Open Access

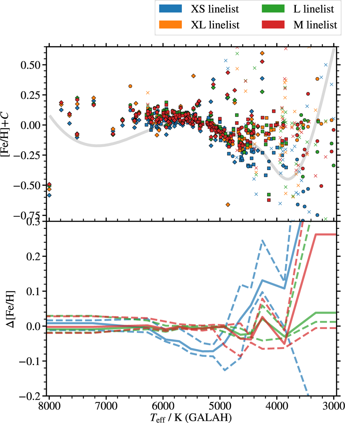
Fig. 5

image

Download original image

Top: iron abundances computed with linelists of different fidelities. Symbols mark the stars belonging to clusters Melotte 25 (circles), Melotte 22 (diamonds), and NGC 2632 (squares). Crosses are measurements for the stars without a trustworthy fit. The solid line is the trend derived in Section 3.4 for the GALAH DR4 iron abundance in dwarfs. Bottom: difference of iron abundances between the computations using the XL linelist and other three linelists. The solid line shows the median difference in each temperature bin, and the dashed lines show the 16th and 84th percentiles of the differences in each bin.

Current usage metrics show cumulative count of Article Views (full-text article views including HTML views, PDF and ePub downloads, according to the available data) and Abstracts Views on Vision4Press platform.

Data correspond to usage on the plateform after 2015. The current usage metrics is available 48-96 hours after online publication and is updated daily on week days.

Initial download of the metrics may take a while.