Open Access

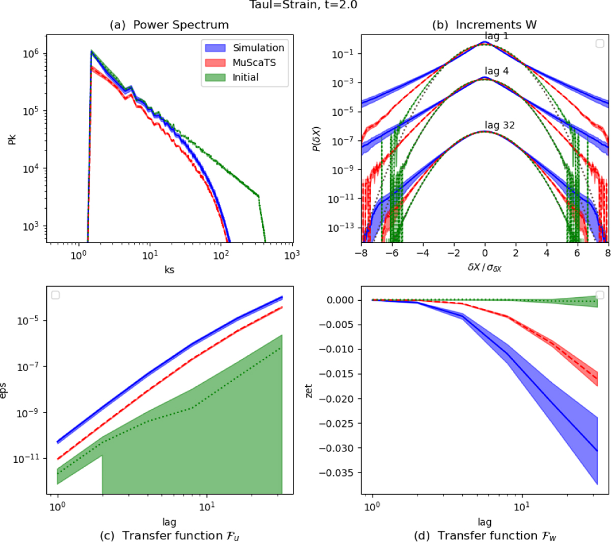
Fig. 5

image

Download original image

Classical statistics averaged over 30 realisations for (a) power spectrum, (b) vorticity increments (for lags of 1, 4, and 32 pixels), (c) the energy transfer function, ℱu, and (d) the enstrophy transfer function, ℱw. Green is for the initial conditions (of the syntheses), red for the MuScaTS syntheses (basic run), and blue for the simulations at time t = 2. Shaded areas give the one-sigma error around the mean over the 30 independent realisations (i.e. mean plus or minus standard deviation divided by 30$\sqrt {30} $).

Current usage metrics show cumulative count of Article Views (full-text article views including HTML views, PDF and ePub downloads, according to the available data) and Abstracts Views on Vision4Press platform.

Data correspond to usage on the plateform after 2015. The current usage metrics is available 48-96 hours after online publication and is updated daily on week days.

Initial download of the metrics may take a while.