Open Access

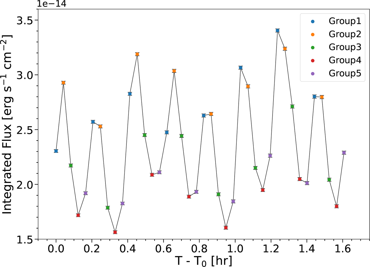
Fig. 4.

image

Download original image

Calculated integrated flux for each of the 40 spectra. Each spectrum has been numerically integrated in their wavelength range. The time assigned to each spectrum is the start time of the exposure. These timestamps were shifted such that the first measurement starts at 0.

Current usage metrics show cumulative count of Article Views (full-text article views including HTML views, PDF and ePub downloads, according to the available data) and Abstracts Views on Vision4Press platform.

Data correspond to usage on the plateform after 2015. The current usage metrics is available 48-96 hours after online publication and is updated daily on week days.

Initial download of the metrics may take a while.