Open Access

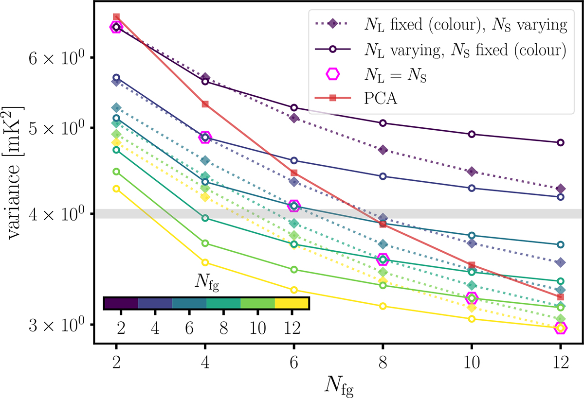
Fig. 11.

image

Download original image

Variance in the mPCA cleaned cubes varying the number of components removed. With dotted lines and filled symbols, we refer to cleaning by fixing the number of the large-scale components removed, NL, given by the colour of the line (inset colour scale), and with solid lines and empty symbols, the other way around: NS is kept fixed (colour) and NL is varying (x-axis). With empty magenta symbols we highlight the cubes cleaned with NL = NS, for a more direct comparison with the PCA results, shown by the red squares and solid line. We show the estimated uncorrelated noise level with a grey band.

Current usage metrics show cumulative count of Article Views (full-text article views including HTML views, PDF and ePub downloads, according to the available data) and Abstracts Views on Vision4Press platform.

Data correspond to usage on the plateform after 2015. The current usage metrics is available 48-96 hours after online publication and is updated daily on week days.

Initial download of the metrics may take a while.