Open Access

Fig. 9

image

Download original image

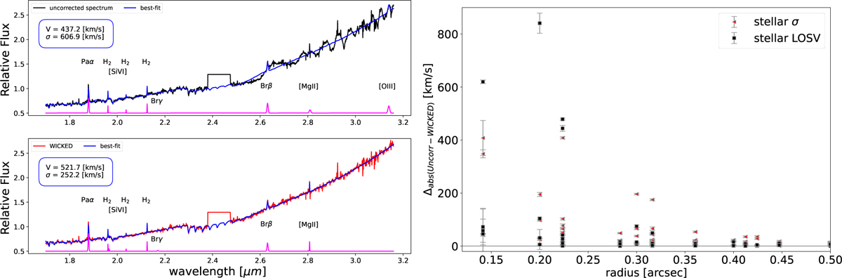
Left: comparison between the best PPXF fit (blue) for an off-center spaxel of the F170LP data of Centaurus A (at a radius of 0.15″) of an uncorrected cube (top,gray) and one corrected using WICKED (bottom, red). The wiggles in the uncorrected cube bias the ability of PPXF to obtain a good velocity dispersion and cause the code to incorrectly identify emission lines (e.g., the [OIII] line ). The wiggles also impacts the LOSV, having a value in disagreement with the stellar rotation of V = 531 ± ΔV ≈ 25 km s−1 found in Cappellari et al. (2009). Right: absolute difference between the LOSV (black squares) and velocity dispersion (red triangles) for the binned spectra within 0.5″, comparing uncorrected and WICKED-cleaned spectra. The mean absolute difference for the LOSV (black dashed line) is ~181 km s−1, while for the velocity dispersion, it is ~104 km s−1. These values are ~17× and ~30× larger, respectively, than the propagated uncertainties of ~8 km s−1.

Current usage metrics show cumulative count of Article Views (full-text article views including HTML views, PDF and ePub downloads, according to the available data) and Abstracts Views on Vision4Press platform.

Data correspond to usage on the plateform after 2015. The current usage metrics is available 48-96 hours after online publication and is updated daily on week days.

Initial download of the metrics may take a while.