Open Access

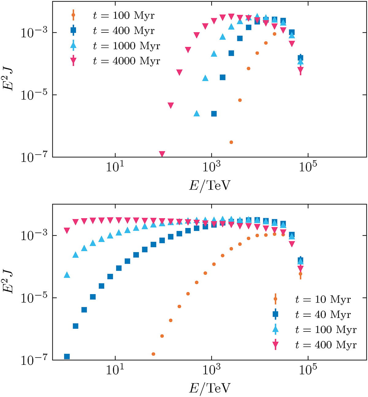
Fig. 21.

image

Download original image

Spectra at x = 5 kpc at different times t after the wind stopped at t = 100 Myr. The spectra are obtained from the convolution with the Green’s function of the pure diffusion equation. Top: Bohm diffusion. Bottom: Galactic diffusion.

Current usage metrics show cumulative count of Article Views (full-text article views including HTML views, PDF and ePub downloads, according to the available data) and Abstracts Views on Vision4Press platform.

Data correspond to usage on the plateform after 2015. The current usage metrics is available 48-96 hours after online publication and is updated daily on week days.

Initial download of the metrics may take a while.