Free Access

Fig. 2

thumbnail

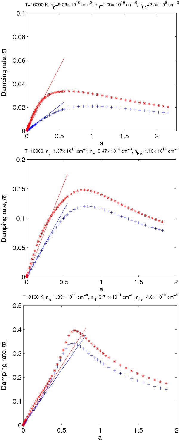
Damping rate (imaginary part of frequency) of Alfvén waves, ϖ = ω/kzvA, vs. normalized Alfvén frequency, a = kzvA/νH, for three different values of chromospheric temperature. Blue crosses correspond to the damping rates due to ion collision with neutral hydrogen atoms only, while red asterisks correspond to the damping rates due to ion collision with both, neutral hydrogen and neutral helium atoms. Red (blue) solid line corresponds to the damping rate derived in the single-fluid approach (Eq. (32)) with (without) neutral helium.

This figure is made of several images, please see below:

Current usage metrics show cumulative count of Article Views (full-text article views including HTML views, PDF and ePub downloads, according to the available data) and Abstracts Views on Vision4Press platform.

Data correspond to usage on the plateform after 2015. The current usage metrics is available 48-96 hours after online publication and is updated daily on week days.

Initial download of the metrics may take a while.