Open Access

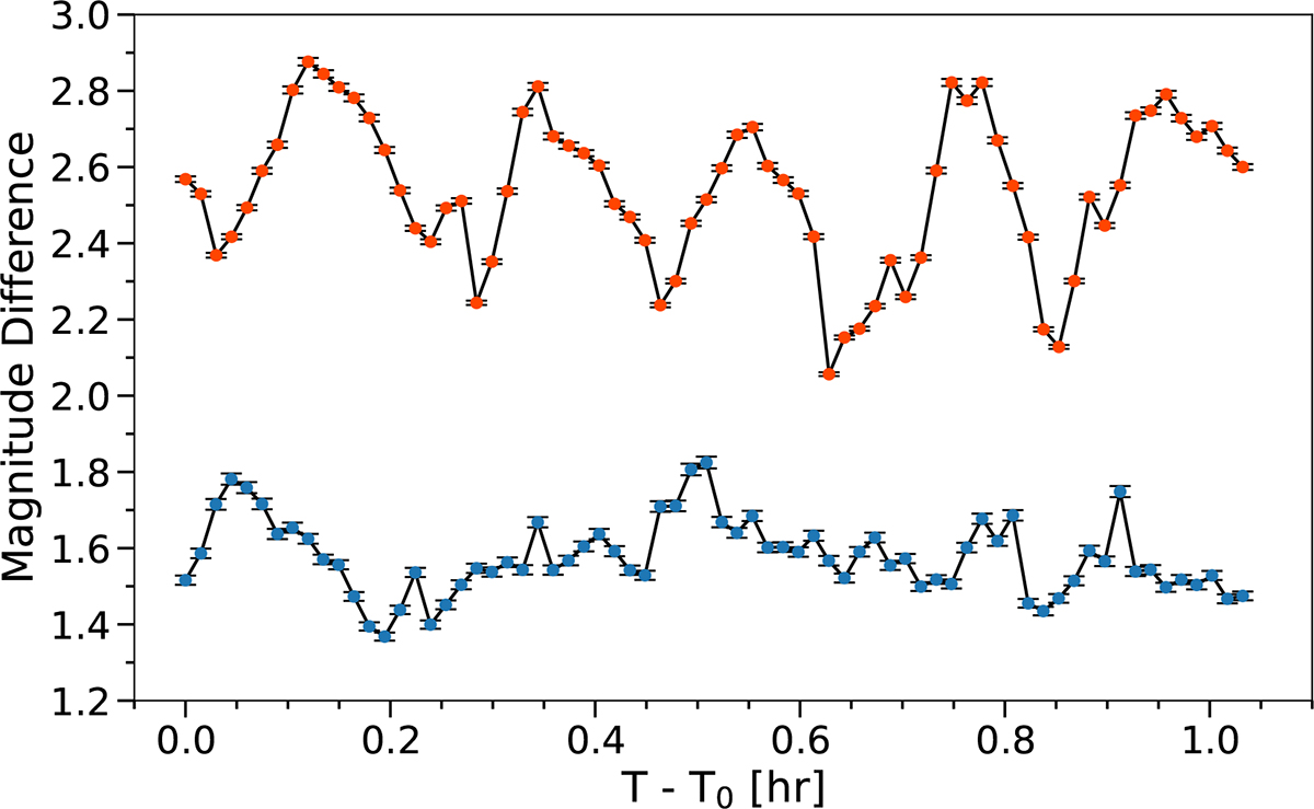
Fig. 8.

image

Download original image

R and B band photometry measurements, displayed by red and blue dots, respectively. The R band measurements were taken on August 25 2024 and the B band measurements on August 23 2024. The magnitudes are displayed in terms of the difference between ZTF 1851+1714 and the reference star.

Current usage metrics show cumulative count of Article Views (full-text article views including HTML views, PDF and ePub downloads, according to the available data) and Abstracts Views on Vision4Press platform.

Data correspond to usage on the plateform after 2015. The current usage metrics is available 48-96 hours after online publication and is updated daily on week days.

Initial download of the metrics may take a while.