Open Access

Fig. 5.

image

Download original image

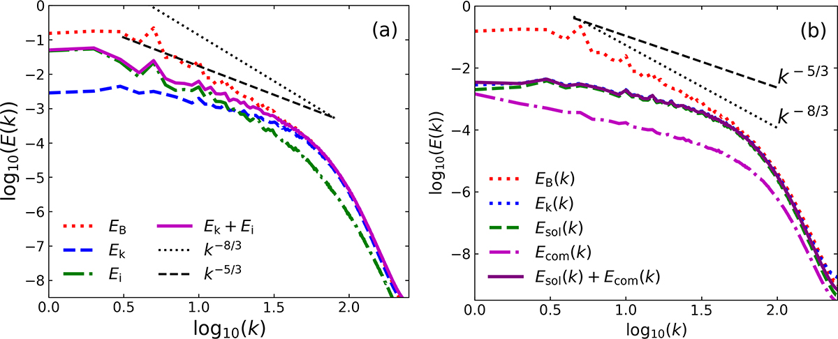
Distributions of magnetic and kinetic energies compared to distributions of internal energies (panel (a)), as well as the solenoidal and compressive components of kinetic energies (panel (b)). Simulations are from the adiabatic state (SD6 listed in Table 1) at t = 20tA.

Current usage metrics show cumulative count of Article Views (full-text article views including HTML views, PDF and ePub downloads, according to the available data) and Abstracts Views on Vision4Press platform.

Data correspond to usage on the plateform after 2015. The current usage metrics is available 48-96 hours after online publication and is updated daily on week days.

Initial download of the metrics may take a while.