Open Access

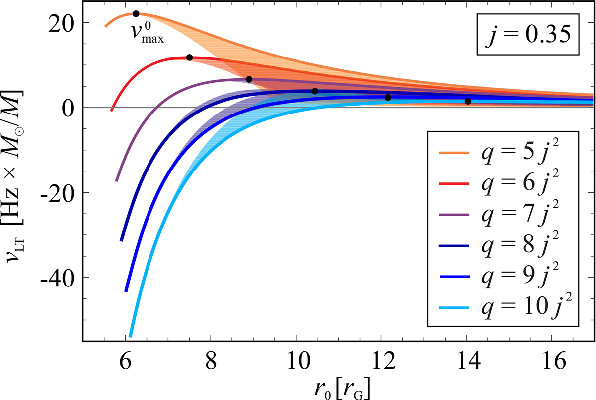
Fig. 2.

image

Download original image

Change in the orientation of the LT precession and behaviour of local frequency maxima shown for j = 0.35. As in Figure 1, the solid lines correspond to the frequencies of test particle motion and slender tori, while the shaded regions indicate the frequencies relevant to non-geodesic flows. The solid black circles indicate local maxima of the geodesic precession frequency, νmax0.

Current usage metrics show cumulative count of Article Views (full-text article views including HTML views, PDF and ePub downloads, according to the available data) and Abstracts Views on Vision4Press platform.

Data correspond to usage on the plateform after 2015. The current usage metrics is available 48-96 hours after online publication and is updated daily on week days.

Initial download of the metrics may take a while.