Open Access

Fig. 21.

image

Download original image

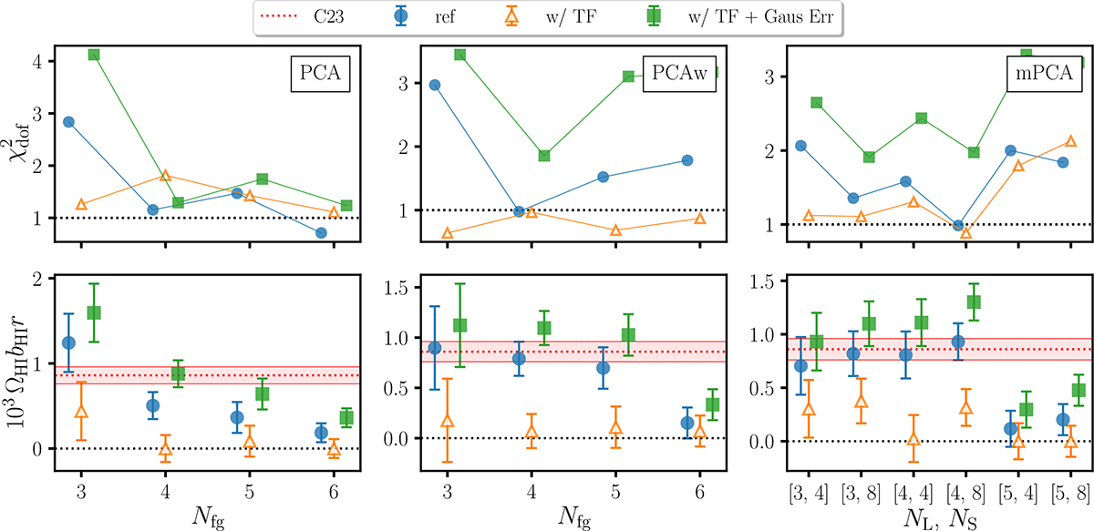
Top panels: Reduced χd.o.f.2 of the cross-power best fits. Bottom panels: Corresponding amplitude values compared to the CL23 result in red, both as function of the cleaning level Nfg. Different columns correspond to different methods: PCA, PCAw and mPCA from left to right. The filled blue circles correspond to the ‘standard’ reference analysis so far discussed; the empty orange triangle to the analysis performed with the transfer function correction; the filled green squares correspond to the analysis performed with the transfer function correction and imposing Gaussian uncertainties for the final, corrected measurements.

Current usage metrics show cumulative count of Article Views (full-text article views including HTML views, PDF and ePub downloads, according to the available data) and Abstracts Views on Vision4Press platform.

Data correspond to usage on the plateform after 2015. The current usage metrics is available 48-96 hours after online publication and is updated daily on week days.

Initial download of the metrics may take a while.