Open Access

Fig. 1.

image

Download original image

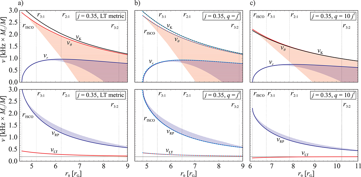
Frequencies of orbital motion around rotating NSs. a) NS spacetime approximated using the LT metric. b) Spacetime of extremely compact NSs approximated using the Kerr limit of the HT metric. c) Spacetime of highly oblate NSs approximated by the HT metric. The upper panels show the Keplerian and (axisymmetric) epicyclic frequencies. The bottom panels show the precession frequencies. The solid lines correspond to the frequencies of a test particle motion and slender tori. The colour-shaded regions indicate frequencies relevant to the non-geodesic flows of non-slender tori. The dashed lines in panel b indicate the frequencies of a test particle motion in the Kerr spacetime calculated using the appropriate coordinate transformation.

Current usage metrics show cumulative count of Article Views (full-text article views including HTML views, PDF and ePub downloads, according to the available data) and Abstracts Views on Vision4Press platform.

Data correspond to usage on the plateform after 2015. The current usage metrics is available 48-96 hours after online publication and is updated daily on week days.

Initial download of the metrics may take a while.