Open Access

Fig. 10.

image

Download original image

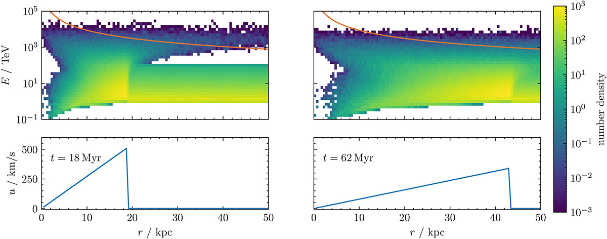
Flow profiles and space-energy histogram at t = 18 Myr and t = 62 Myr for E0 = 10 ESN, B0 = 10 μG. Particles are accelerated close to the Galaxy, when the shock speed is high and diffusion low. The orange line indicates the maximal energy protons are still diffusive.

Current usage metrics show cumulative count of Article Views (full-text article views including HTML views, PDF and ePub downloads, according to the available data) and Abstracts Views on Vision4Press platform.

Data correspond to usage on the plateform after 2015. The current usage metrics is available 48-96 hours after online publication and is updated daily on week days.

Initial download of the metrics may take a while.