Open Access

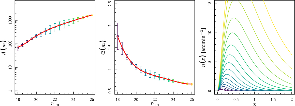
Fig. 5.

image

Download original image

Model parameters and the resulting analytic N(z) for samples defined as magnitude-limited (in the r band) from our noiseless SURFS+Shark light cone. The left and centre panels show the free parameters from Eq. (2), as a function of the r-band magnitude limit, including polynomial fits. The right panel shows the analytically estimated N(z) for each of the models parameters in the other two panels.

Current usage metrics show cumulative count of Article Views (full-text article views including HTML views, PDF and ePub downloads, according to the available data) and Abstracts Views on Vision4Press platform.

Data correspond to usage on the plateform after 2015. The current usage metrics is available 48-96 hours after online publication and is updated daily on week days.

Initial download of the metrics may take a while.