Issue
A&A
Volume 521, October 2010
Herschel/HIFI: first science highlights
Article Number L23
Number of page(s) 5
Section Letters
DOI https://doi.org/10.1051/0004-6361/201015093
Published online 01 October 2010
A&A 521, L23 (2010)

Herschel/HIFI: first science highlights

LETTER TO THE EDITOR

Herschel observations in the ultracompact HII region Mon R2

Water in dense photon-dominated regions (PDRs)[*],[*]

A. Fuente1 - O. Berné2 - J. Cernicharo3 - J. R. Rizzo3 - M. González-García4 - J. R. Goicoechea3 - P. Pilleri5,6 - V. Ossenkopf7,8 - M. Gerin9 - R. Güsten10 - M. Akyilmaz7 - A. O. Benz11 - F. Boulanger12 - S. Bruderer11 - C. Dedes11 - K. France13 - S. García-Burillo14 - A. Harris15 - C. Joblin5,6 - T. Klein10 - C. Kramer4 - F. Le Petit16 - S. D. Lord17 - P. G. Martin13 - J. Martín-Pintado3 - B. Mookerjea18 - D. A. Neufeld19 - Y. Okada7 - J. Pety20 - T. G. Phillips21 - M. Röllig7 - R. Simon7 - J. Stutzki7 - F. van der Tak8,22 - D. Teyssier23 - A. Usero14 - H. Yorke24 - K. Schuster20 - M. Melchior25 - A. Lorenzani26 - R. Szczerba27 - M. Fich28 - C. M$^{\rm c}$Coey28,29 - J. Pearson24 - P. Dieleman30

1 - Observatorio Astronómico Nacional (OAN), Apdo. 112, 28803 Alcalá de Henares (Madrid), Spain
2 - Leiden Observatory, Universiteit Leiden, PO Box 9513, 2300 RA Leiden, The Netherlands
3 - Centro de Astrobiología, CSIC-INTA, 28850 Madrid, Spain
4 - Instituto de Radio Astronomía Milimétrica (IRAM), Avenida Divina Pastora 7, Local 20, 18012 Granada, Spain
5 - Université de Toulouse, UPS, CESR, 9 avenue du colonel Roche, 31062 Toulouse Cedex 4,France
6 - CNRS, UMR 5187, 31028 Toulouse, France
7 - I. Physikalisches Institut der Universität zu Köln, Zülpicher Straße 77, 50937 Köln, Germany
8 - SRON Netherlands Institute for Space Research, PO Box 800, 9700 AV Groningen, The Netherlands
9 - LERMA, Observatoire de Paris, 61 Av. de l'Observatoire, 75014 Paris, France
10 - Max-Planck-Institut für Radioastronomie, Auf dem Hügel 69, 53121, Bonn, Germany
11 - Institute for Astronomy, ETH Zürich, 8093 Zürich, Switzerland
12 - Institut d'Astrophysique Spatiale, Université Paris-Sud, Bât. 121, 91405 Orsay Cedex, France
13 - Department of Astronomy and Astrophysics, University of Toronto, 60 St. George Street, Toronto, ON M5S 3H8, Canada
14 - Observatorio Astronómico Nacional (OAN), Alfonso XII, 3, 28014 Madrid, Spain
15 - Astronomy Department, University of Maryland, College Park, MD 20742, USA
16 - Observatoire de Paris, LUTH and Université Denis Diderot, Place J. Janssen, 92190 Meudon, France
17 - IPAC/Caltech, MS 100-22, Pasadena, CA 91125, USA
18 - Tata Institute of Fundamental Research (TIFR), Homi Bhabha Road, Mumbai 400005, India
19 - Department of Physics and Astronomy, Johns Hopkins University, 3400 North Charles Street, Baltimore, MD 21218, USA
20 - Institut de Radioastronomie Millimétrique, 300 Rue de la Piscine, 38406 Saint-Martin d'Hères, France
21 - California Institute of Technology, 320-47, Pasadena, CA 91125-4700, USA
22 - Kapteyn Astronomical Institute, University of Groningen, PO Box 800, 9700 AV Groningen, The Netherlands
23 - European Space Astronomy Centre, Urb. Villafranca del Castillo, PO Box 50727, 28080 Madrid, Spain
24 - Jet Propulsion Laboratory, 4800 Oak Grove Drive, Pasadena, CA 91109, USA
25 - Institut für 4D-Technologien, FHNW, 5210 Windisch, Switzerland
26 - Osservatorio Astrofisico di Arcetri-INAF, Largo E. Fermi 5, 50100 Florence, Italy
27 - N. Copernicus Astronomical Center, Rabianska 8, 87-100, Torun, Poland
28 - Department of Physics and Astronomy, University of Waterloo, Waterloo, ON N2L 3G1, Canada
29 - University of Western Ontario, Dept. of Physics & Astronomy, London, Ontario, N6A 3K7, Canada
30 - SRON Netherlands Institute for Space Research, Landleven 12, 9747 AD Groningen, The Netherlands

Received 31 May 2010 / Accepted 14 June 2010

Abstract
Context. Monoceros R2, at a distance of 830 pc, is the only ultracompact H  II region (UC H  II) where the photon-dominated region (PDR) between the ionized gas and the molecular cloud can be resolved with Herschel. Therefore, it is an excellent laboratory to study the chemistry in extreme PDRs ( G0 > 105 in units of Habing field, n > 106 cm-3).
Aims. Our ultimate goal is to probe the physical and chemical conditions in the PDR around the UC H  II Mon R2.
Methods. HIFI observations of the abundant compounds 13CO, C18O, o-H218O, HCO+, CS, CH, and NH have been used to derive the physical and chemical conditions in the PDR, in particular the water abundance. The modeling of the lines has been done with the Meudon PDR code and the non-local radiative transfer model described by Cernicharo et al.
Results. The 13CO, C18O, o-H218O, HCO+ and CS observations are well described assuming that the emission is coming from a dense ( $n = 5 \times 10^6$ cm-3, N(H 2 )> 1022 cm-2) layer of molecular gas around the H  II region. Based on our o-H218O observations, we estimate an o-H2O abundance of $\approx$ $2 \times 10^{-8}$. This is the average ortho-water abundance in the PDR. Additional H218O and/or water lines are required to derive the water abundance profile. A lower density envelope ( $n \sim 10^5$ cm-3, N(H $_2)=2{-}5 \times 10^{22}$ cm-2) is responsible for the absorption in the NH $1_1\rightarrow 0_2$ line. The emission of the CH ground state triplet is coming from both regions with a complex and self-absorbed profile in the main component. The radiative transfer modeling shows that the 13CO and HCO+ line profiles are consistent with an expansion of the molecular gas with a velocity law, $v_{\rm e} = 0.5 \times (r/R_{\rm out}$)-1 km s-1, although the expansion velocity is poorly constrained by the observations presented here.
Conclusions. We determine an ortho-water abundance of $\approx$ $2 \times 10^{-8}$ in Mon R2. Because shocks are unimportant in this region and our estimate is based on H218O observations that avoids opacity problems, this is probably the most accurate estimate of the water abundance in PDRs thus far.

Key words: ISM: structure - ISM: kinematics and dynamics - ISM: molecules - HII regions - submillimeter: ISM

1 Introduction

Ultracompact (UC) H  II regions constitute one of the earliest phases in the formation of a massive star and are characterized by extreme physical and chemical conditions ( G0 > 105 in units of Habing field and n > 106 cm-3). Their understanding is important for distinguishing the different processes in the massive star formation process and because they can be used as a template for other extreme photon-dominated regions (PDRs) such us the surface layers of circumstellar disks and/or the nuclei of starburst galaxies. The UC H  II Mon R2 is the only one that can be resolved with Herschel.

Mon R2 is a nearby (d = 830 pc; Herbst & Racine 1976) complex star forming region. It hosts a UC H  II region near its center, powered by the infrared source Mon R2 IRS1 (Wood & Churchwell 1989). The molecular content of this region has been the subject of several observational studies. The huge CO bipolar outflow (Meyers-Rice & Lada 1991), $\sim $15' long (=3.6 pc) is a relic of the formation of the B0V star associated to IRS1 (Massi et al. 1985; Henning et al. 1992) and strong shocks are currently not at work in this region (Berné et al. 2009). Previous molecular observations (Giannakopoulou et al. 1997; Tafalla et al. 1997; Choi et al. 2000; Rizzo et al. 2003, 2005) showed that the UC H  II region is located inside a cavity and bound by a dense molecular ridge. The peak of this molecular ridge (hereafter, MP) is located at an offset (+10'', -10'') relative to the peak of the ionized gas (hereafter, IF). The molecular hydrogen column density toward the MP is $2{-}6 \times 10^{22}$ cm-2. The detection of the reactive ions CO+ and HOC+ showed a dense photon-dominated region (PDR) surrounding the UC H  II region (Rizzo et al. 2003, 2005). Recent Spitzer observations probed the thin molecular gas layer ( $n = 4 \times 10^5$ cm-3, N(H $_2) = 1\times 10^{21}$ cm-2) with $T_k = 574(\pm 20)$ K in between the ionized gas and the dense molecular gas traced by previous millimeter observations (Berné et al. 2009). All these components are schematically shown in Fig. 1.

\begin{figure}
\par\includegraphics[width=6.5cm,clip]{15093f2.eps}
\end{figure} Figure 2:

HIFI spectra toward the MP in Mon R2. Note that the 13CO $5 \rightarrow 4$ and HCO+ $6 \rightarrow 5$ lines appear close in velocity. This is an artifact of the DSB observations. The HCO+ 6-5 line is observed in the LSB and the 13CO $5 \rightarrow 4$ line, in the USB. The dashed line indicates $v_{\rm lsr} =10.5$ km s-1.

Open with DEXTER

2 Observations

The observations were made with the HIFI instrument onboard Herschel (Pilbratt et al. 2010; de Graauw et al. 2010) during the priority science phase 2 in the frequency switch (FSW) observing mode with a reference position at the offset (+10',0). Two receiver settings were observed, one in Band 1a with the WBS centered at 536.066 GHz (LSB) and the other in Band 4a with the WBS centered at 971.800 GHz (LSB). These settings were observed toward both positions, IF [RA = 06$^{\rm h}$07$^{\rm m}$46.2$^{\rm s}$, Dec = -06$^\circ$23'08.3'' (J2000)] and MP [RA=06$^{\rm h}$07$^{\rm m}$46.87$^{\rm s}$, Dec = -06$^\circ$23'18.3'' (J2000)]. In this letter we present the observations toward the MP because the study of the spatial distribution of the molecular tracers is postponed for a forthcoming paper. The data were reduced using HIPE 3.0 pipeline. The adopted intensity scale was antenna temperature. In addition to Herschel data, we used the HCO+ ( $1 \rightarrow 0$), HCO+ (3 $\rightarrow $2), CS ( $2 \rightarrow 1$), 13CO (1 $\rightarrow $0), 13CO (2 $\rightarrow $1), C18O ( $1 \rightarrow 0$) and C18O ( $2 \rightarrow 1$) observed with the IRAM 30m telescope.

3 Results

We detected the CH 1 $\rightarrow $0, HCO+ $6 \rightarrow 5$, CS $11 \rightarrow 10$, o-H218O $1 _{10} \rightarrow 1_{01}$, 13CO 5 $\rightarrow $4, C18O $5 \rightarrow 4$, and NH $1_1\rightarrow 0_2$ lines in the MP (see Fig. 2). We stress that this is the first detection of the rarer water isotopologue o-H218O toward a spatially resolved PDR. All the lines except NH $1_1\rightarrow 0_2$ were detected in emission. Gaussian fits are shown in Table 1 and Fig. 2. We fitted the three components of the CH $1 \rightarrow 0$ line assuming the same excitation temperature and estimated that the opacity of the main component is >3. In this case, the central velocity is not well determined because of the self-absorption and the flattened profiles produced by the large opacities. The NH $1_1\rightarrow 0_2$ line was tentatively detected ($\sim $3$\sigma$) in absorption. This line is composed of 10 components and we fitted all of them assuming the same excitation temperature. Our fit shows that the NH line is optically thin. Because the individual components are not resolved with a linewidth of $\sim $4 km s-1, the individual line parameters are uncertain. This detection needs to be confirmed.

Table 1:   Summary of HIFI observations.


3.1 Line profiles

Different velocity components can be distinguished in this region. The ambient cloud is centered at $v_{\rm lsr} = 10.5 \pm 1$ km s-1. A large scale molecular outflow is associated with IRS 1 (Meyers-Rice et al. 1991; Tafalla et al. 1997). The wings observed in the emission profiles of the HCO+ 1 $\rightarrow $0 and $3 \rightarrow 2$ lines and in the 13CO 2 $\rightarrow $1 line (velocity ranges [0,6] km s-1 and [4,14] km s-1) are associated with the molecular outflow. The HCO+ $6 \rightarrow 5$, 13CO $5 \rightarrow 4$ and C18O $5 \rightarrow 4$ lines are centered at a velocity of $\sim $10.4 km s-1. In Fig. 3 we compare the HIFI lines with the low rotational lines of the same species observed with the IRAM 30m telescope. The angular resolution of the IRAM data was degraded to match those of Herschel. The line profiles of the low rotational lines of HCO+ and 13CO are self-absorbed at red-shifted velocities. For C18O, there is a perfect match between the profiles of the the $J=5 \rightarrow 4$ and $J = 2 \rightarrow 1$ lines. The profiles of the CS $J = 2 \rightarrow 1$ and $J=11 \rightarrow 10$ lines also match perfectly.

The HCO+ 6 $\rightarrow $5, CS $11 \rightarrow 10$, 13CO $5 \rightarrow 4$ and C18O $5 \rightarrow 4$ lines have characteristic linewidths of 2-3 km s-1. The largest linewidths observed in the NH $1_1\rightarrow 0_2$ and CH lines ($\sim $5 km s-1) indicate that these lines are tracing a different, probably more diffuse component. As argued in Sect. 4.1, the NH absorption is very likely caused by the cold and lower density envelope surrounding the UC H  II region. The CH  $1 \rightarrow 0$ line is seen in absorption and emission suggesting that CH is present in the low density envelope and the dense PDR.

\begin{figure}
\par\special{psfile=15093f3.eps hoffset=-30 voffset=-450 hscale=50 vscale=80 angle=-0}
\vspace{3.7cm}\vspace{-3mm}\end{figure} Figure 3:

Comparison of the profiles of the HIFI and IRAM 30 m spectra toward the MP in Mon R2. The high angular resolution 30 m spectra were degraded to match the angular resolution of Herschel data (40''). The 13CO 1 $\rightarrow $0 and C18O $1 \rightarrow 0$ lines are not included because we observed them with a poor spectral resolution (1.5 MHz$\sim $7 km s-1).

Open with DEXTER

3.2 Molecular column densities

In Table 2 we present the estimated molecular column densities. We used the rotational diagram technique to estimate the rotation temperature and the column density of the CO isotopologues and CS. This technique gives an average rotation temperature and total column density providing that the emission is optically thin. For optically thick lines, we obtained a lower limit to the true column density and rotation temperature (this is very likely the case for 13CO). For CH and NH we assumed a reasonable value of the rotation temperature. Previous molecular observations at millimeter wavelengths showed the existence of gas with densities up to $n = 4 \times 10^6$ cm-3 and $T_k \approx 50$ K in the molecular ridge (Choi et al. 2000; Rizzo et al. 2003, 2005). Berné et al. (2009) derived a density, $n = 4 \times 10^5$ cm-3 and a gas kinetic temperature of $\sim $570 K for a thin gas layer around the H  II region on basis of the H2 rotational lines. These two n-T pairs of values can produce the rotation temperatures derived from our observations. However, the gas layer at 570 K cannot account for the observed line intensities. For instance, assuming a standard C18O abundance of $2 \times 10^{-7}$, this hot layer will produce a C18O 5 $\rightarrow $4 line intensity of $T_b \sim 0.09$ K, i.e. 2% of the observed value. Therefore, the emission of the observed lines is mainly coming from the dense ( $n = 4 \times 10^6$ cm-3) molecular ridge.

We detected the o-H218O 1 $_{10} \rightarrow 1_{01}$ line in the MP. Using the non-local radiative transfer code of Cernicharo et al. (2006) and assuming the densities and temperatures prevailing in the dense molecular ridge (Tk = 50 K, n(H $_2)=4 \times 10^6$ cm-3), we obtained an excitation temperature for the ground state transition of o-H218O of $\sim $8.5 K. With this low excitation temperature, we need N(o-H218O) =  $2.7 \times 10^{12}$ cm-2 to fit our observations. Assuming a 18O/ 16O ratio of $\sim $500, this implies an ortho-water abundance of $\sim $ $2 \times 10^{-8}$. The excitation temperature is not very sensitive to the gas kinetic temperature. To assume a gas kinetic temperature as high as 500 K would increase the excitation temperature by a factor of 2, and decrease the estimated o-H218O column density by a factor of 10. To assume a lower hydrogen density would be more critical, because the excitation temperature would drop to very low values (<6 K), and the line would become very weak and optically thick which would prevent any good estimate of the o-H218O column density. The water abundance estimated in Mon R2 is similar to that obtained toward the Orion Bar by Olofsson et al. (2003) using ODIN observations. In that case, the spatial resolution of the ODIN observations did not allow the authors to resolve the dense PDR. Moreover, their estimate was based on observations of the ground state transition of the main water isotopologue, which is optically thick. The agreement between the two measurements could therefore be fortuitous. Recent SPIRE observations of the Orion Bar have provided an upper limit to the water abundance of a few 10-7 (Habart et al. 2010).

To interpret the observed NH 11-02 line absorption, a knowledge of the continuum level is needed. Unfortunately, the line was observed in FSW mode, which removes the continuum. Hence, the continuum level had to be estimated from previous measurements. In particular, Dotson et al. (2010) measured an intensity of 280 Jy/beam using the CSO telescope (beam = 20'') at 350 $\mu $m (=857 GHz). Assuming a spectral index $\beta$ of $\sim $3, we estimate a continuum flux of 411 Jy at 974 GHz. This value corresponds to a brightness temperature of 0.8 K in the HIFI beam. Taking into account the uncertainty in $\beta$ and the different beams of Herschel and CSO, we estimate that the accuracy of the continuum intensity at 974 GHz is about a factor of 2. Assuming $T_{\rm ex} =10$ K, and an intrinsic linewidth of 4 km s-1, the line opacity inferred from the observed absorption feature implies a NH column density of $(1{-}5) \times 10^{13}$ cm−2(a factor $\sim $1.5 higher if $T_{\rm ex}=20$ K). Taking $\sim $ $5 \times 10^{22}$ cm-2 as an upper limit for N(H2) (the NH absorption likely arises in a external layer of more diffuse gas), the NH abundance would be greater than (1.0-0.2)  $\times 10^{-9}$. These abundances are comparable to the NH abundance first inferred by ISO toward Sgr B2 (Cernicharo et al. 2000; Goicoechea et al. 2004).

Table 2:   Molecular column densities*.


4 Discussion

4.1 Chemical model

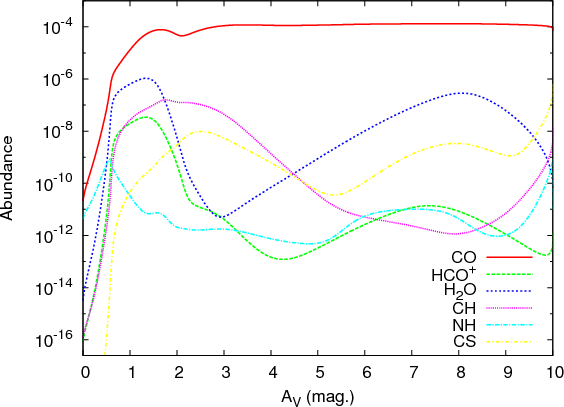
We explored the possibility of explaining the molecular abundances observed in Mon R2 in terms of PDR chemistry. To do this, we used the updated version of the Meudon PDR code (Le Petit et al. 2006; Goicoechea & Le Bourlot 2007). As input parameters we used a plane-parallel slab with a thickness of 10 mag and $n = 4 \times 10^6$ cm-3, which is illuminated from the left side with a field of $G_0 = 5\times 10^5$ and from the right side with the standard interstellar UV field (G0 = 1). Elemental abundances were: He (0.1), O ( $3.19 \times 10^{-4}$), N ( $7.5 \times 10^{-5}$),C ( $1.32 \times 10^{-4}$), S ( $1.86 \times 10^{-5}$), Fe ( $1.5 \times 10^{-8}$). The model does not include isotopic fractionation, we estimated the abundances of the isotopologues assuming 12CO/13CO = 50 and 16O/18O=500. The obtained column densities are shown in Table 2 and the abundance profiles are plotted in Fig. 4. We got an excellent agreement between observations and model predictions for the CO isotopologues, HCO+, H2O, and CS. The model successfully predicts the observed average water abundance. The water abundance is far from uniform across the PDR, with a peak of $\sim $10-6 at an extinction of $\sim $1 mag and a minimum value <10 -10 (see Fig. 4). The observation of high excitation lines of water will allow us to derive the water abundance profile and further constrain the chemical modeling. The model falls short by more than one order of magnitude however to predict the NH column density. The NH abundance is <10-9 all across the PDR (see Fig. 4). As argued below, this is very likely due to the main contribution to the observed NH line coming from the low density envelope that is protected from the UV radiation. We ran the code for a low density ( $n \approx 4 \times 10^4$ cm-3) plane-parallel layer of 50 mag illuminated with G0 = 1 and obtain a NH column density of $\sim $ $3 \times 10^{13}$ cm-2 in better agreement with the observations. This low density envelope would also contribute to the CH ground state line since the CH column density should be $\sim $ a few 1014 cm-2. For this reason, we have a very complex CH profile, with the line optically thick and self-absorption in the main component. However, the contribution of the low density envelope to the other observed HIFI lines would be negligible because of the low density and low gas kinetic temperature. For instance, the intensity of the 13CO $5 \rightarrow 4$ line would be $\sim $0.1 K.

\begin{figure}
\par\includegraphics[width=7cm,clip]{15093f5.eps}
\end{figure} Figure 5:

Predicted line profiles for the 13CO and HCO+ rotational lines using the model described in Sect. 4.2.

Open with DEXTER

4.2 Kinematics of the region

The systematic change in the line profiles of the rotational lines of HCO+ and 13CO can be understood in terms of the velocity structure of the molecular core. Although the complete modeling of the source is beyond the scope of this paper, (most of the HIFI data are still to come), we made a preliminary model to gain insights into the kinematics of this source. The UC H  II region is expected to expand because of the different pressure of the ionized and molecular gas (Jaffe et al. 2003; Rizzo et al. 2005). We modeled the HCO+ and 13CO lines using the non-local radiative transfer code of Cernicharo et al. (2006). In the model, we adopted the physical structure derived in Sect. 4.1 (a spherical envelope with inner radius $R_{\rm in} = 0.08$ pc, an innermost layer with Tk = 50 K, $n = 4 \times 10^6$ cm-3 and a radial thickness of 0.0006 pc, and an external envelope with the temperature decreasing as $T \propto R^{-0.5}$, a constant density of $n = 1 \times 10^5$ cm-3 and a thickness of 0.16 pc). For the dust temperature and opacity, we adopted the values derived by Thronson et al. (1980). As a first approximation we assumed constant 13CO and HCO+ abundances of $2 \times 10^{-6}$ and 10-9 respectively and only varied the velocity law. We were able to reproduce the line intensities and the trend observed in the line profiles assuming an expansion velocity law $v _{\rm e} = 0.5 \times (R/R _{\rm out})^{-1}$ km s-1 ( $R _{\rm out} = 0.24$ pc) and a turbulent velocity of 2 km s-1 (see Fig. 5). Because of the hole in the molecular core, the maximum expansion velocity is 1.5 km s-1, which is similar to the turbulent velocity. For this reason, the back and front parts of the envelope are radiatively coupled producing the self-absorbed profiles at red-shifted velocities. The shapes of the line profiles are dominated by the turbulent velocity with little effect of the small expansion velocity, which is poorly constrained.

5 Conclusions

We present the first HIFI observations toward the UC H  II region Mon R2. Detections of the 13CO 5 $\rightarrow $4, C18 $5 \rightarrow 4$, o-H218O 1 $_{10} \rightarrow 1_{01}$, HCO+ $6 \rightarrow 5$, CS  $11 \rightarrow 10$, NH 11-02, and CH $1 \rightarrow 0$ lines are reported. The emission/absorption of all these molecules is well explained assuming the the molecular core is composed of a dense ( $n = 5 \times 10^6$ cm-3) PDR layer of gas surrounded by a lower density UV protected envelope. The modeling of the 13CO and HCO+ line profiles is consistent with the molecular gas being expanding with an expansion velocity law, $v_{\rm e} = 0.5 \times (r/R_{\rm out})^{-1}$ km s-1. Based on our o-H218O $1 _{10} \rightarrow 1_{01}$ observations, we estimate an ortho-water abundance of $\sim $ $2 \times 10^{-8}$. Because shocks are unimportant in this region and our estimate is based on the rarer isotopologue observations that avoids opacity problems, this water abundance estimate is probably the most accurate in PDRs thus far.

Acknowledgements
HIFI has been designed and built by a consortium of institutes and university departments from across Europe, Canada and the United States under the leadership of SRON Netherlands Institute for Space Research, Groningen, The Netherlands and with major contributions from Germany, France and the US. Consortium members are: Canada: CSA, U. Waterloo; France: CESR, LAB, LERMA, IRAM; Germany: KOSMA, MPIfR, MPS; Ireland, NUI Maynooth; Italy: ASI, IFSI-INAF, Osservatorio Astrofisico di Arcetri - INAF; Netherlands: SRON, TUD; Poland: CAMK, CBK; Spain: Observatorio Astronómico Nacional (IGN), Centro de Astrobiología (CSIC-INTA). Sweden: Chalmers University of Technology - MC2, RSS & GARD; Onsala Space Observatory; Swedish National Space Board, Stockholm University - Stockholm Observatory; Switzerland: ETH Zurich, FHNW; USA: Caltech, J.P.L., NHSC. This paper was partially supported by Spanish MICINN under project AYA2009-07304 and within the program CONSOLIDER INGENIO 2010, under grant ``Molecular Astrophysics: The Herschel and ALMA Era ASTROMOL'' (ref.: CSD2009-00038).

References

  1. Berné, O., Fuente, A., Goicoechea, J. R., et al. 2009, ApJ, 706, L160 [NASA ADS] [CrossRef] [Google Scholar]
  2. Cernicharo, J., Goicoechea, J. R., & Caux, E. 2000, ApJ, 534, L199 [NASA ADS] [CrossRef] [PubMed] [Google Scholar]
  3. Cernicharo, J., Goicoechea, J. R., Pardo, J. R., & Asensio-Ramos, A. 2006, ApJ, 642, 940 [NASA ADS] [CrossRef] [Google Scholar]
  4. Choi, M., Evans, N. J., II, Tafalla, M., & Bachiller, R. 2000, ApJ, 538, 738 [NASA ADS] [CrossRef] [Google Scholar]
  5. de Graauw, Th., Helmich, F. P., Phillips, T. G., et al. 2010, A&A, 518, L6 [Google Scholar]
  6. Dotson, J. L., Vaillancourt, J. E., Kirby, L., et al. 2010, ApJS, 186, 406 [NASA ADS] [CrossRef] [Google Scholar]
  7. Giannakopoulou, J., Mitchell, G. F., Hasegawa, T. I., Matthews, H. E., & Maillard, J.-P. 1997, ApJ, 487, 346 [NASA ADS] [CrossRef] [Google Scholar]
  8. Goicoechea, J. R., Rodríguez-Fernández, N. J., & Cernicharo, J. 2004, ApJ, 600, 214 [NASA ADS] [CrossRef] [Google Scholar]
  9. Goicoechea, J. R., & Le Bourlot, J. 2007, A&A, 467, 1 [NASA ADS] [CrossRef] [EDP Sciences] [Google Scholar]
  10. Habart, E., Dartois, E., Abergel, A., et al. 2010, A&A, 518, L116 [NASA ADS] [CrossRef] [EDP Sciences] [Google Scholar]
  11. Henning, T., Chini, R., & Pfau, W. 1992, A&A, 263, 285 [NASA ADS] [Google Scholar]
  12. Herbst, W., & Racine, R. 1976, AJ, 81, 840 [NASA ADS] [CrossRef] [Google Scholar]
  13. Jaffe, D. T., Zhu, Q., Lacy, J. H., & Richter, M. 2003, ApJ, 596, 1053 [NASA ADS] [CrossRef] [Google Scholar]
  14. Le Petit, F., Nehmé, C., Le Bourlot, J., & Roueff, E. 2006, ApJS, 164, 506 [NASA ADS] [CrossRef] [EDP Sciences] [Google Scholar]
  15. Massi, M., Felli, M., & Simon, M. 1985, A&A, 152, 387 [NASA ADS] [Google Scholar]
  16. Meyers-Rice, B. A., & Lada, C. J. 1991, ApJ, 368, 445 [NASA ADS] [CrossRef] [Google Scholar]
  17. Olofsson, A. O. H., Olofsson, G., Hjalmarson, Å., et al. 2003, A&A, 402, L47 [NASA ADS] [CrossRef] [EDP Sciences] [Google Scholar]
  18. Pilbratt, G., Riedinger, J. R., Passvogel, T., et al. 2010, A&A, 518, L1 [CrossRef] [EDP Sciences] [Google Scholar]
  19. Rizzo, J. R., Fuente, A., Rodríguez-Franco, A., & García-Burillo, S. 2003, ApJ, 597, L153 [NASA ADS] [CrossRef] [Google Scholar]
  20. Rizzo, J. R., Fuente, A., & García-Burillo, S. 2005, ApJ, 634, 1133 [NASA ADS] [CrossRef] [Google Scholar]
  21. Tafalla, M., Bachiller, R., Wright, M. C. H., & Welch, W. J. 1997, ApJ, 474, 329 [NASA ADS] [CrossRef] [Google Scholar]
  22. Thronson, H. A., Jr., Gatley, I., Harvey, P. M., Sellgren, K., & Werner, M. W. 1980, ApJ, 237, 66 [NASA ADS] [CrossRef] [Google Scholar]
  23. Wood, D. O. S., & Churchwell, E. 1989, ApJS, 69, 831 [NASA ADS] [CrossRef] [Google Scholar]

Online Material

\begin{figure}
\par\includegraphics[width=8cm,clip]{15093f1.eps}
\vspace{1cm} \end{figure} Figure 1:

Overview of the PDR associated with Mon R2. Gray scales represent the CS 7 $\rightarrow $6 line emission map from Choi et al. (2000). The blue contours represent the intensity of the [Ne  II] line (0.02-0.1 erg s-1 cm-2 sr-1 in linear steps), and the green contours the intensity of the H2 S(3) rotational line at 9.7 $\mu $m (1.5- $4.5 \times 10^{−4}$ erg s-1 cm-2 sr-1 in linear steps). The circles indicate the Herschel beam in band 1a (40'') and band 4a (21'') centered on the molecular peak (MP).

Open with DEXTER

\begin{figure}
\par\includegraphics[angle=-90,width=8cm,clip]{15093f4.eps}
\vspace{5.5cm}\end{figure} Figure 4:

Results of the chemical modeling of the dense PDR surrounding the UCHII region Mon R2.

Open with DEXTER

Footnotes

... (PDRs)[*]
Herschel is an ESA space observatory with science instruments provided by European-led Principal Investigator consortia and with important participation from NASA.
...[*]
Figures 1 and 4 (page 5) are only available in electronic form at http://www.aanda.org

All Tables

Table 1:   Summary of HIFI observations.

Table 2:   Molecular column densities*.

All Figures

  \begin{figure}
\par\includegraphics[width=6.5cm,clip]{15093f2.eps}
\end{figure} Figure 2:

HIFI spectra toward the MP in Mon R2. Note that the 13CO $5 \rightarrow 4$ and HCO+ $6 \rightarrow 5$ lines appear close in velocity. This is an artifact of the DSB observations. The HCO+ 6-5 line is observed in the LSB and the 13CO $5 \rightarrow 4$ line, in the USB. The dashed line indicates $v_{\rm lsr} =10.5$ km s-1.

Open with DEXTER
In the text

  \begin{figure}
\par\special{psfile=15093f3.eps hoffset=-30 voffset=-450 hscale=50 vscale=80 angle=-0}
\vspace{3.7cm}\vspace{-3mm}\end{figure} Figure 3:

Comparison of the profiles of the HIFI and IRAM 30 m spectra toward the MP in Mon R2. The high angular resolution 30 m spectra were degraded to match the angular resolution of Herschel data (40''). The 13CO 1 $\rightarrow $0 and C18O $1 \rightarrow 0$ lines are not included because we observed them with a poor spectral resolution (1.5 MHz$\sim $7 km s-1).

Open with DEXTER
In the text

  \begin{figure}
\par\includegraphics[width=7cm,clip]{15093f5.eps}
\end{figure} Figure 5:

Predicted line profiles for the 13CO and HCO+ rotational lines using the model described in Sect. 4.2.

Open with DEXTER
In the text

  \begin{figure}
\par\includegraphics[width=8cm,clip]{15093f1.eps}
\vspace{1cm} \end{figure} Figure 1:

Overview of the PDR associated with Mon R2. Gray scales represent the CS 7 $\rightarrow $6 line emission map from Choi et al. (2000). The blue contours represent the intensity of the [Ne  II] line (0.02-0.1 erg s-1 cm-2 sr-1 in linear steps), and the green contours the intensity of the H2 S(3) rotational line at 9.7 $\mu $m (1.5- $4.5 \times 10^{−4}$ erg s-1 cm-2 sr-1 in linear steps). The circles indicate the Herschel beam in band 1a (40'') and band 4a (21'') centered on the molecular peak (MP).

Open with DEXTER
In the text

  \begin{figure}
\par\includegraphics[angle=-90,width=8cm,clip]{15093f4.eps}
\vspace{5.5cm}\end{figure} Figure 4:

Results of the chemical modeling of the dense PDR surrounding the UCHII region Mon R2.

Open with DEXTER
In the text


Copyright ESO 2010

Current usage metrics show cumulative count of Article Views (full-text article views including HTML views, PDF and ePub downloads, according to the available data) and Abstracts Views on Vision4Press platform.

Data correspond to usage on the plateform after 2015. The current usage metrics is available 48-96 hours after online publication and is updated daily on week days.

Initial download of the metrics may take a while.