Open Access

Fig. 6.

image

Download original image

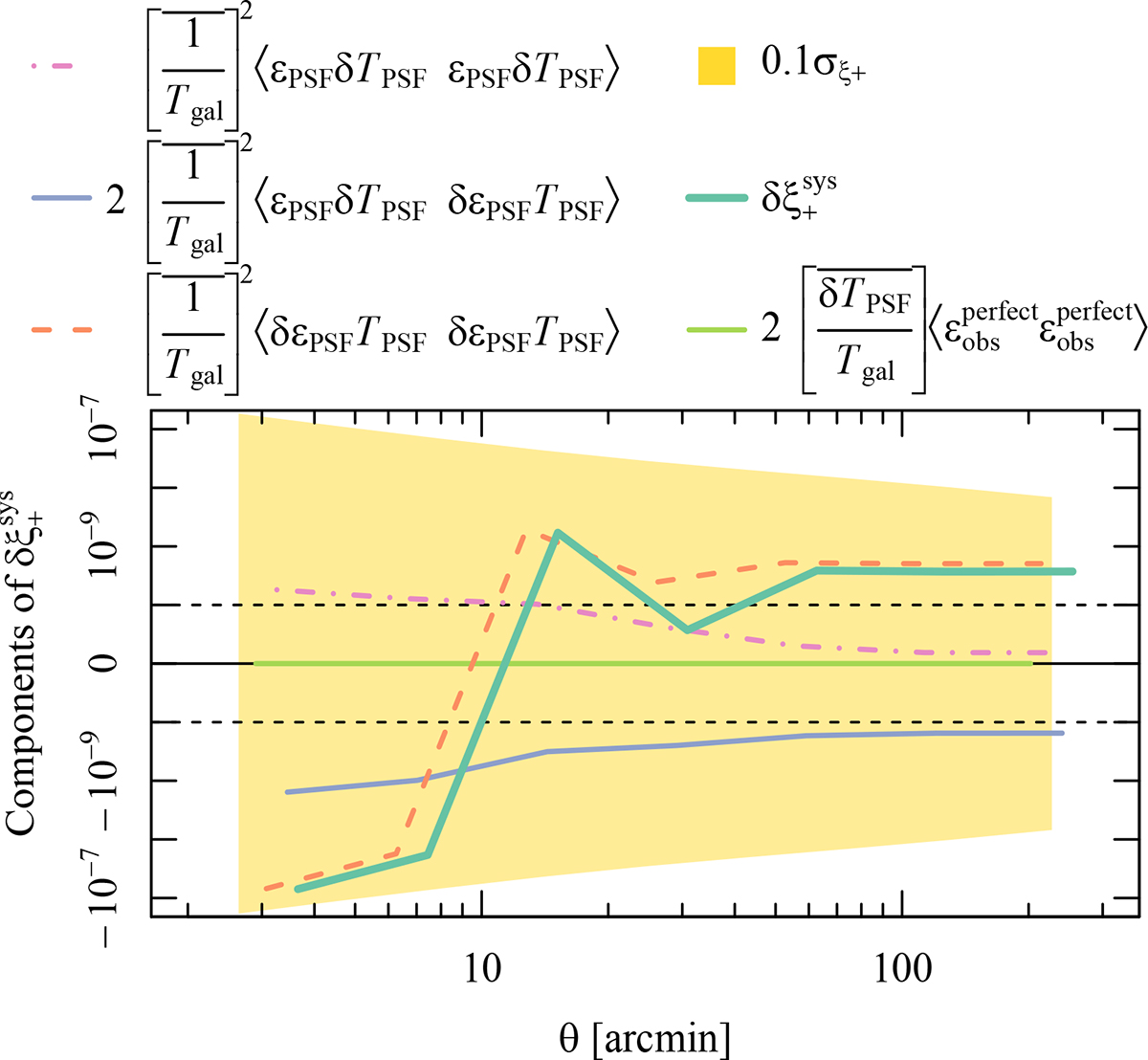
Contributions to the additive systematic δ ξ + sys ( θ ) $ \delta\xi^{\mathrm{sys}}_{+}(\theta) $ from the Paulin-Henriksson et al. (2008) systematics model. The various lines show the four components, with their summation in thick blue-green. The yellow band depicts 10% of the cosmic shear uncertainty on ξ+. The figure is linear between the black dashed lines, and logarithmic outside. This demonstration is for tomographic bin six, but all bins show quantitatively similar results.

Current usage metrics show cumulative count of Article Views (full-text article views including HTML views, PDF and ePub downloads, according to the available data) and Abstracts Views on Vision4Press platform.

Data correspond to usage on the plateform after 2015. The current usage metrics is available 48-96 hours after online publication and is updated daily on week days.

Initial download of the metrics may take a while.