Open Access

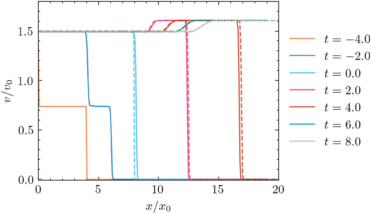
Fig. 15.

image

Download original image

Athena++ simulation of colliding shocks with vsh, 1 = 1, vsh, 2 = 2 (solid line) and corresponding Sod shock tube (dashed line) with vR = 1.5, vL = 0. The shocks collide at x = 8 at t = 0, which is when the Sod shock simulation starts.

Current usage metrics show cumulative count of Article Views (full-text article views including HTML views, PDF and ePub downloads, according to the available data) and Abstracts Views on Vision4Press platform.

Data correspond to usage on the plateform after 2015. The current usage metrics is available 48-96 hours after online publication and is updated daily on week days.

Initial download of the metrics may take a while.