Open Access

Fig. 8.

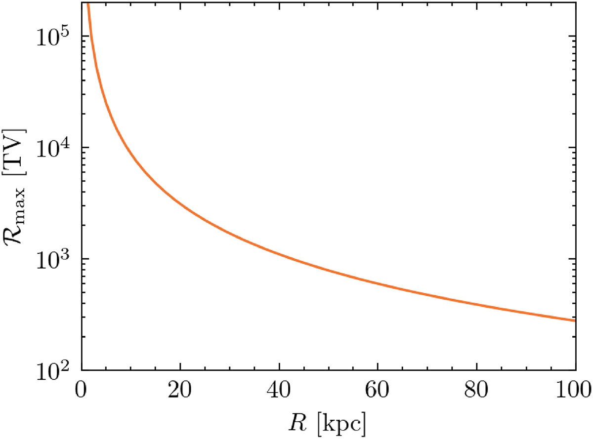
image

Download original image

To experience DSA, the diffusive length scale κ/u must be small compared to the shock radius R. With u = R ˙ $ u = \dot{R} $, the maximal diffusion is given by κ ( p , r ) = R R ˙ $ \kappa(p,r) = R \dot{R} $. With the shock slowing down and the diffusion coefficient increasing with r, the rigidity that is still confined at the scales of the shock decreases.

Current usage metrics show cumulative count of Article Views (full-text article views including HTML views, PDF and ePub downloads, according to the available data) and Abstracts Views on Vision4Press platform.

Data correspond to usage on the plateform after 2015. The current usage metrics is available 48-96 hours after online publication and is updated daily on week days.

Initial download of the metrics may take a while.