Open Access

Fig. 1

image

Download original image

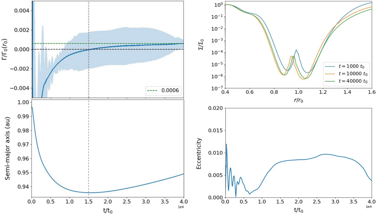
Top panels: evolution of the normalised torque, along with the smoothing function, over the integration (left) for a planet with q = 0.003 in a low-viscosity disc (α = 10−4) with Σ0 = 10−4, and h = 0.05. Distribution of the azimuthally averaged gas-disc density around the planet’s initial location at three different integration times (right). Bottom panels: evolution of the semi-major axis (left) and eccentricity (right) of the planet during the integration. The vertical lines mark the times when the torque changes sign, indicating a reversal in the direction of the planet’s migration. Time is expressed in units of t0, the orbital period of the planet at r = r0.

Current usage metrics show cumulative count of Article Views (full-text article views including HTML views, PDF and ePub downloads, according to the available data) and Abstracts Views on Vision4Press platform.

Data correspond to usage on the plateform after 2015. The current usage metrics is available 48-96 hours after online publication and is updated daily on week days.

Initial download of the metrics may take a while.