Open Access

Fig. 1

image

Download original image

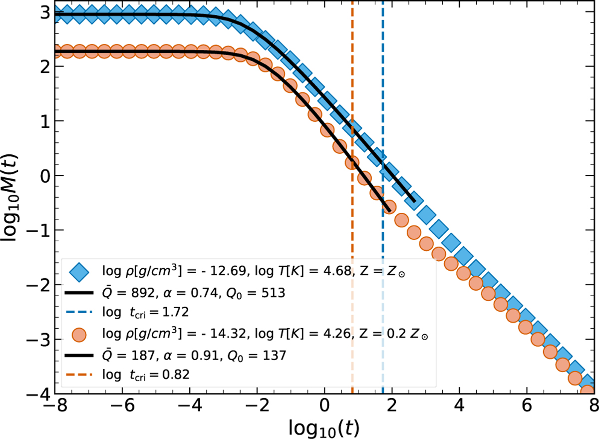
Line-force multiplier, M(t), as a function of the Sobolev optical-depth-like parameter, t. The blue diamonds and orange circles show the line-force multiplier calculated for the characteristic density, temperature, and metallicity listed in the labels. Black lines indicate the best fits with the corresponding line-force parameters. Relative metal abundances are scaled to the solar metallicity of Asplund et al. (2009).

Current usage metrics show cumulative count of Article Views (full-text article views including HTML views, PDF and ePub downloads, according to the available data) and Abstracts Views on Vision4Press platform.

Data correspond to usage on the plateform after 2015. The current usage metrics is available 48-96 hours after online publication and is updated daily on week days.

Initial download of the metrics may take a while.