Open Access

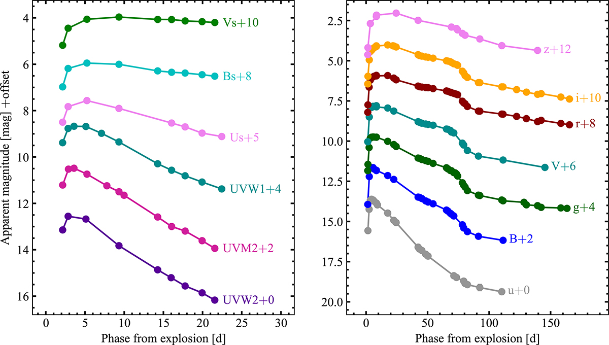
Fig. 2.

image

Download original image

UltraViolet Optical Telescope (UVOT) (w2,  m2 w1 ubv; left) and (right) optical ugBVriz light curves of SN 2024bch. Magnitudes were not corrected for extinction. UV and BV magnitudes were calibrated in the Vega and griz magnitudes in the AB photometric systems.

Current usage metrics show cumulative count of Article Views (full-text article views including HTML views, PDF and ePub downloads, according to the available data) and Abstracts Views on Vision4Press platform.

Data correspond to usage on the plateform after 2015. The current usage metrics is available 48-96 hours after online publication and is updated daily on week days.

Initial download of the metrics may take a while.