Open Access

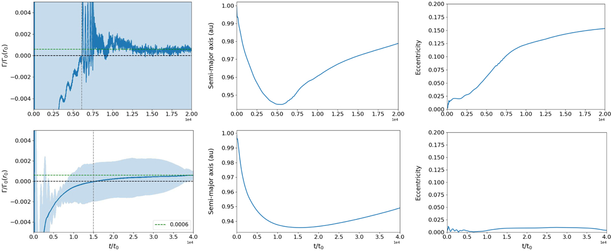
Fig. 9

image

Download original image

Comparison of the normalised torques (right panels), evolution of the semi-major axis (middle panels), and evolution of the eccentricity (left panels) of the planet from the case of study shown in Figure 1, for two different resolutions: the one used in K18 (top) and the one used in this work (bottom).

Current usage metrics show cumulative count of Article Views (full-text article views including HTML views, PDF and ePub downloads, according to the available data) and Abstracts Views on Vision4Press platform.

Data correspond to usage on the plateform after 2015. The current usage metrics is available 48-96 hours after online publication and is updated daily on week days.

Initial download of the metrics may take a while.