Press Release
Open Access

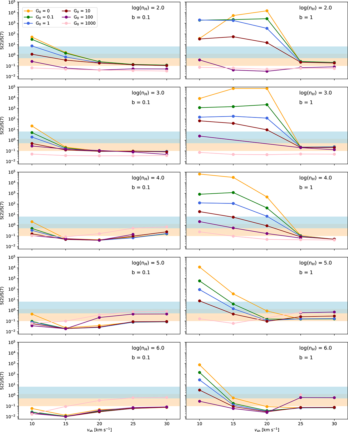
Fig. 8.

image

Download original image

Ratio of the S(2) over the S(7) transition of H2 against the shock velocity for different UV field strengths. The log(nH) ranges from 2 to 6 from top to bottom, while magnetic field strength is b = 0.1 for the left column and 1 for the right. For all panels ζ = 10−17 s−1, and X(PAH) = 10−7 are used. The shaded blue region marks the observed range of S(2)/S(7) ratios for the sources in Ophiuchus, while the beige region marks the range for Class 0 sources from Francis et al. (2025). Note that line intensities from Kristensen et al. (2023) are not available for all combinations of model parameters covered in the figure.

Current usage metrics show cumulative count of Article Views (full-text article views including HTML views, PDF and ePub downloads, according to the available data) and Abstracts Views on Vision4Press platform.

Data correspond to usage on the plateform after 2015. The current usage metrics is available 48-96 hours after online publication and is updated daily on week days.

Initial download of the metrics may take a while.