Open Access

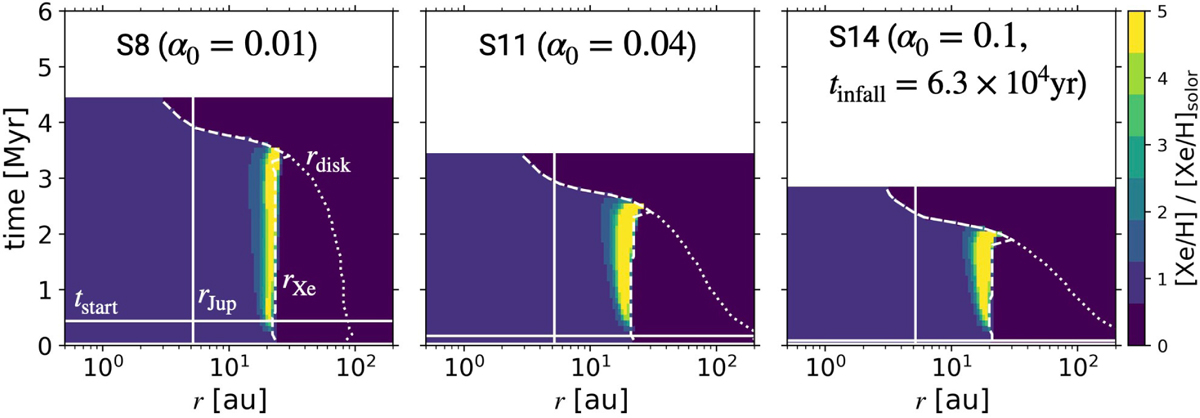
Fig. 11

image

Download original image

Xe enrichment in the disk for different initial turbulent strengths. The left, center, and right panels show the results with the parameter sets of No. S8 (α0 = 0.01), S11 (α0 = 0.04), and S14(α0 = 0.1). The meanings of the lines are the same as Figure 2. We set tinfall = 6.3 × 104 year to obtain the largest dust disk radius (see Figure 6 in Marschall & Morbidelli 2023). The parameters except for α0 are L* = L, FUV = 10 G0, ƒIPE = 0.1, Sc = 0.1, and ƒvfrag is on.

Current usage metrics show cumulative count of Article Views (full-text article views including HTML views, PDF and ePub downloads, according to the available data) and Abstracts Views on Vision4Press platform.

Data correspond to usage on the plateform after 2015. The current usage metrics is available 48-96 hours after online publication and is updated daily on week days.

Initial download of the metrics may take a while.