Open Access

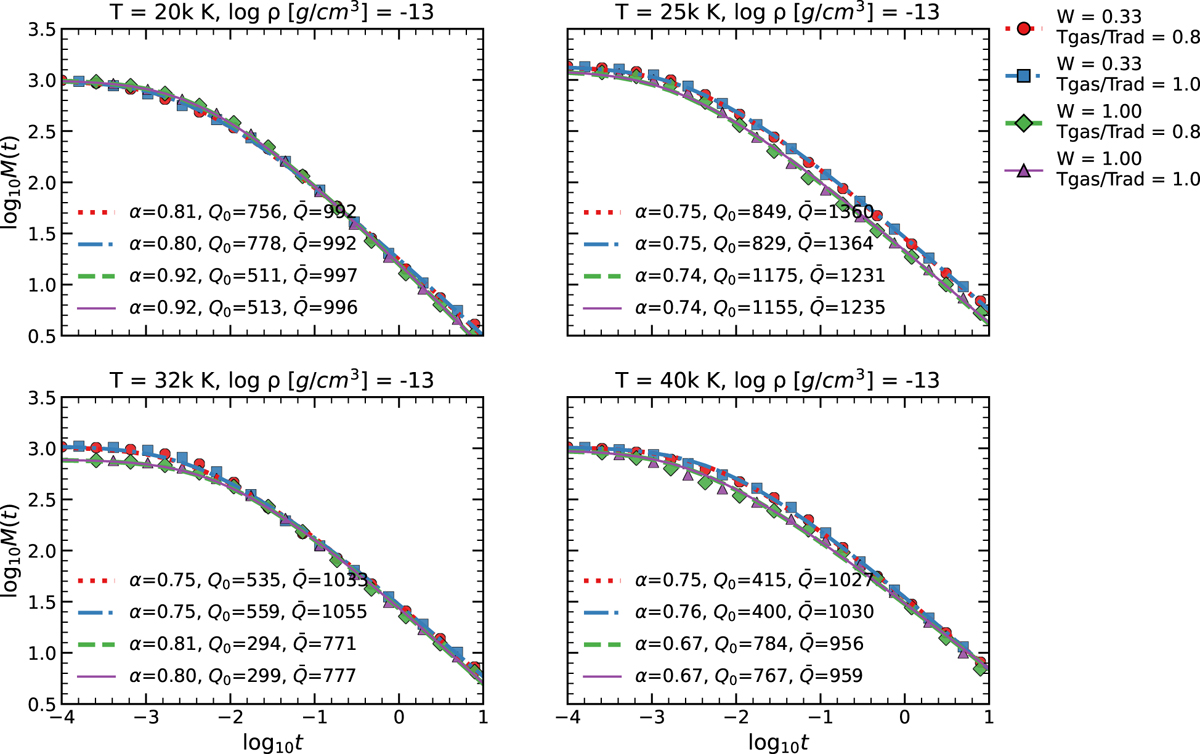
Fig. A.1

image

Download original image

Force multipliers M(t) computed for the densities and temperatures shown at top of each plot. Each plot shows four different M(t) curves and corresponding fits of , Q0, and α, computed for the different combinations of dilution factor W, radiation temperature Trad, and gas temperature Tgas, displayed in the colour bar to the right. The temperatures T at the top of each figure refer to Trad.

Current usage metrics show cumulative count of Article Views (full-text article views including HTML views, PDF and ePub downloads, according to the available data) and Abstracts Views on Vision4Press platform.

Data correspond to usage on the plateform after 2015. The current usage metrics is available 48-96 hours after online publication and is updated daily on week days.

Initial download of the metrics may take a while.