Issue
A&A
Volume 521, October 2010
Herschel/HIFI: first science highlights
Article Number L23
Number of page(s) 5
Section Letters
DOI https://doi.org/10.1051/0004-6361/201015093
Published online 01 October 2010

Online Material

\begin{figure}
\par\includegraphics[width=8cm,clip]{15093f1.eps}
\vspace{1cm} \end{figure} Figure 1:

Overview of the PDR associated with Mon R2. Gray scales represent the CS 7 $\rightarrow $6 line emission map from Choi et al. (2000). The blue contours represent the intensity of the [Ne  II] line (0.02-0.1 erg s-1 cm-2 sr-1 in linear steps), and the green contours the intensity of the H2 S(3) rotational line at 9.7 $\mu $m (1.5- $4.5 \times 10^{−4}$ erg s-1 cm-2 sr-1 in linear steps). The circles indicate the Herschel beam in band 1a (40'') and band 4a (21'') centered on the molecular peak (MP).

Open with DEXTER

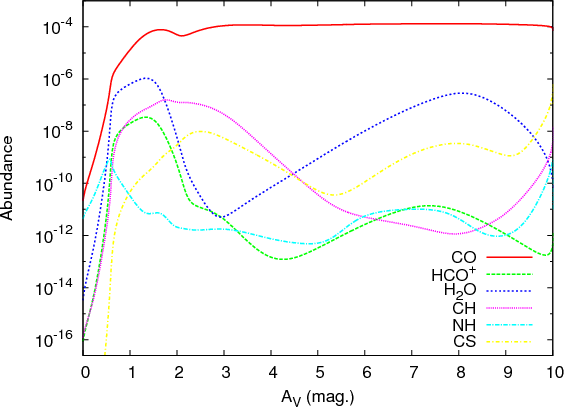
\begin{figure}
\par\includegraphics[angle=-90,width=8cm,clip]{15093f4.eps}
\vspace{5.5cm}\end{figure} Figure 4:

Results of the chemical modeling of the dense PDR surrounding the UCHII region Mon R2.

Open with DEXTER

Current usage metrics show cumulative count of Article Views (full-text article views including HTML views, PDF and ePub downloads, according to the available data) and Abstracts Views on Vision4Press platform.

Data correspond to usage on the plateform after 2015. The current usage metrics is available 48-96 hours after online publication and is updated daily on week days.

Initial download of the metrics may take a while.