Open Access

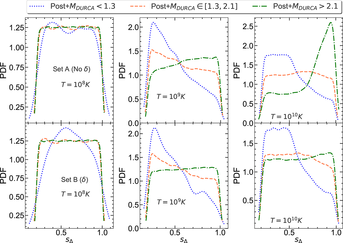
Fig. C.2.

image

Download original image

Marginalized posterior of the sΔ parameter for Set A (top row) and Set B (bottom row) and for the three considered star temperatures, namely T = 108K (left panels), T = 109K (central panels) and T = 1010K (right panels). We show the results for the three assumptions on the threshold “Always” (MdUrca < 1.3 M), “Sometimes” (1.3 M ≤ MdUrca ≤ 2.1 M) and “Never” (MdUrca > 2.1 M) (blue dotted, orange dashed and green dash-dotted, respectively).

Current usage metrics show cumulative count of Article Views (full-text article views including HTML views, PDF and ePub downloads, according to the available data) and Abstracts Views on Vision4Press platform.

Data correspond to usage on the plateform after 2015. The current usage metrics is available 48-96 hours after online publication and is updated daily on week days.

Initial download of the metrics may take a while.