,
and B by integrating over the model velocity distribution
(Eq. (8)) from 0 to
:
Alternatively, the surface density profile of interlopers is also well recovered (dashed magenta curve in Fig. 8) by the prediction from an NFW model, i.e. as the difference between the standard surface density integrated to infinity and the surface density limited to the virial sphere:
where the expression for
The bottom panel of
Fig. 7 shows that the density of interlopers in projected
phase space as a function of line-of-sight velocity remains the same for low
and high mass clusters (where we took the dividing line at the median cluster
virial mass of
). The interlopers
of high mass
clusters have a cluster-outskirts component whose density in projected phase
space is roughly 15% lower than that of the low-mass clusters.
|
Figure 9:
Variations of MLE parameters of Eq. (8)
with halo mass (in units of vv for
|
| Open with DEXTER | |
Figure 9 provides a closer look at the variation with halo
mass of the parameters of Eq. (8).
The best fitting logarithmic slopes, obtained by
least-squares fits to the points shown in Fig. 9 are
,
,
and
for
,
A, B, and
,
respectively.
The 90% confidence lower limits on the slopes
are thus
-0.08, -0.13, -0.17 and -0.18 for
,
A, B, and
,
respectively, while the 90% upper limits are less than 0.1
except for B (where is it 0.5).
These shallow limits to the logarithmic slopes illustrate the
near-universality of the distribution of interlopers in projected phase
space.
However,
the universality of the distribution of interlopers in projected phase space
may hide an important level of cosmic variance.
Performing MLE for parameters
,
A, and B,
for each of the 93 clusters, each viewed in turn along each of three
orthogonal viewing axes, we find standard deviations of
So, while the dispersion
5 Interloper removal
We remove the interlopers of the stacked cluster proceeding along similar
lines as okas et al. (2006, see also Wojtak et al. 2007#, by clipping the
velocities beyond
times the local line-of-sight velocity dispersion.
We assume that our stacked cluster has an
NFW profile (Eq. (4)), or, alternatively, an Einasto (1965) profile:
where
The velocity cut requires an estimate of the line-of-sight velocity dispersion profile of the halo. One could measure this in bins of projected radius, iteratively rejecting the outliers. This gives a profile that shows important radial fluctuations, and we would need to either smooth the profile or fit a smooth analytical function to it.
Instead, we choose to predict the line-of-sight velocity dispersion profile
given the typical density and velocity anisotropy profiles of halos.
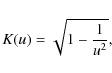
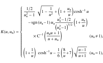
The line-of-sight velocity dispersion profile can be written (Mamon & okas 2005b)
where
for isotropic orbits (Prugniel & Simien 1997; Tremaine et al. 1994) and
where
(Mamon & okas 2005b) for the anisotropy profile
which Mamon & okas (2005b, hereafter, ML) found to be a good fit to the anisotropy profiles of
Since the space density model enters Eq. (16) expressing
(through the tracer density
and the total mass
M, which are related since we are considering single component mass
models),
we first need to determine the best fitting model to the distribution of
particle radii in the stacked halo:
we performed MLE of the NFW and Einasto models to the
distribution of 3D radii of our stacked cluster. The minimum radius was chosen
as
0.03 r200 to avoid smaller radii, since our halo centers appear to be
uncertain to about 1% of the virial radius.
We varied the outer radii of the fit, starting at r200.
Since we will later fit the surface density profile out to the virial radius
and beyond, we need to
remember that the space radii extend beyond the maximum projected radius of
the future surface density fits.
So we also
performed 3D fits beyond the virial radius: at
1.35 r200 (which
corresponds to the radius where
,
i.e. the largest radius where
the halos should be close to
virial equilibrium), and 3 r200 for a broader view of halos far beyond r200.
When
Prada et al. (2006) fit the density profiles of
CDM halos out to
2.7 r200, they found them to be well
approximated by the sum of an Einasto model and a constant
term
.
We therefore also experimented with the addition of
a constant background component of density equal to the
density of the Universe. In virial units, this background is
expected to be equal to
(with
and
).
Table 1: MLE fits to the radial distribution of the stacked halo.
Table 1 shows
the resulting best-fit concentrations
obtained by MLE fits of NFW and m=5Einasto models,
plus an optional fixed or free constant background, to
the distribution of 3D
radii of the stacked halo
.
The best-fit concentrations increase with the maximum allowed projected radius
when the NFW model is
used. This indicates the inadequacy of the NFW model at large radii, as it
fails to capture the steepening of the slope of the density profile beyond
the virial radius
(Navarro et al. 2004). In fact, a Kolmogorov-Smirnov test (last column in
Table 1)
indicates that the
NFW model is not an adequate representation of the distribution of radii,
whether a constant background is added or not, regardless of the maximum
radius used in the fit.
On the other hand, the concentration of the Einasto model appears to be
somewhat less dependent of the outer radius, as also noted by Gao et al. (2008).
At
0.03<r/r200<1, the Einasto model is an adequate representation of the
distribution of radii. At
0.03<r<r100=1.35,
the m=5 Einasto model is inconsistent with the distribution of radii, but
not by a large amount.
However, the distribution of radii extending far beyond the virial radius,
0.03<r/r200<3 is not consistent with either NFW or m = 5 Einasto
models
.
The inclusion of the background in the fits leads to even higher concentrations when the maximum radius considered is 3 r200.
|
Figure 10: Top: space density profile (multiplied by r2) of the stack of the 93 halos, with best maximum likelihood fits for r/r200 from 0.03 to 1 (solid), and 3 (dotted without background, dashed curves with best-fit background, see Table 1) for the NFW (red) and Einasto (blue) models. The best fit NFW models to 3 r200 with and without background are indistinguishable (see Table 1). The errors are from 100 cluster bootstraps. Bottom: ratios of measured to fit densities. |
| Open with DEXTER | |
The density profile of the 93 stacked clusters is shown in
Fig. 10 for maximum fit radii of
and
3 r200.
The maximum likelihood NFW model produces clearly worse fits to the density
profile than the maximum likelihood Einasto model for
r <
3 r200, while the NFW model reproduces better the measured density
profile at
r = 3 r200. As clearly seen in the bottom panel of
Fig. 10, neither model is adequate near
2 r200, even when considering the cosmic variance measured by our cluster
bootstraps (see the error bars in the top panel of Fig. 10).
In most of what follows, we restrict our analysis to R < r200. For these analyses, we adopt the c=4, NFW and m=5 Einasto models, as these models are simple and the latter is consistent with the radial distribution without and with a constant background.
|
Figure 11:
Velocity anisotropy profile (including streaming motions:
Eqs. (6) and (7)) of the stack of the 93 halos.
The error bars are from 100 bootstraps on the 93 halos.
The curve shows the weighted |
| Open with DEXTER | |
|
Figure 12:
Line-of-sight velocity dispersion profiles of the stacked virial
cone, cutting at 3 (triangles) or 2.7 (circles)
|
| Open with DEXTER | |
We now measure the velocity dispersion of the stacked profile using different schemes for interloper removal to find a scheme that produces a velocity dispersion profile (on the data with Hubble flow and the velocity cut) in agreement with the predictions (with no Hubble flow nor velocity cut) for the c=4.0 NFW and Einasto models whose density profiles we just fit in 3D. Since the surface density profile enters Eq. (16), and no analytical formula is known for the Einasto model, we derived an accurate approximation for the Einasto surface density profile (for a large range of projected radii and of indices m) in Appendix A (Eqs. (A.15) and (A.14)).
The red open triangles in the top panel of
Fig. 12 show the line-of-sight
velocity dispersion profiles ``measured'' with our standard velocity cut at 3 times the predicted
isotropic line-of-sight velocity dispersion (hereafter
)
for an NFW model with concentration c=4.0 (as
measured in 3D, see above).
In comparison,
(red solid curve in the top panel of
Fig. 12) is typically 10% lower than the ``measured'' velocity
dispersion profile for radii
R < 0.1 r200.
This discrepancy is decreased to 4% if one compares the measured velocity
dispersions after clipping at 3 times the line-of-sight velocity dispersion,
computed with the ML anisotropy (hereafter
,
Eqs. (16) and (18),
black filled triangles)
to
(black solid
curve in the top panel of Fig. 12).
This suggests that the
clipping generally used is too liberal.
A near perfect match (typically better than 1% for
R < 0.8 r200) is
obtained by
cutting at
(black filled
circles vs. black solid curve in the top panel of Fig. 12).
When the m=5 Einasto model is used to compute
before
applying the velocity cut, the best
match between the measured and predicted line-of-sight velocity dispersion
profiles is for a cut at
(bottom panel of Fig. 12).
The
Hubble flow (HF) causes a shallower slope at projected radii close to the virial
radius (one notices in both panels of Fig. 12 an inflection point
in the measured profiles (filled
circles) of
vs.
near half a virial radius).
Indeed, we obtained results similar to those of Fig. 12 when
we did not
incorporate the HF to the peculiar velocities of the simulation:
the measured
fell more sharply, with no inflection point, even
somewhat more sharply than predicted by the
Einasto model (because the velocity anisotropy without the HF is more radial at
4 r200 in comparison with the case where the HF is
incorporated, where 4 r200 roughly corresponds to the turnaround radius
where the velocities are mostly tangential).
So, although the steeper Einasto density profile ought to catch better the
steeper line-of-sight velocity dispersion profile at large projected radii,
the NFW
model performs slightly better, because its shallower
line-of-sight profile mimics better the effects of the Hubble flow.
In summary, Fig. 12 indicates that if one wishes to recover the
correct line-of-sight velocity dispersion profile,
one should use 2.6 or
clipping instead of
clipping,
where the line-of-sight velocity dispersion is either measured or modeled
with anisotropic velocities.
The choice of model and
is not obvious. We prefer the NFW model, as
it is simpler and, with
,
it presents a slightly better match between measured and
predicted line-of-sight velocity dispersion profiles than does the m=5Einasto model (compare the ratios
of measured to predicted
in both plots of
Fig. 12, especially at large radii).
Mass modelers of clusters may wish to avoid performing the integral of
Eq. (16) with the kernel of Eqs. (18) and (19).
The line-of-sight velocity dispersion profile (Eq. (16)) for the
NFW and m=5 Einasto models with
ML anisotropy with
can be approximated as
where the coefficients are given in Table 2 for both models. These two approximations are accurate to better than 0.5% (rms) for 0.0032 < R/r-2 < 32.
Then, one can write
in terms of vv using
Eq. (21) and
(e.g., Navarro et al. 1996; for NFW and trivially derived from the Einasto mass profile first derived by Mamon & okas 2005a).
In the absence of information on the mass profile (e.g. from X-ray observations), neither the concentration parameter, c, nor the scale radius r-2 are known, so one has to work iteratively, first guessing a plausible value of c, applying the velocity filter, then re-estimating c from the data and re-applying the velocity filter. This process should converge in a one or two iterations.
Table 2:
Coefficients for
approximation
(Eq. (21)).
6 Interloper statistics after the velocity cut
We now show the statistics of interlopers after our adopted velocity cut.
The motivation is to allow observers to compare with their own data. With the
velocity cut (
),
the line-of-sight distances are now effectively limited to
17 r200 from the center of the stacked halo (Eq. (5)).
The
qualitative features of the projected phase space distribution are robust to
variations of the method to cut the velocities.
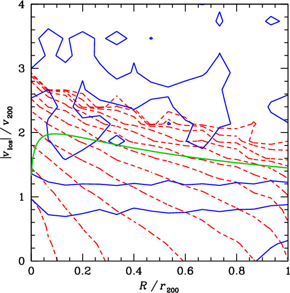
The green curves in Fig. 3 show
the
velocity cut at
- with our adopted NFW model
with ML anisotropy with anisotropy radius
- on top of the projected phase
space (using Eqs. (21) and (22)).
Only 0.4% of the halo particles are rejected by the
velocity cut,
which is a low enough fraction that the shot noise in the
structural and kinematical modeling
is not significantly increased.
The velocity cut in Fig. 3 seems very
reasonable as it is close to optimizing the completeness of the selection of particles
within the virial sphere.
However, less than 17% of the interlopers are identified as such by the
velocity cut. Therefore,
the great majority of interlopers cannot be removed by a velocity cut.
Figure 4 shows the velocity cut on top of the phase space density distribution. The velocity cut appears to occur in a region where the interloper phase space density is roughly constant.
This can be seen in a clearer fashion in Fig. 6, where the velocity cut is shown as green vertical lines. While the highest velocity interlopers are removed by the velocity cut, there remains signs of the field component, which we had identified with particles beyond 8 virial radii, at low ( R < 0.4 r200) projected radii.
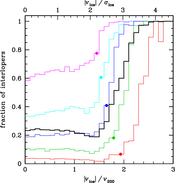
|
Figure 13:
Fraction of interlopers as a function of line-of-sight velocity for
all projected radii
R < r200 (thick black histogram) and in
bins of projected radius:
R/r200 = 0-0.2, 0.2-0.4, 0.4-0.6, 0.6-0.8,
and 0.8-1 (thin histograms), increasing upwards.
The
filled circles show
the
|
| Open with DEXTER | |
The fraction of particles outside the virial sphere is displayed in Fig. 13. Interestingly, at R > 0.8 r200 (magenta histogram) the interlopers account for over 60% of all particles, regardless of the particle velocity up to the velocity cut (filled circles). But even at smaller radii, 0.4 < R/r200 < 0.6, interlopers account for over 20% of all particles again for all velocities up to the cut. So, unless one limits one's kinematical analysis to very small cluster apertures, one cannot avoid being significantly contaminated by interlopers.
While there is no gap in the velocity distribution of particles
(Fig. 6),
Fig. 13 shows local minima of the interloper fraction for
all bins of projected radii, except the outermost one. Regardless of the
application of a velocity cut, these local minima
occur at lower velocity (1.3 to 1.5 vv) than the inflection points of the
interloper density in projected phase space (1.6 to 2.6 vv as seen in
Fig. 6).
The local minima occur at velocities that decrease with projected radius,
suggesting that our local
cut is preferable to a
global one, since
decreases with R for
R >
0.1 r200 (see Fig. 12).
These local minima arise because the interloper system has a lower velocity
dispersion than the halo system:
(Eq. (10))
while after the velocity cut the aperture velocity dispersion of the global
stacked virial cone (thus including both halo particles and interlopers)
is
,
i.e. 5% higher than predicted by Mauduit & Mamon (2007) for an isotropic NFW model,
which is not surprising given the radial anisotropy of the halos
(Fig. 11).
The surface density profile of the stacked halo is shown in
Fig. 14.
The surface density profile of the interlopers is flat with small fluctuations
around the mean values
and
0.096 Nv rv-2, measured in the
stacked virial cone, respectively before and after
the velocity cut
.
In comparison, our model of the surface density of interlopers
(Eq. (12)) combined with our MLE values for A, B and
yields mean interloper densities of 0.114 and
,
respectively before and after the
(
with
)
velocity cut. The general agreement is excellent.
|
Figure 14:
Top panel: surface density profile of global stacked cone
(black histogram, raised up by 0.02 dex for clarity),
as well as halo members (
|
| Open with DEXTER | |
Note that, at projected radii beyond the virial
radius, all particles are interlopers,
so the surface density of interlopers is not constant but decreases, to first
order,
as the NFW or Einasto models.
While the total surface density profiles of the popular NFW and Einasto
models for
CDM halos are convex in log
surface density vs. log projected radius, an important additional background
term in the surface density would lead to an inflection point and subsequent
concavity at some radius.
Such a feature would lead to poor fits of single NFW or Einasto profiles.
Now, within the virial radius, no such inflection point and outer
concavity are seen in
Fig. 14 for the total
surface density
profile.
However, extending the surface density profile out to three virial radii, as
illustrated in Fig. 14, one
does see the inflection point of the total surface density profile (near
1.6 r200 after the velocity cut and right at r200 before).
This points to an additional background of surface density.
This requirement for the additional background component
is confirmed by the fairly flat
ratios of data over model (bottom panel of Fig. 14) for the case
where the background is fit, in comparison
with larger residuals for
R > r200 for the
fits without a background.
Such a background is expected, since the density
profiles of
CDM halos is the sum of an Einasto model and a constant
background corresponding to the mean density of the Universe
(Prada et al. 2006).
Integrating along the line-of-sight (Eq. (1)) within the sphere of
radius
(Eq. (5)), one
deduces that the surface density profile of (foreground/)background structures is
Since
which in dimensionless virial units (
using Eq. (3). With the velocity cut,
This background corresponds to the velocity-independent component of the
interloper surface phase space density, which
in our model (Eq. (8)) is the B term, which produces a mean
surface density of
(with B=0.0075 from
Eq. (10) and again
). This agrees with the
previous value to within 4%. This means that the constant field term in the
velocity distribution corresponds precisely to the additional halos outside
the test halo.
In any event,
the total surface density of a cosmological structure is the sum
of the surface density of that structure and a constant background.
|
Figure 15:
Mean interloper surface density (in virial units)
versus halo mass (for
|
| Open with DEXTER | |
Table 3:
Statistics of interloper surface densities
(in
Nv rv-2).
Although the mean surface density of interlopers is roughly independent of
halo mass (Fig. 9),
it may vary from cluster to cluster.
Figure 15 shows the surface density of each of the 93 halos.
As seen in Table 3,
the arithmetic mean value of
matches well the value of the
stacked virial cone, regardless of the velocity cut, which has only a minor
effect on the statistics of interlopers (while the geometric means are
![]()
lower).
But the dispersion in
is as high as 0.22, close to
(Eq. (14)), so that the relative dispersion of
is as high as a factor
.
The fraction of interlopers in the stacked virial cone
is
(where indices ``h'' and ``i'' correspond to halo and interloper particles, respectively), where the second equality of Eq. (26) made use of
The small decrease in interloper fraction from before to after the velocity cut confirms our finding that the large majority of interlopers have too low velocities to be filtered by velocity. Cosmic variance causes huge fluctuations in the fraction or surface density of interlopers (2/3 of the mean value, independent of the presence of a velocity cut), with roughly a log-normal distribution (see the right panel of Fig. 15 and Table 3). The last two lines of Table 3 indicate that there is no statistically significant correlation of surface density of interlopers with halo mass.
7 Biases in concentration and anisotropy?
What are the effects of the Hubble flow on estimates that observers make on halos, e.g. the concentration and the velocity anisotropy of the distribution of their tracer constituents (i.e. galaxies in clusters)?
7.1 Effects of the Hubble flow
We begin by a naïve comparison of the observable distributions with and
without the Hubble flow, before comparing the concentration and anisotropy
measured by an observer with the corresponding quantities we directly infer
in 3D
from the cosmological simulations.
Admittedly, the distribution of velocities without the Hubble flow is not fully
realistic, since the cosmological simulation solved equations for comoving
coordinates in an expanding universe
.
|
Figure 16: Difference of velocity moments with Hubble flow and velocity cut (HF) and without Hubble flow or velocity cut (noHF): log surface density (dotted black), log line-of-sight velocity dispersion (solid red), and line-of-sight velocity kurtosis (dashed blue). The error bars are based upon Poisson errors for the surface density and bootstraps within the radial bin for the log dispersion and the kurtosis, where the error on the difference is the square root of the sum of the square errors. |
| Open with DEXTER | |
Figure 16 shows the changes in the radial profiles of
surface density and line-of-sight
velocity dispersion and kurtosis
,
once the Hubble flow is added to the
peculiar velocities.
One striking feature of Fig. 16 is that
the Hubble flow leads to a lower surface density
profile at large radii.
This cannot be a consequence of the restriction of the line-of-sight of the
halo component to
19 r200 (see Sect. 1),
because the NFW surface density with line-of-sight limited to the sphere of that radius
(Appendix B) matches the NFW surface density projected to
infinity to better than
1.4% relative accuracy for
R < 3 r200 (for c=4).
Instead, it is the integral along the line of sight
of the constant density (foreground/background) component
that diverges when no
Hubble flow is present, and is limited to half a box size here:
,
which corresponds to roughly 100 virial radii.
In any event, the lower (40% lower at r200)
surface density profile found when the Hubble flow
is added to the peculiar velocities
might explain the lack of concavity in the (log-log)
surface density profile within the virial radius (Fig. 14).
Table 4: MLE fits to the distribution of projected radii of the three cartesian stacked cones.
We noticed in Sect. 5 that the line-of-sight velocity dispersion profile showed an excess at radii near the virial radius. Figure 16 confirms that the line-of-sight velocity dispersion profile is gradually overestimated at large radii, while the surface density profile is much more biased beyond half a virial radius, being underestimated at large radii. The effects of the Hubble flow on the surface density and line-of-sight velocity dispersion profile are both small at very low projected radii.
Finally, our sharp cut (Sect. 5) in the distribution of line-of-sight velocities when the Hubble flow is incorporated implies that the line-of-sight velocity kurtosis is underestimated (especially at large projected radii).
7.2 Concentration
Does the excess of interlopers at large projected radii lead to lower values of the concentration parameter in the fits of the projected NFW and Einasto profiles to the surface density profiles of clusters?
Table 4 shows the MLE fits (see
Appendix C) of
the NFW and m=5 Einasto surface density profiles to the distribution of projected
radii of the three cartesian stacked cones. Different fits were performed
with variations in
the maximum allowed projected radius,
,
the presence of a constant (fixed or free) background term, and the possible removal of
high-velocity outliers.
The NFW surface density and projected number (or equivalently projected
mass) profiles, required for the normalization of the probability used in
the MLE, are given by
Bartelmann (1996) and, in another form by okas & Mamon (2001).
The surface density and projected number (mass) profiles of the Einasto model
are not known in analytical
form, so we have derived accurate approximations in
Appendix A. For these MLE, we adopt
Eqs. (A.17) with (A.6) for the surface
density profile and
Eqs. (A.8) with (A.6) for the projected mass profile.
When a constant background term is included in the fits, it is either free
(Col. 8) or fixed at
and
0.0126 without (
)
and with (
)
the velocity cut (see Sect. 6).
The concentrations measured on the projected radii with single component fits
are always smaller than the characteristic value found in 3D (c=4.0, 4.1,
and 4.5, see bold values in Table 1).
The best-fit concentrations
are very low when the fits are
performed out to 3 r200 (unless a velocity cut is performed or
background component added to the model).
Note that when the background is fitted together with the concentration and
no velocity cut is performed, the
best-fit value for the background can be over a factor two off from the value expected from
Eq. (24), even with maximum projected radii of 3 r200.
The KS tests indicate that for most combinations of maximum projected radius,
presence or absence of the velocity cut and how the background is
handled,
the m=5 Einasto model usually provides a better
representation of the distribution of projected radii than does the NFW
model.
Finally, the errors in Table 4 indicate that the cosmic variance of stacks
of 93 clusters, measured using the standard deviation of the three cartesian
stacked cones with the gapper
estimate of
dispersion, which is most robust to small sample sizes (Beers et al. 1990), are much greater than the intrinsic fitting errors.
Table 5: Concentration bias of 2D fits.
Table 5 shows the bias in concentrations, where the bias is the
ratio between the
concentration measured with the 2D fit (Table 4) and the best-fitting of the
concentrations found with the 3D fits (highlighted in bold in
Table 1), for given
and different models and backgrounds.
The concentration parameters found in the
fits of the surface density profile are
underestimated by typically
16%
7%
when we make no velocity cut, limit the projected radii to r200, and do
not incorporate a constant background in the fit. This underestimate of the
concentration is statistically significant (marginally so for NFW).
The concentration bias gets worse as we increase the maximum projected
radius: the concentration is underestimated by 1/4 at R<r100 and by as
much as 2/3 with
R < 3 r200.
But when we make the
velocity cut at 2.7 (NFW) or 2.6 (Einasto)
,
where
is
obtained from Eqs. (21) and (22),
the biases in the concentration parameters are typically reduced by a factor
two.
When we limit the analysis at
R < r200,
the concentration parameters
found in the fits of the surface density profiles are
(only) underestimated by typically
%.
This low bias is no longer statistically significant given our fit and
cosmic variance errors
.
However, extending the analysis to
R = r100, the concentration is still
biased low by as much
as 11% (which is
marginally significant), despite the velocity cut. And if we go all the way to
3 r200, the bias is still very strong, as the concentration is
underestimated by over 1/3.
One may wonder whether one can recover the concentration parameter more
accurately with two-component fits to the set of projected radii than with
the single-component fit, since we found an
additional background needs to be added (Sect. 6).
For example, Lin et al. (2004) fit a projected NFW model plus a constant surface
density background (hereafter NFW+bg), with no velocity cut, for projected
radii
.
We tested the single and double-component models
in the optimistic case of our stacked cluster with nearly
particles.
As seen in Table 5, the 3D concentration parameter
is recovered better by the two-component models,
regardless of the velocity cut,
although the improvement is not always statistically significant.
Note that the background is well recovered with
and a velocity cut for both the NFW+bg and
Einasto+bg models (Table 4).
In summary, the concentrations measured in 2D recover best the 3D values once the velocities are filtered and especially once a background is included in the fit (even when limited to the virial radius).
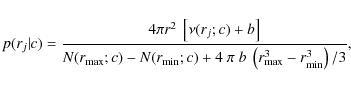
Note also that one should not attempt to model the surface density profile as the sum of the halo term (with line-of-sight limited to the sphere, with the formulae of Appendix B for the NFW model) and a constant background, because the total surface density profile decreases smoothly beyond the virial radius in ways that are not simple to model, for example with a spherical halo and a constant background. Moreover, for fits where the projected radii are limited to the virial radius, these spherical plus background fits are not recommended because the background is not constant but rises with radius (Figs. 5 and 8) and is less easy to model than the surface density with line-of-sight integrated to infinity.
7.3 Velocity anisotropy
|
Figure 17:
Velocity anisotropy profiles (including streaming motions:
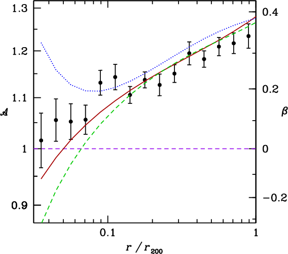
Eqs. (6) and (7)) of the stack of the 93 halos.
The points are the measured velocity anisotropy
(same as in Fig. 11, again with uncertainties from 100 bootstraps
on the 93 halos)
and the curves are recovered from anisotropy inversion assuming the
c=4 NFW model
(solid curves), for three polynomial fits (orders 2, 3, and 4 in
log-log space) to the
measured line-of-sight velocity dispersion profile (after the
|
| Open with DEXTER | |
In the region where the order of the polynomial fit does not matter (
0.1 <
r/r200<1),
the recovered anisotropy profile reproduces very well the one measured in
three dimensions (points in Fig. 17), although, beyond
0.2 r200,
the recovered anisotropy profiles are slightly more radial than that
measured in 3D.
This bias towards more radial motions appears statistically significant,
since in all six radial bins where there is a ![]()
offset, this
offset is in the same direction (probability of
).
Therefore, the Hubble flow produces only a slight radial velocity
anisotropy bias in the envelopes of halos.
8 Summary and discussion
This work analyzes the distribution of particles in projected phase space around dark matter halos in cosmological simulations. The particles are split among halo particles within the virial sphere and interlopers within the virial cone but outside the virial sphere (Fig. 2). The reader should be careful that the analyses presented here cannot be directly applied to observations of clusters of galaxies, as they work with halo particles instead of galaxies within clusters, and assume the halo centers to be determined quite precisely (from real space measurements).
We find a universal distribution of interlopers in projected phase space, i.e. with little dependence on halo mass (Figs. 7c and 9). In particular, we note that velocity cuts cannot distinguish the quarter of particles that are interlopers from those in the virial sphere (Fig. 13), as was previously noted by Cen (1997). We find that the distribution of interlopers in projected phase space displays a roughly constant surface density (Figs. 5 and 8) and a distribution of line-of-sight velocities that is the sum of a quasi-Gaussian component, caused by the halo outskirts (out to typically 8 virial radii, Fig. 7b) and a uniform component caused by particles at further distances from the halo (Figs. 6 and 7).
The cosmological simulations allow us to optimize the ratio of maximum
velocity to line-of-sight velocity dispersion that recovers the latter
quantity. Although this may seem to be a circular argument (since
depends on the velocity cut), it has been
widely used in the past, usually in iterative form, with a
cutoff. We find that this cutoff is not restrictive enough and causes an
overestimate of the line-of-sight velocity dispersion profile (based upon
mass and velocity anisotropy models derived from the cosmological
simulations): up to 10% for the isotropic NFW velocity cut, which is reduced
to 5% for the ML anisotropy velocity cut (Fig. 12).
We recommend
instead a velocity cut at
on the best iterative
fit to the line-of-sight velocity dispersion for the NFW model with
ML anisotropy. Alternatively, one can use a velocity
cut at
for the m=5 Einasto model, modeled (again) with
ML anisotropy, but this underestimates the line-of-sight velocity
dispersion near the virial radius
(Fig. 12).
We illustrate (Figs. 3,
4, 6, 13, and 14)
how the distribution of particles in projected phase space is
altered once the high velocity interlopers are rejected with this new
velocity filter (besides limiting the line-of-sight to typically
,
the main effect is to remove the flat velocity component).
The fraction of interlopers within the virial cone drops from 27% (with an
observer at distance
)
to
(independent of D for
)
when the velocity cut is applied (where the uncertainty is taken from the end
of Sect. 6).
This fraction of interlopers can be directly inferred from the NFW or Einasto
model
where
In comparison, using 62 clusters from the same simulation as the one we have
analyzed (we have 53 clusters in common),
Biviano et al. (2006) found that among particles selected in cones of projected
radius
around cluster-mass halos (after their velocity cut),
% of them lie outside the sphere of the same radius
.
Their halos have a median virial radius of
(1.08 times our median)
and hence a virial mass of
.
Their Figure 7 indicates that their velocity cut is roughly 1180, 1105, and
,
at projected radii 0.6, 1.0 and
,
respectively. Since NFW concentration scales as M-0.1(Navarro et al. 1997; Macciò et al. 2008), their median concentration should be 3.9, hence their scale radius should be
.
Assuming an NFW model, we deduce that their median circular velocity at the
scale radius is
,
and find that their velocity
cuts correspond to
,
and 1.8, at the three projected radii
chosen above. These fractions are consistent with the values of
one can read off of Fig. 3 of Wojtak et al. (2007) that illustrates the same
velocity cut model (den Hartog & Katgert 1996).
We then considered a cone of projected size
1.5/0.93 =
1.6 r200. Adopting their typical
,
we then
found that after a
velocity cut,
the fraction of particles with
r > 1.6 r200 is now 21.3%.
This fraction is still marginally significantly larger than
Biviano et al.'s
fraction of 18%
(assuming the
same errors as above).
We attribute this discrepancy to their variable
velocity cut,
which differs from our fixed
one.
Wojtak et al. (2007) tried several interloper removal schemes and definitions
(using a different
CDM cosmological simulation). Their
local
cut leads to
% of interlopers remaining within the
virial cone.
Given the quoted errors, the lower fraction of
interlopers found by Wojtak et al. is marginally consistent with ours.
This fraction of 23% of interlopers after the velocity cut
is surprisingly close to the
fraction of blue galaxies (i.e. galaxies off the Red Sequence) observed within SDSS
clusters, as Yang et al. (2008) find roughly 22% of blue galaxies within
SDSS clusters of masses >
.
Admittedly, it is dangerous to match the dark matter distribution with the
galaxy distribution, since galaxies are
biased tracers of the matter distribution. In fact, galaxies are biased
relative to dark matter halos (e.g. Conroy et al. 2006), which in turn are
biased relative to the dark
matter particle distribution (e.g. Mo & White 1996; Catelan et al. 1998).
If, in the end, the SDSS galaxies analyzed by Yang et al. are
unbiased tracers of the dark matter distribution, then
this close agreement would be
expected if all blue galaxies are caused by projection effects. But if
projections also pick up red galaxies in groups, then some blue galaxies
would need to survive within the virial sphere for the match to hold.
However, the Yang et al. group finder is fairly
efficient in separating groups along the line-of-sight, so we conclude that
the fraction of
blue galaxies within the virial sphere should be small. In other words, star
formation appears to be strongly quenched when galaxies penetrate the virial
spheres of clusters.
When no velocity cut is performed,
a maximum likelihood fit of the concentration of
the projected NFW model to the projected radii of a stacked cluster of nearly
300 000 particles out to r200 (r100)
leads to a
% (
%) underestimate of the true concentration
parameter
(Table 5, where most of the uncertainty comes from cosmic
variance).
Similar biases occur with the m=5 Einasto model.
But after the velocity cut, these biases decrease by a factor two, and are no longer
statistically significant (Table 5).
Moreover, the inclusion in such fits of a constant background as an extra parameter
also strongly decreases the bias, even
when the maximum projected radius is as low as
r200(Table 5).
In fact, inspection of Table 5 indicates that, for
or 3 r200,
the background (fixed or free) has a greater influence than the velocity
filter in removing the bias on measured concentration.
Surprisingly, for
,
a physically motivated fixed background added to the NFW
model is slightly less effective in reducing the concentration bias than is a
free background.
When the maximum
radius is
3 r200 and no velocity cut is performed,
the NFW model with a free (respectively fixed) background underestimates the
concentration (Table 5)
by
(
).
This insignificant (marginally significant) bias
is caused by the strong decrease of the surface density profile once the
Hubble flow is added to the peculiar velocities (Fig. 16).
These small biases suggest that the fairly low concentration
(
)
for the galaxy
distribution in clusters found by Lin et al. (2004), who fit an NFW model with a
free constant background to the distribution of projected
radii in the range
0.02 < R/r200 < 2.5, but who did not make a velocity
cut for lack of velocity data, is incompatible with true
cluster concentrations of c=4.0at the
level.
The lower concentration bias with the two-component model is expected,
because the single
component NFW or Einasto models cannot capture the flat surface density at
large radii (Fig. 14), because other halos are projected along the
line-of-sight.
While a two-component model of halo (to infinity) + constant background is better able to recover the halo concentration than a single-component model (Table 5), it is not wise to estimate the halo concentration from a two-component model with a halo term whose line-of-sight is limited to the sphere (Appendix B) plus a near constant background term arising from our universal interloper surface density model (Eqs. (12) or simply (13)): the single-component NFW captures better the total surface density profile than this halo+background model, especially if the maximum projected radius is beyond the virial radius, as the interloper surface density has a discontinuous slope at the virial radius (Fig. 14). On the other hand, the universal distribution of interlopers in projected phase space might be useful to model the internal kinematics (hence total mass profile) of clusters of galaxies, where the full distribution of galaxies in projected phase space is the sum of these interlopers and an NFW-like model projected onto the virial sphere. We are preparing tests of the mass/anisotropy modeling of clusters, groups, and galaxies (through their satellites) using this interloper model.
We also performed 2D fits to individual halos of typically 700 particles (not shown here). The dispersion of the concentrations were much larger (typically 0.16 dex) than the biases obtained from the stacked virial cone (typically 0.05 dex, i.e. 10% errors, see Table 5), which means that shot noise and cosmic variance dominate the bias caused by the Hubble flow.
The line-of-sight velocity dispersion profile shows a concavity (in log-log) near the virial radius (Fig. 12), which is caused by the Hubble flow (Fig. 16). The velocity anisotropy profile recovered from this velocity dispersion profile, assuming the correct mass distribution, is close to the true anisotropy profile, with a slight, marginally significant, radial bias in the envelopes of clusters in comparison with the anisotropy profile recovered in 3D (Fig. 17), as was previously noted by Biviano (2007).
In summary, the density profile of
CDM halos falls fast enough that
the effects of the Hubble flow perturbing the standard projection equations
produce only small biases in comparison with the shot noise of clusters with less
than 1000 galaxies, as well as the large cosmic variance of the halos.
These results have been obtained with the dark matter particles of a cosmological N-body simulation (with additional gas and galaxy components). They will need to be confirmed with future more realistic simulations of the galaxy distribution.
AcknowledgementsWe thank Marisa Girardi for providing the positions and masses of the mock clusters, Mike Hudson and Raphael Gavazzi for helpful comments, and Richard Trilling for a critical reading of an early version of the manuscript. We also warmly thank an anonymous referee for his thorough reading of the manuscript and several important comments, especially his insistence on our use of cluster bootstraps to estimate the errors from cosmic variance. A.B. acknowledges the hospitality of the Institut d'Astrophysique de Paris. This research has been partly financially supported by INAF through the PRIN-INAF scheme. The simulation has been carried out at the Centro interuniversitario el Nord-Est per il Calcolo Elettronico (CINECA, Bologna) with CPU time assigned thanks to an INAF-CINECA grant.
References
- Bartelmann, M. 1996, A&A, 313, 697 [NASA ADS] [Google Scholar]
- Beers, T. C., Flynn, K., & Gebhardt, K. 1990, AJ, 100, 32 [NASA ADS] [CrossRef] [Google Scholar]
- Binney, J., & Mamon, G. A. 1982, MNRAS, 200, 361 [NASA ADS] [CrossRef] [Google Scholar]
- Biviano, A. 2007, http://adlibitum.oats.inaf.it/biviano/sesto07.pdf [Google Scholar]
- Biviano, A., & Girardi, M. 2003, ApJ, 585, 205 [NASA ADS] [CrossRef] [Google Scholar]
- Biviano, A., Murante, G., Borgani, S., et al. 2006, A&A, 456, 23 [NASA ADS] [CrossRef] [EDP Sciences] [Google Scholar]
- Borgani, S., Murante, G., Springel, V., et al. 2004, MNRAS, 348, 1078 [NASA ADS] [CrossRef] [Google Scholar]
- Catelan, P., Lucchin, F., Matarrese, S., & Porciani, C. 1998, MNRAS, 297, 692 [NASA ADS] [CrossRef] [Google Scholar]
- Cen, R. 1997, ApJ, 485, 39 [NASA ADS] [CrossRef] [Google Scholar]
- Conroy, C., Wechsler, R. H., & Kravtsov, A. V. 2006, ApJ, 647, 201 [NASA ADS] [CrossRef] [Google Scholar]
- den Hartog, R., & Katgert, P. 1996, MNRAS, 279, 349 [NASA ADS] [CrossRef] [Google Scholar]
- Einasto, J. 1965, Trudy Inst. Astroz. Alma-Ata, 51, 87 [Google Scholar]
- Fadda, D., Girardi, M., Giuricin, G., Mardirossian, F., & Mezzetti, M. 1996, ApJ, 473, 670 [NASA ADS] [CrossRef] [Google Scholar]
- Faltenbacher, A., & Diemand, J. 2006, MNRAS, 369, 1698 [NASA ADS] [CrossRef] [Google Scholar]
- Gao, L., Navarro, J. F., Cole, S., et al. 2008, MNRAS, 387, 536 [NASA ADS] [CrossRef] [Google Scholar]
- Haardt, F., & Madau, P. 1996, ApJ, 461, 20 [NASA ADS] [CrossRef] [Google Scholar]
- Katgert, P., Biviano, A., & Mazure, A. 2004, ApJ, 600, 657 [NASA ADS] [CrossRef] [Google Scholar]
- Kent, S. M., & Gunn, J. E. 1982, AJ, 87, 945 [NASA ADS] [CrossRef] [Google Scholar]
- Lin, Y.-T., Mohr, J. J., & Stanford, S. A. 2004, ApJ, 610, 745 [NASA ADS] [CrossRef] [Google Scholar]
- ▯okas, E. L., & Mamon, G. A. 2001, MNRAS, 321, 155 [NASA ADS] [CrossRef] [Google Scholar]
- ▯okas, E. L., & Mamon, G. A. 2003, MNRAS, 343, 401 [NASA ADS] [CrossRef] [Google Scholar]
- ▯okas, E. L., Wojtak, R., Gottlöber, S., Mamon, G. A., & Prada, F. 2006, MNRAS, 367, 1463 [NASA ADS] [CrossRef] [Google Scholar]
- Macciò, A. V., Dutton, A. A., & van den Bosch, F. C. 2008, MNRAS, 391, 1940 [NASA ADS] [CrossRef] [Google Scholar]
- Mamon, G. A., & Boué, G. 2010, MNRAS, 401, 2433 [NASA ADS] [CrossRef] [Google Scholar]
- Mamon, G. A., & ▯okas, E. L. 2005a, MNRAS, 362, 95 [NASA ADS] [CrossRef] [Google Scholar]
- Mamon, G. A., & ▯okas, E. L. 2005b, MNRAS, 363, 705 [NASA ADS] [CrossRef] [Google Scholar]
- Mauduit, J.-C., & Mamon, G. A. 2007, A&A, 475, 169 [NASA ADS] [CrossRef] [EDP Sciences] [Google Scholar]
- Merritt, D. 1985, MNRAS, 214, 25P [NASA ADS] [CrossRef] [Google Scholar]
- Miralda-Escude, J. 1991, ApJ, 370, 1 [NASA ADS] [CrossRef] [Google Scholar]
- Mo, H. J., & White, S. D. M. 1996, MNRAS, 282, 347 [NASA ADS] [CrossRef] [Google Scholar]
- Navarro, J. F., Frenk, C. S., & White, S. D. M. 1996, ApJ, 462, 563 [NASA ADS] [CrossRef] [Google Scholar]
- Navarro, J. F., Frenk, C. S., & White, S. D. M. 1997, ApJ, 490, 493 [NASA ADS] [CrossRef] [Google Scholar]
- Navarro, J. F., Hayashi, E., Power, C., et al. 2004, MNRAS, 349, 1039 [NASA ADS] [CrossRef] [Google Scholar]
- Osipkov, L. P. 1979, SvA Lett., 5, 42 [Google Scholar]
- Prada, F., Klypin, A. A., Simonneau, E., et al. 2006, ApJ, 645, 1001 [NASA ADS] [CrossRef] [Google Scholar]
- Prugniel, P., & Simien, F. 1997, A&A, 321, 111 [NASA ADS] [Google Scholar]
- Saro, A., Borgani, S., Tornatore, L., et al. 2006, MNRAS, 373, 397 [NASA ADS] [CrossRef] [Google Scholar]
- Solanes, J. M., & Salvador-Solé, E. 1990, A&A, 234, 93 [NASA ADS] [Google Scholar]
- Springel, V. 2005, MNRAS, 364, 1105 [NASA ADS] [CrossRef] [Google Scholar]
- Springel, V., & Hernquist, L. 2003, MNRAS, 339, 289 [Google Scholar]
- Tremaine, S., Richstone, D. O., Byun, Y.-I., et al. 1994, AJ, 107, 634 [NASA ADS] [CrossRef] [Google Scholar]
- van der Marel, R. P., Magorrian, J., Carlberg, R. G., Yee, H. K. C., & Ellingson, E. 2000, AJ, 119, 2038 [NASA ADS] [CrossRef] [Google Scholar]
- Wainer, H., & Thissen, D. 1976, Psychometrica, 41, 9 [CrossRef] [Google Scholar]
- Wojtak, R., & ▯okas, E. L. 2010, MNRAS, in press [arXiv:1004.3771] [Google Scholar]
- Wojtak, R., ▯okas, E. L., Mamon, G. A., et al. 2007, A&A, 466, 437 [NASA ADS] [CrossRef] [EDP Sciences] [Google Scholar]
- Yahil, A., & Vidal, N. V. 1977, ApJ, 214, 347 [NASA ADS] [CrossRef] [Google Scholar]
- Yang, X., Mo, H. J., & van den Bosch, F. C. 2008, ApJ, 676, 248 [Google Scholar]
Online Material
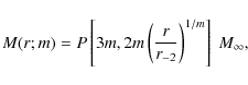
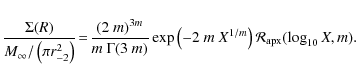
Appendix A: Projected mass, surface density and tangential shear of the Einasto model
In this appendix, we derive an approximation to the surface density and projected mass (or, equivalently, projected number) profiles for the Einasto model.
A.1 Projected mass profile
For any density model, the projected mass is
where the second equality is obtained after reversing the order of integration. Equation (A.1) is general, while Eq. (A.2) is only valid for models with finite total mass
where
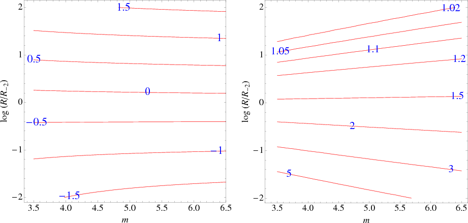
determined from Eqs. (A.3) and (A.2), with Eq. (15), varies little, as seen in the right panel of Fig. A.1. We fit again a two-dimensional fourth-order polynomial in m and
In the interval
The projected mass of the Einasto model can thus be written
where again
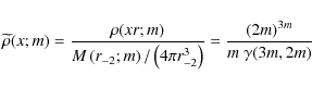
A.2 Surface density profile
Inserting Eqs. (15) into (1), the surface
density of the Einasto model of total mass M and index m is
Writing the dimensionless mass density as
where the second equality derives from Eq. (15), we can express the ratio of dimensionless surface to space densities as
where X=R/r-2. In the range
In the interval
|
Figure A.1:
Contours of
|
| Open with DEXTER | |
The dimensionless surface density can then be written as
or equivalently, with
|
(A.16) |
Alternatively, the surface density profile can be, self-consistently, estimated from Eq. (A.7) by differentiation over the projected mass profile, yielding after some algebra
where
Equation (A.17) has the advantage of providing an approximation for the surface density profile that is consistent with that of the projected mass profile. This is crucial for maximum likelihood estimation of concentration (and possibly Einasto index and background level). On the other hand, the accuracy of Eq. (A.17) is about 5 times worse than that of Eq. (A.15).
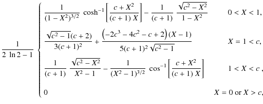
A.3 Tangential shear profile
For any density model, the tangential shear measured by weak lensing can be
written (e.g. Miralda-Escude 1991)
where
|
Figure A.2: Dimensionless tangential shear profile for the NFW model (black) and the m=4 (red, long-dashed), 5 (green, short-dashed) and 6 (blue, dotted) Einasto models, using Eq. (A.18) with Eqs. (A.9), (A.14), (A.15), (A.6), and (A.8). |
| Open with DEXTER | |
Appendix B: Surface density and projected mass of the NFW model with lines of sight limited to a sphere
In this appendix, we derive the surface density and projected mass (or, equivalently, projected number) profiles of the NFW model, with the lines of sight restricted to a sphere (which we conveniently choose as the virial sphere) instead of extending to infinity.B.1 Surface density profile
In an analogous manner as the case with line-of-sight extending to infinity
(Eq. (1)),
the surface density at projected radius R within the sphere of radius
is
We now consider the case of the virial sphere:
|
(B.2) |
where
where Eq. (B.3) is found by inserting the NFW density profile (Eqs. (4)) into (B.1).
B.2 Projected mass profile
For the NFW model, the projected mass within the virial sphere is
|
(B.5) |
where
where Eq. (B.7) was found by inserting Eq. (B.4) into Eq. (B.6). For
Appendix C: Maximum likelihood estimates
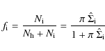
In this appendix, we illustrate the maximum likelihood calculations that we have performed.
Given parameters
,
and data points
the MLE is found by minimizing
|
(C.1) |
where
C.1 Density profile
The probability of measuring an object (galaxy or dark matter particle)
at radius r in a spherical model of
concentration c is
|
(C.2) |
where
C.2 Surface density profile
The probability of measuring a galaxy at projected radius R in a spherical
model of concentration c and background b is
|
(C.3) |
where
For the surface density profile
and the projected number (mass) profile
,
we use the formulae of
okas & Mamon (2001) and of Appendix A for the NFW and Einasto
models, respectively.
C.3 Distribution of interloper velocities
According to Eq. (8),
the distribution of interloper line-of-sight absolute velocities,
,
is to first order the sum of a
Gaussian and a constant term:
where the denominator is found by ensuring
where
| |
= | (C.6) | |
| = |
|
(C.7) |
where
C.4 Practical considerations
For one-parameter fits, we first search on a wide linear grid of
equally-spaced 11 points for
,
then we
consider the three points with the lowest values of
and
create a subgrid of 11 equally-spaced points (thus typically zooming in by a
factor of 5), and iterate with finer subgrids
until the two values of the parameter
with the highest likelihoods differ
by less than 0.0001 or when the lowest
decreases by less
than 10-12. We then obtain the
confidence interval fitting a cubic spline to the points
below and above the best-fit parameter to solve for
.
For two-parameter (three-parameter) fits, we first search on a wide
rectangular (cuboidal) grid of
equally-spaced 11 points. Then we consider the rectangle (cuboid) obtained by
searching for the lowest values of
,
such that there are at
least 3 different values for both (all three) parameters. We create a sub-grid in this
rectangle (cuboid) with again
(
)
points,
and iterate with finer subgrids until the pair of each of the two (three) parameters with
the highest two likelihoods differ
by less than 0.0001 or when the lowest
decreases by less
than 10-12.
We then obtain the
contour by considering those points in
parameter space for which
(1.77), and then define as the minimum and maximum values
for each parameter the extreme values in this contour.
Footnotes
- ... anisotropy?
- Appendices are only available in electronic form at http://www.aanda.org
- ... inversion
- Alternatively, the projection Eq. (1) corresponds to a convolution and can therefore be deprojected with Fourier methods (see Discussion in Mamon & Boué 2010, and references therein).
- ...
radii
- With our chosen cosmology, the overdensity at the virial
radius is
,
but many authors prefer to work with
,
and we will do so too.
- ... equivalently
enters
the Jeans equation of local hydrostatic equilibrium, while
is a more physical definition of velocity anisotropy.
- ... clusters
- Including all 105 halos makes virtually no difference for the results of this article.
- ... zero
- Observers usually adopt the position of the brightest cluster galaxy as the center, and this corresponds to the most bound galaxy, so they should not suffer from important centering errors, although admittedly some clusters like Coma have two brightest galaxies.
- ... system
- In our simulation, the one-dimensional cluster bulk
velocity dispersion is
,
so given our adopted distance of
,
the typical cluster bulk velocity is only
.
Therefore, our neglect of the observer's peculiar motion relative to
the cluster is an adequate assumption.
- ...
- All our positions and
cluster virial
radii were expressed in
;
the choice of H0 does not
matter
as long as we normalize to the virial quantities rv
and vv,
which we
computed with the same value of H0.
- ...
.
- Throughout this paper, we use
to express quantity x in virial units.
- ... concentrations
- In this paper, concentrations refer to r200/r-2.
- ... halo
- We also experimented with free index Einasto models: we generally found that the best fit index was in the range 4.6 < m < 5.2.
- ...
models
- For
,
the KS test showed that the free m Einasto model
with free or fixed background (or without any) failed to provide an
adequate
representation of the distribution of radii.
- ...
model
- Other anisotropy models such as constant and
Osipkov-Merritt (Osipkov
1979; Merritt
1985) produce much worse best fits (reduced
and 20, respectively).
- ... cut
- Figure 14 shows interloper surface densities that are lower, at R < 0.7 r200, than 0.114 and 0.096 Nv rv-2, respectively before and after the velocity cut, but most of the particles lie within the highest bins of log projected radius.
- ... universe
- In fact, static universes are never simulated in a cosmological context, because of their lack of realism, given the expansion of the Universe as seen in the Hubble law, and also because of the lack of knowledge of suitable initial conditions in such a static universe.
- ... kurtosis
- The reader should not confuse the line-of-sight velocity
kurtosis
with the velocity cutoff in units of line-of-sight velocity dispersion (
)
or of virial velocity (
).
- ... gapper
- The gapper dispersion of a vector
of length n is
(Wainer & Thissen 1976).
- ... errors
- We also experimented with concentration fits on the
projected radii of all particles within
instead of 2.7, but the changes were very small (less than 1%, with
slightly worse underestimates of the
concentration for the single component fits).
- ...

- We cannot employ the analytical approximation of
Eq. (21)
to the line-of-sight velocity dispersion profile for an NFW model with
ML anisotropy, because we place ourselves in the context of an
observer who wishes to measure the velocity anisotropy with no prior on
it: (s)he is thus forced to use a smooth representation of the observed
line-of-sight velocity dispersion profile.
- ... radius
- The error is taken as their dispersion over the square root of their number of halos.
All Tables
Table 1: MLE fits to the radial distribution of the stacked halo.
Table 2:
Coefficients for
approximation
(Eq. (21)).
Table 3:
Statistics of interloper surface densities
(in
Nv rv-2).
Table 4: MLE fits to the distribution of projected radii of the three cartesian stacked cones.
Table 5: Concentration bias of 2D fits.
All Figures
|
Figure 1:
Line-of-sight velocity as a function of real-space line-of-sight
distance (see
Fig. 2) for particles inside the virial cone
obtained by stacking 93
cluster-mass halos in the cosmological simulation described in
Sect. 2
without (top) and with (bottom) the Hubble flow (1 particle in 5 is shown for clarity).
The red dashed horizontal lines roughly indicate the effects of a
radius-independent |
| Open with DEXTER | |
| In the text | |
|
Figure 2: Representation of the virial cone with halo particles inside the inscribed virial sphere and interlopers outside. Also shown is our definition of projected radius (CQ) and line-of-sight distance (OP and QP respectively in the observer and halo reference frames) for a random point P. For illustrative purposes, the distance to the cone is taken to be very small, so that the cone opening angle is much larger than in reality. |
| Open with DEXTER | |
| In the text | |
|
Figure 3:
Projected phase space diagram of stacked virial cone (built from
|
| Open with DEXTER | |
| In the text | |
|
Figure 4:
Contours of projected phase space density of stacked virial cone -
in units of
|
| Open with DEXTER | |
| In the text | |
|
Figure 5: Phase space density of stacked virial cone as a function of projected radius in bins of absolute line-of-sight velocities (marked on the upper-right of each plot). Dashed (red) and dotted (blue) histograms represent the halo particles (r<rv) and the interlopers (r>rv), respectively, while the solid histograms (artificially moved up by 0.06 dex for clarity) represent the full set of particles. There are no halo particles at v > 3 vv (top plot). |
| Open with DEXTER | |
| In the text | |
|
Figure 6:
Phase space density of stacked virial cone
as a function of line-of-sight velocity in different
radial bins (marked on the lower-left of each plot).
Dashed (red) and dotted (blue) histograms represent the
halo
particles (r<rv) and the interlopers (r>rv), respectively, while the
solid histograms (artificially moved up by 0.06 dex for
clarity)
represent the full set of particles.
The green vertical lines indicate the
|
| Open with DEXTER | |
| In the text | |
|
Figure 7:
Phase space density of interlopers as a function of line-of-sight
velocity.
a, Top): dependence on projected radius:
R/r200 = 0-0.2, 0.2-0.4,
0.4-0.6, 0.6-0.8,
and 0.8-1
(red dotted, green short-dashed, blue long-dashed,
magenta dot-long-dashed and cyan dot-long-dashed broken lines, respectively).
b, Middle): dependence on 3D radial distance:
1 < r/r200 < 8(blue dash-dotted curve) and
r/r200 > 8 (red dashed
curve).
c, Bottom): dependence on halo mass: high (
|
| Open with DEXTER | |
| In the text | |
|
Figure 8:
Variations of MLE parameters of
Eq. (8) and measured interloper surface density
with projected radius (in units of vv for
|
| Open with DEXTER | |
| In the text | |
|
Figure 9:
Variations of MLE parameters of Eq. (8)
with halo mass (in units of vv for
|
| Open with DEXTER | |
| In the text | |
|
Figure 10: Top: space density profile (multiplied by r2) of the stack of the 93 halos, with best maximum likelihood fits for r/r200 from 0.03 to 1 (solid), and 3 (dotted without background, dashed curves with best-fit background, see Table 1) for the NFW (red) and Einasto (blue) models. The best fit NFW models to 3 r200 with and without background are indistinguishable (see Table 1). The errors are from 100 cluster bootstraps. Bottom: ratios of measured to fit densities. |
| Open with DEXTER | |
| In the text | |
|
Figure 11:
Velocity anisotropy profile (including streaming motions:
Eqs. (6) and (7)) of the stack of the 93 halos.
The error bars are from 100 bootstraps on the 93 halos.
The curve shows the weighted |
| Open with DEXTER | |
| In the text | |
|
Figure 12:
Line-of-sight velocity dispersion profiles of the stacked virial
cone, cutting at 3 (triangles) or 2.7 (circles)
|
| Open with DEXTER | |
| In the text | |
|
Figure 13:
Fraction of interlopers as a function of line-of-sight velocity for
all projected radii
R < r200 (thick black histogram) and in
bins of projected radius:
R/r200 = 0-0.2, 0.2-0.4, 0.4-0.6, 0.6-0.8,
and 0.8-1 (thin histograms), increasing upwards.
The
filled circles show
the
|
| Open with DEXTER | |
| In the text | |
|
Figure 14:
Top panel: surface density profile of global stacked cone
(black histogram, raised up by 0.02 dex for clarity),
as well as halo members (
|
| Open with DEXTER | |
| In the text | |
|
Figure 15:
Mean interloper surface density (in virial units)
versus halo mass (for
|
| Open with DEXTER | |
| In the text | |
|
Figure 16: Difference of velocity moments with Hubble flow and velocity cut (HF) and without Hubble flow or velocity cut (noHF): log surface density (dotted black), log line-of-sight velocity dispersion (solid red), and line-of-sight velocity kurtosis (dashed blue). The error bars are based upon Poisson errors for the surface density and bootstraps within the radial bin for the log dispersion and the kurtosis, where the error on the difference is the square root of the sum of the square errors. |
| Open with DEXTER | |
| In the text | |
|
Figure 17:
Velocity anisotropy profiles (including streaming motions:
Eqs. (6) and (7)) of the stack of the 93 halos.
The points are the measured velocity anisotropy
(same as in Fig. 11, again with uncertainties from 100 bootstraps
on the 93 halos)
and the curves are recovered from anisotropy inversion assuming the
c=4 NFW model
(solid curves), for three polynomial fits (orders 2, 3, and 4 in
log-log space) to the
measured line-of-sight velocity dispersion profile (after the
|
| Open with DEXTER | |
| In the text | |
|
Figure A.1:
Contours of
|
| Open with DEXTER | |
| In the text | |
|
Figure A.2: Dimensionless tangential shear profile for the NFW model (black) and the m=4 (red, long-dashed), 5 (green, short-dashed) and 6 (blue, dotted) Einasto models, using Eq. (A.18) with Eqs. (A.9), (A.14), (A.15), (A.6), and (A.8). |
| Open with DEXTER | |
| In the text | |
Copyright ESO 2010
Current usage metrics show cumulative count of Article Views (full-text article views including HTML views, PDF and ePub downloads, according to the available data) and Abstracts Views on Vision4Press platform.
Data correspond to usage on the plateform after 2015. The current usage metrics is available 48-96 hours after online publication and is updated daily on week days.
Initial download of the metrics may take a while.
![\begin{figure}
\par\includegraphics[width=9cm]{13948fg1a.ps}\par\includegraphics[width=9cm]{13948fg1b.ps}
\end{figure}](/articles/aa/full_html/2010/12/aa13948-09/Timg36.png)
![\begin{figure}
\par\includegraphics[height=9cm,angle=-90]{13948fg2.ps}
\end{figure}](/articles/aa/full_html/2010/12/aa13948-09/Timg37.png)
![\begin{figure}
\par\includegraphics[width=9cm,clip]{13948fg3.ps}
\end{figure}](/articles/aa/full_html/2010/12/aa13948-09/Timg88.png)
![\begin{figure}
\par\includegraphics[width=9cm]{13948fg4.ps}
\end{figure}](/articles/aa/full_html/2010/12/aa13948-09/Timg91.png)
![\begin{figure}
\par\includegraphics[width=7cm,bb=55 10 450 745]{13948fg5.ps}
\end{figure}](/articles/aa/full_html/2010/12/aa13948-09/Timg95.png)
![\begin{figure}
\par\includegraphics[width=7cm,bb=55 10 450 765]{13948fg6.ps}
\end{figure}](/articles/aa/full_html/2010/12/aa13948-09/Timg99.png)
![\begin{figure}
\par\includegraphics[width=9cm]{13948fg7.ps}
\vspace*{-2mm}
\end{figure}](/articles/aa/full_html/2010/12/aa13948-09/Timg105.png)
![\begin{figure}
\par\includegraphics[width=9cm]{13948fg8.ps}
\end{figure}](/articles/aa/full_html/2010/12/aa13948-09/Timg112.png)
![\begin{figure}
\par\includegraphics[width=9cm]{13948fg9.ps}
\end{figure}](/articles/aa/full_html/2010/12/aa13948-09/Timg123.png)
![\begin{figure}
\par\includegraphics[width=9cm]{13948fg10.ps}
\end{figure}](/articles/aa/full_html/2010/12/aa13948-09/Timg148.png)
![\begin{figure}
\par\includegraphics[width=9cm,clip]{13948fg11.ps}
\end{figure}](/articles/aa/full_html/2010/12/aa13948-09/Timg151.png)
![\begin{figure}
\par\includegraphics[width=8.8cm]{13948fg12a.ps}\par\includegraphics[width=8.8cm]{13948fg12b.ps}
\end{figure}](/articles/aa/full_html/2010/12/aa13948-09/Timg158.png)
![\begin{figure}
\par\includegraphics[width=9cm]{13948fg13.ps}
\end{figure}](/articles/aa/full_html/2010/12/aa13948-09/Timg168.png)
![\begin{figure}
\par\includegraphics[width=7.5cm,clip]{13948fg14.ps}
\end{figure}](/articles/aa/full_html/2010/12/aa13948-09/Timg175.png)
![\begin{figure}
\par\includegraphics[width=9cm]{13948fg15.ps}
\end{figure}](/articles/aa/full_html/2010/12/aa13948-09/Timg188.png)
![\begin{figure}
\par\includegraphics[width=7.5cm,clip]{13948fg16.ps}
\end{figure}](/articles/aa/full_html/2010/12/aa13948-09/Timg199.png)
![\begin{figure}
\par\includegraphics[width=8cm,clip]{13948fg17.ps}
\end{figure}](/articles/aa/full_html/2010/12/aa13948-09/Timg220.png)
![\begin{figure}
\par\mbox{\includegraphics[width=8cm]{13948fgA1a.ps}\includegraphics[width=7.8cm]{13948fgA1b.ps} }\end{figure}](/articles/aa/full_html/2010/12/aa13948-09/Timg282.png)
![\begin{figure}
\par\includegraphics[width=9cm]{13948fgA2.ps}
\end{figure}](/articles/aa/full_html/2010/12/aa13948-09/Timg297.png)