Open Access

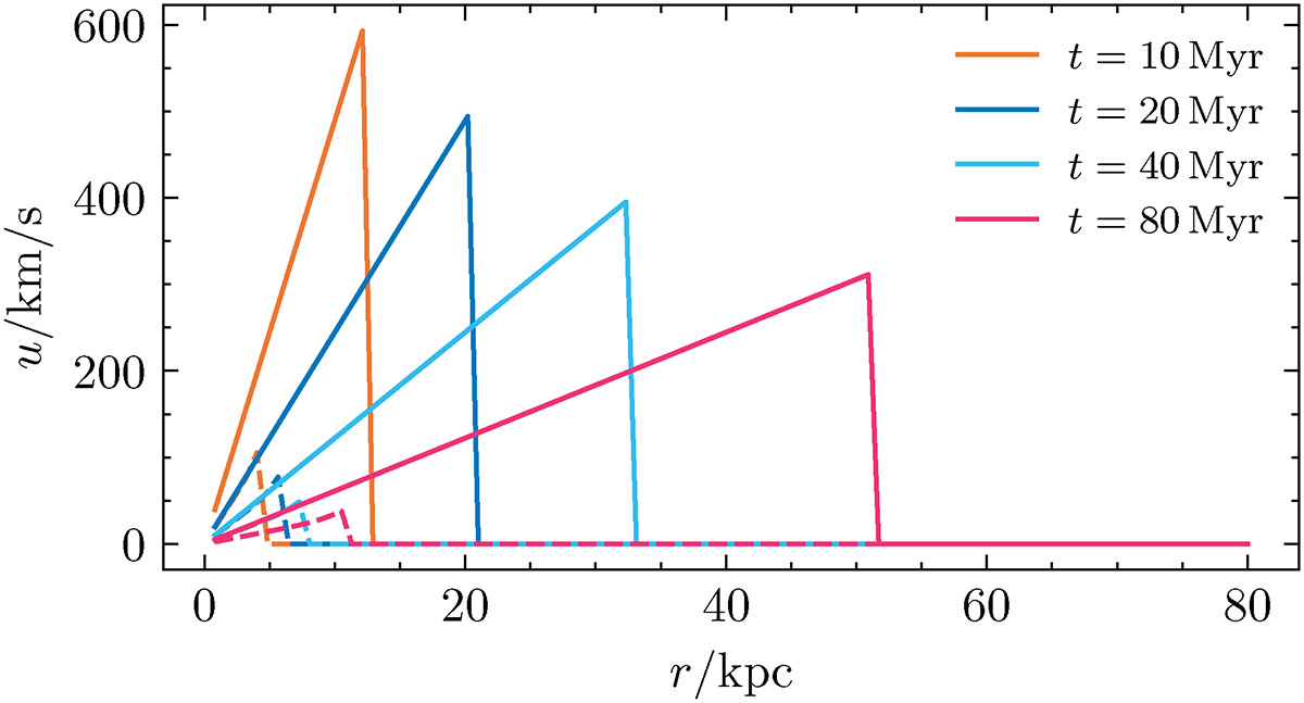
Fig. 7.

image

Download original image

Analytical solution of the Sedov-Taylor blast wave with constant density (dashed line) compared to the Isenberg solution with decreasing density profile (solid line) for Einj = 10 ESN, r0 = 1 kpc, and ρ0 = 1 mp/m3. Considerably higher shock speeds are reached for the latter.

Current usage metrics show cumulative count of Article Views (full-text article views including HTML views, PDF and ePub downloads, according to the available data) and Abstracts Views on Vision4Press platform.

Data correspond to usage on the plateform after 2015. The current usage metrics is available 48-96 hours after online publication and is updated daily on week days.

Initial download of the metrics may take a while.