Free Access
Issue
A&A
Volume 520, September-October 2010
Article Number A30
Number of page(s) 22
Section Cosmology (including clusters of galaxies)
DOI https://doi.org/10.1051/0004-6361/200913948
Published online 24 September 2010

Online Material

Appendix A: Projected mass, surface density and tangential shear of the Einasto model

In this appendix, we derive an approximation to the surface density and projected mass (or, equivalently, projected number) profiles for the Einasto model.

A.1 Projected mass profile

For any density model, the projected mass is

                                    $\displaystyle M_{\rm p}(R;m)$ = $\displaystyle \int_0^R 2~ \pi ~S~\Sigma(S;m)~{\rm d}S$  
  = $\displaystyle 4~\pi \left [\int_0^R r ~\rho(r)~{\rm d}r~\int_0^r {S~{\rm d}S\ov...
..._R^\infty r ~\rho(r)~{\rm d}r~\int_0^R {S~{\rm d}S\over
\sqrt{r^2-S^2}} \right]$  
  = $\displaystyle 4~\pi~\left [ \int_0^R r^2 ~\rho(r)~{\rm d}r + \int_R^\infty
r~ \left (r-\sqrt{r^2-R^2}\right)~\rho(r)~{\rm d}r \right]$ (A.1)
  = $\displaystyle M_\infty - 4~\pi~\int_R^\infty r~\sqrt{r^2-R^2}~\rho(r)~{\rm d}r ,$ (A.2)

where the second equality is obtained after reversing the order of integration. Equation (A.1) is general, while Eq. (A.2) is only valid for models with finite total mass $M_\infty$. For the Einasto model of total mass $M_\infty$, the 3D mass profile is

\begin{displaymath}M(r;m) = P \left[3m,2m \left ({r\over r_{-2}}\right)^{1/m} \right] ~M_\infty
,
\end{displaymath} (A.3)

where $P(a,x) = \gamma(a,x)/\Gamma(a)$ is the regularized incomplete gamma function. The ratio

\begin{displaymath}\mu(R,m) = {M_{\rm p}(R;m)\over M(R;m)} ,
\end{displaymath} (A.4)

determined from Eqs. (A.3) and (A.2), with Eq. (15), varies little, as seen in the right panel of Fig. A.1. We fit again a two-dimensional fourth-order polynomial in m and $u=\log_{10}\left (R/r_{-2}\right)$ and find
                                      $\displaystyle \mu(R,m)$ $\textstyle \simeq$ $\displaystyle \mu_{\rm apx} (u,m)$ (A.5)
$\displaystyle \mu_{\rm apx} (u,m)$ = $\displaystyle {\rm dex}\big (0.0001219~m^4+0.0007400~m^3u -0.003209~m^3+0.002976~m^2u^2-0.01560~m^2u$  
    +0.02966 m2+0.0003307 m u3 -0.04434 m u2+0.1273 m u-0.1149 m  
    $\displaystyle +0.001036~u^4-0.003133~u^3 +0.1905~u^2-0.5241~u+0.3525
\big) .$ (A.6)

In the interval $3.5\leq m \leq 6.5$ and $-2 \leq u \leq 2$, Eqs. (A.5) and (A.6) are accurate to better than 1.5% everywhere (0.23% rms).

The projected mass of the Einasto model can thus be written

                                $\displaystyle M_{\rm p}(R;m)$ $\textstyle \simeq$ $\displaystyle \mu_{\rm apx}(u,m)~M(R;m)$ (A.7)
  = $\displaystyle \mu_{\rm apx} \left [\log_{10} \left( {R\over
r_{-2}}\right),m\right]~P\left[3m,2~m~\left({R\over
r_{-2}}\right)^{1/m}\right]~M_\infty ,$ (A.8)

where again $u = \log_{10} (R/R_{-2})$.

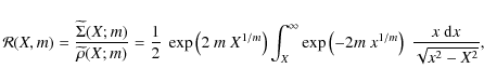
A.2 Surface density profile

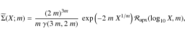
Inserting Eqs. (15) into (1), the surface density of the Einasto model of total mass M and index m is

                              $\displaystyle \Sigma(R;m)$ = $\displaystyle {M\left(r_{-2}\right)\over \pi r_{-2}^2}~\widetilde \Sigma \left ({R\over
r_{-2}};m\right) ,$ (A.9)
$\displaystyle \widetilde \Sigma(X;m)$ = $\displaystyle {(2m)^{3m-1}\over \gamma(3m,2m)}~\int_X^\infty \exp
\left (-2~m~ x^{1/m}\right)~{x ~{\rm d}x\over \sqrt{x^2-X^2}} \cdot$ (A.10)

Writing the dimensionless mass density as

\begin{displaymath}\widetilde \rho(x;m) ={\rho(x r;m) \over M\left(r_{-2};m\righ...
...(2m)^{3m}\over m~\gamma(3m,2m)}~\exp\left(-2m~x^{1/m}\right) ,
\end{displaymath} (A.11)

where the second equality derives from Eq. (15), we can express the ratio of dimensionless surface to space densities as

\begin{displaymath}{\cal R}(X,m) = {\widetilde \Sigma(X;m) \over \widetilde
\rh...
...exp\left(-2m ~x^{1/m}\right)~{x~{\rm d}x\over \sqrt{x^2-X^2}},
\end{displaymath} (A.12)

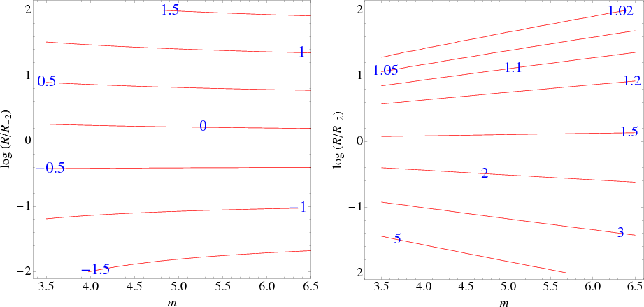
where X=R/r-2. In the range $3.5\leq m \leq 6.5$ (spanned by $\Lambda$CDM halos in the redshift range $0 \leq z \leq 3$ according to Gao et al. 2008) and $-2
\leq \log_{10} X \leq 2$, $\cal R$ varies little and regularly, as seen in the left panel of Fig. A.1. We fit a two-dimensional 4th-order polynomial in m and $u=\log_{10}
(R/r_{-2})$ to $\log_{10} {\cal R}$. We find
                                    $\displaystyle {\cal R}(X,m)$ $\textstyle \simeq$ $\displaystyle {\cal R}_{\rm apx} (u,m)$ (A.13)
$\displaystyle {\cal R}_{\rm apx} (u,m)$ = $\displaystyle {\rm dex} \big(
6.286 \times 10^{-6} ~m^4+0.001178 ~m^3 u -0.0002251 ~m^3+0.001524 ~m^2 u^2-0.02427 ~m^2
u$  
    +0.0008538  m2+0.001861 m  u3 -0.02323  m u2+0.1849  m  u+0.01577  m  
    $\displaystyle +0.0006014 ~u^4-0.01506 ~u^3+0.1056~u^2+0.3406 ~u-0.2515 \big) .$ (A.14)

In the interval $3.5\leq m \leq 6.5$ and $-2 \leq u \leq 2$, Eqs. (A.13) and (A.14) are accurate to better than 0.8% everywhere (0.12% rms).

\begin{figure}
\par\mbox{\includegraphics[width=8cm]{13948fgA1a.ps}\includegraphics[width=7.8cm]{13948fgA1b.ps} }\end{figure} Figure A.1:

Contours of $\log_{10} {\cal R}$ (left, Eq. (A.12)) and $\mu $ (right, Eq. (A.4), with Eqs. (15), (A.2) and (A.3)) for the Einasto model.

Open with DEXTER

The dimensionless surface density can then be written as

\begin{displaymath}\widetilde \Sigma (X;m) = {(2~m)^{3m}\over m~\gamma(3~m,2~m)}...
...\left
(-2~m~X^{1/m}\right){\cal R}_{\rm apx}(\log_{10} X,m) ,
\end{displaymath} (A.15)

or equivalently, with $M\left (r_{-2}\right) = P(3m,2m)~M_\infty$, where $P(a,x) = \gamma(a,x)/\Gamma(a)$ is the regularized incomplete gamma function and $M_\infty$ the total mass of the Einasto model:

\begin{displaymath}{\Sigma(R)\over M_\infty / \left (\pi r_{-2}^2 \right)} \!=\!...
...\left
(-2~m~X^{1/m}\right){\cal R}_{\rm apx}(\log_{10} X,m) .
\end{displaymath} (A.16)

Alternatively, the surface density profile can be, self-consistently, estimated from Eq. (A.7) by differentiation over the projected mass profile, yielding after some algebra
                                      $\displaystyle \Sigma(R;m)$ = $\displaystyle {1\over 2\pi R}~{{\rm d} M_{\rm p}(R;m)\over {\rm d}R}$  
  $\textstyle \simeq$ $\displaystyle {\mu_{\rm apx}(u,m) \over 2\pi R^2}~\left [4\pi R^3 ~\rho(R;m)+ {{\rm d}\log_{10} \mu_{\rm apx}\over {\rm d}u}~M(R;m) \right]$  
  = $\displaystyle \left [ {M\left(r_{-2}\right)\over \pi r_{-2}^2}\right]
~
\left[X...
...3m,2m~X^{1/m}\right)\over P(3m,2m)} \right]
~{\mu_{\rm apx}(u,m) \over 2~X^2} ,$ (A.17)

where $\widetilde \rho$ is given in Eq. (A.11).

Equation (A.17) has the advantage of providing an approximation for the surface density profile that is consistent with that of the projected mass profile. This is crucial for maximum likelihood estimation of concentration (and possibly Einasto index and background level). On the other hand, the accuracy of Eq. (A.17) is about 5 times worse than that of Eq. (A.15).

A.3 Tangential shear profile

For any density model, the tangential shear measured by weak lensing can be written (e.g. Miralda-Escude 1991)

\begin{displaymath}\gamma_{\rm t}(R;m) = {\overline \Sigma(R;m) - \Sigma(R;m) \over \Sigma_{\rm crit}},
\end{displaymath} (A.18)

where $\overline\Sigma(R;m) = M_{\rm p}(R;m)/(\pi R^2)$ is the mean surface density, while $\Sigma_{\rm crit}=c^2/(4\pi G)~D_{\rm S}/(D_{\rm L} D_{\rm
LS})$ is the critical surface density, with c the velocity of light, and where $D_{\rm S}$, $D_{\rm L}$, and $D_{\rm LS}$ are the angular diameter distances between the observer and the source, the observer and the lens, and the lens and the source, respectively. Equation (A.18) indicates that adding a constant term to the surface density (Eq. (24)) has no effect on $\gamma_{\rm t}$ (this is the mass-sheet degeneracy). For the Einasto model, the tangential shear (Eq. (A.18)) is readily computed using Eqs. (A.15) with (A.14) and (A.8) with (A.6). Figure A.2 shows the subtle differences in the shear profile between the NFW and Einasto models of index m=4, 5, and 6. While the tangential shear of the four models is indistinguishable in the wide range 0.8 < R/r-2 < 10, there are potentially measurable differences at R > 10 r-2 (at 100 r-2, the NFW shear is 1.5 times greater than that for the m=5 Einasto model) and possibly at R < 0.8  r-2 (as long as the weak linear approximation assumed for the measured shear to match the expression of $\gamma_{\rm t}$of Eq. (A.18) remains valid).
\begin{figure}
\par\includegraphics[width=9cm]{13948fgA2.ps}
\end{figure} Figure A.2:

Dimensionless tangential shear profile for the NFW model (black) and the m=4 (red, long-dashed), 5 (green, short-dashed) and 6 (blue, dotted) Einasto models, using Eq. (A.18) with Eqs. (A.9), (A.14), (A.15), (A.6), and (A.8).

Open with DEXTER

Appendix B: Surface density and projected mass of the NFW model with lines of sight limited to a sphere

In this appendix, we derive the surface density and projected mass (or, equivalently, projected number) profiles of the NFW model, with the lines of sight restricted to a sphere (which we conveniently choose as the virial sphere) instead of extending to infinity.

B.1 Surface density profile

In an analogous manner as the case with line-of-sight extending to infinity (Eq. (1)), the surface density at projected radius R within the sphere of radius $r_{\rm max}$ is

\begin{displaymath}\Sigma^{\rm sph}(R;r_{\rm max}) = 2~\int_R^{r_{\rm max}} \rho(r) {r~{\rm d}r\over \sqrt{r^2-R^2}}\cdot
\end{displaymath} (B.1)

We now consider the case of the virial sphere: $r_{\rm max} = r_{v}$. The surface density can then be written

\begin{displaymath}\Sigma^{\rm sph}(R;r_{v}) = {M\left(r_{-2}\right)\over \pi r_...
...{\rm sph} \left ({R\over r_{-2}},{r_{v}\over
r_{-2}}\right) ,
\end{displaymath} (B.2)

where

                          $\displaystyle %
\widetilde \Sigma^{\rm sph}(X,c)$ = $\displaystyle {1\over 2~\ln2-1}~
\int_{X}^c {{\rm d}x\over (1+x)^2~\sqrt{x^2-X^2}}$ (B.3)
  = $\displaystyle {1\over 2 ~\ln2-1}~
\left \{
\begin{array}{ll}
\displaystyle
{1\o...
...< X < c \ ,\\  [2.5mm]
& \\
0 & ~ X = 0 \hbox{ or } X > c ,
\end{array}\right.$ (B.4)

where Eq. (B.3) is found by inserting the NFW density profile (Eqs. (4)) into (B.1).

B.2 Projected mass profile

For the NFW model, the projected mass within the virial sphere is

\begin{displaymath}M_{\rm p}^{\rm sph}(R;r_{v}) = \int_0^R 2 ~\pi~S~\Sigma^{\rm
...
...{\rm sph} \left ({R\over r_{-2}},{r_{v}\over
r_{-2}}\right) ,
\end{displaymath} (B.5)

where
                    $\displaystyle \widetilde M_{\rm p}^{\rm sph}(X,c)$ = $\displaystyle 2~\int_0^X Y~\widetilde\Sigma^{\rm sph}(Y,c)~{\rm d}Y$ (B.6)
  = $\displaystyle {1 \over \ln 2-1/2}~
\left \{
\begin{array}{ll}
0 & \qquad X=0 ,
...
...\\
\displaystyle
\ln (c+1)-\frac{c}{c+1}
& \qquad X\geq c ,
\end{array}\right.$ (B.7)

where Eq. (B.7) was found by inserting Eq. (B.4) into Eq. (B.6). For $X\geq c$, one recovers the mass within the virial sphere.

Appendix C: Maximum likelihood estimates

In this appendix, we illustrate the maximum likelihood calculations that we have performed.

Given parameters $\vec \theta$, and data points $\bf x$ the MLE is found by minimizing

\begin{displaymath}-\ln {\cal L} = -\sum_j \ln p(x_j\vert\vec \theta) ,
\end{displaymath} (C.1)

where ${\cal L} = {\displaystyle \prod_j} p(x_j\vert\vec \theta)$ is the likelihood.

C.1 Density profile

The probability of measuring an object (galaxy or dark matter particle) at radius r in a spherical model of concentration c is

\begin{displaymath}p(r_j\vert c) = {4 \pi r^2~ \left[ \nu(r_j;c) + b\right] \ove...
...n};c) + 4~\pi~b~\left(r_{\rm max}^3-r_{\rm min}^3\right )/3} ,
\end{displaymath} (C.2)

where $\nu(R)$ and N(R) are respectively the density and number (proportional to mass) profiles, $r_{\rm min}$ and $r_{\rm max}$ are respectively the minimum and maximum radii, c is the concentration, while b is the constant density background.

C.2 Surface density profile

The probability of measuring a galaxy at projected radius R in a spherical model of concentration c and background b is

\begin{displaymath}p(R_j\vert c,b) = {2 \pi R_j~ \left [\Sigma(R_j;c) + \Sigma_{...
...pi \Sigma_{\rm bg}\left (R_{\rm max}^2-R_{\rm min}^2\right)} ,
\end{displaymath} (C.3)

where $\Sigma(R)$ and $N_{\rm p}(R)$ are respectively the surface density and projected number (proportional to projected mass) profiles, $R_{\rm min}$ and $R_{\rm max}$ are respectively the minimum and maximum projected radii, c is the concentration, while $\Sigma_{\rm bg}$ is the constant surface density background.

For the surface density profile $\Sigma(R)$ and the projected number (mass) profile $N_{\rm p}(R)$, we use the formulae of okas & Mamon (2001) and of Appendix A for the NFW and Einasto models, respectively.

C.3 Distribution of interloper velocities

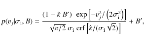
According to Eq. (8), the distribution of interloper line-of-sight absolute velocities, $v_j
\equiv \vert v_{{\rm los},j}\vert$, is to first order the sum of a Gaussian and a constant term:

\begin{displaymath}p(v_j\vert\sigma_{\rm i},A,B) = {A~\exp\left[-v_j^2/\left( 2 ...
...t[\hat\kappa/(\sigma_{\rm
i}\sqrt{2})\right] +\hat\kappa~B} ,
\end{displaymath} (C.4)

where the denominator is found by ensuring $\int_0^{\hat\kappa} p(v_j)~{\rm d}v_j
= 1$ (Eq. (12)), and where $\hat\kappa$ is the maximum considered value of $\vert v_{\rm los}\vert/v_{\rm
v}$ (so $\hat\kappa = 4$ in Figs. 6). If A and B are expressed in virial units, then the denominator of Eq. (C.4) is the surface density of particles under consideration in virial units, which we directly measure from the simulation as $\Sigma=(N/N_{v})/S$, where Nv is the number of particles within the virial sphere, while N is the number of particles in the radial bin (or within the full virial cone), and S is the surface of the radial bin (i.e. $\pi$ for the full virial cone). Hence, substituting for $A=\Sigma~(1-\hat\kappa~B')/[\sqrt{\pi/2}\sigma_{\rm i}~{\rm
erf}[\hat\kappa/(\sigma_{\rm i}\sqrt{2})]$, we can write the probability of measuring an interloper absolute velocity as

\begin{displaymath}p(v_j\vert\sigma_{\rm i},B) = {\left (1-\hat\kappa~B'\right)~...
... erf}\left[\hat\kappa/(\sigma_{\rm i}\sqrt{2})\right]} + B'
,
\end{displaymath} (C.5)

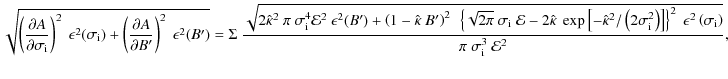
where $B'=B/\Sigma$. Then given the respective uncertainties $\epsilon(\sigma_{\rm i})$ and $\epsilon(B')$ in $\sigma _{\rm i}$ and B', we deduce the uncertainties in B and A as
     $\displaystyle \epsilon(B)$ = $\displaystyle \Sigma~\epsilon(B') ,$ (C.6)
$\displaystyle \epsilon(A)$ = $\displaystyle \sqrt{
\left ({\partial A\over \partial \sigma_{\rm i}}\right)^2~...
...~\epsilon^2\left(\sigma_{\rm i}\right)}
\over \pi~\sigma_{\rm i}^3~{\cal E}^2},$ (C.7)

where ${\cal E} = {\rm erf}\left[\hat\kappa/(\sigma_{\rm i}\sqrt{2})\right]$.

C.4 Practical considerations

For one-parameter fits, we first search on a wide linear grid of equally-spaced 11 points for $\theta_j$, then we consider the three points with the lowest values of $\-\ln {\cal L}$ and create a subgrid of 11 equally-spaced points (thus typically zooming in by a factor of 5), and iterate with finer subgrids until the two values of the parameter $\theta_j$with the highest likelihoods differ by less than 0.0001 or when the lowest $\-\ln {\cal L}$ decreases by less than 10-12. We then obtain the $1\sigma$confidence interval fitting a cubic spline to the points below and above the best-fit parameter to solve for $-\ln {\cal L} = - \ln
{\cal L}_{\rm ML} + 0.5$.

For two-parameter (three-parameter) fits, we first search on a wide rectangular (cuboidal) grid of equally-spaced 11 points. Then we consider the rectangle (cuboid) obtained by searching for the lowest values of $\-\ln {\cal L}$, such that there are at least 3 different values for both (all three) parameters. We create a sub-grid in this rectangle (cuboid) with again $11\times11$ ( $11\times11\times11$) points, and iterate with finer subgrids until the pair of each of the two (three) parameters with the highest two likelihoods differ by less than 0.0001 or when the lowest $\-\ln {\cal L}$ decreases by less than 10-12. We then obtain the $1\sigma$ contour by considering those points in parameter space for which $-\ln {\cal L} = - \ln
{\cal L}_{\rm ML} + 1.15$ (1.77), and then define as the minimum and maximum values for each parameter the extreme values in this contour.

Current usage metrics show cumulative count of Article Views (full-text article views including HTML views, PDF and ePub downloads, according to the available data) and Abstracts Views on Vision4Press platform.

Data correspond to usage on the plateform after 2015. The current usage metrics is available 48-96 hours after online publication and is updated daily on week days.

Initial download of the metrics may take a while.