Open Access

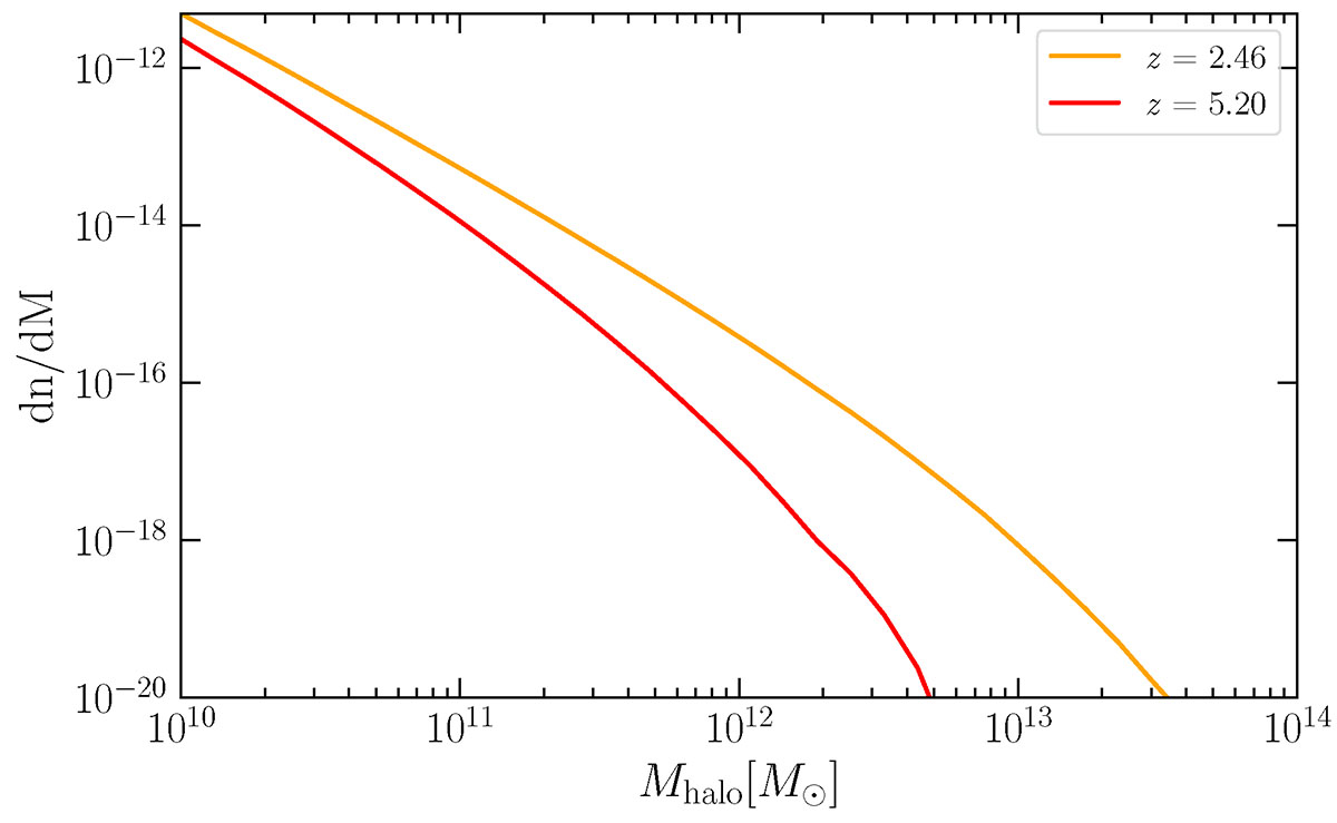
Fig. 6.

image

Download original image

Halo mass function of galaxies from GAEA at the two epochs spanned by the XQR-30 and UVES LR data. This highlights that there are relatively more galaxies of a given halo mass at the epoch explored by the UVES LR data than the epoch explored for the XQR-30 data. This difference becomes more apparent for the highest-mass halos.

Current usage metrics show cumulative count of Article Views (full-text article views including HTML views, PDF and ePub downloads, according to the available data) and Abstracts Views on Vision4Press platform.

Data correspond to usage on the plateform after 2015. The current usage metrics is available 48-96 hours after online publication and is updated daily on week days.

Initial download of the metrics may take a while.