Open Access

Fig. 12

image

Download original image

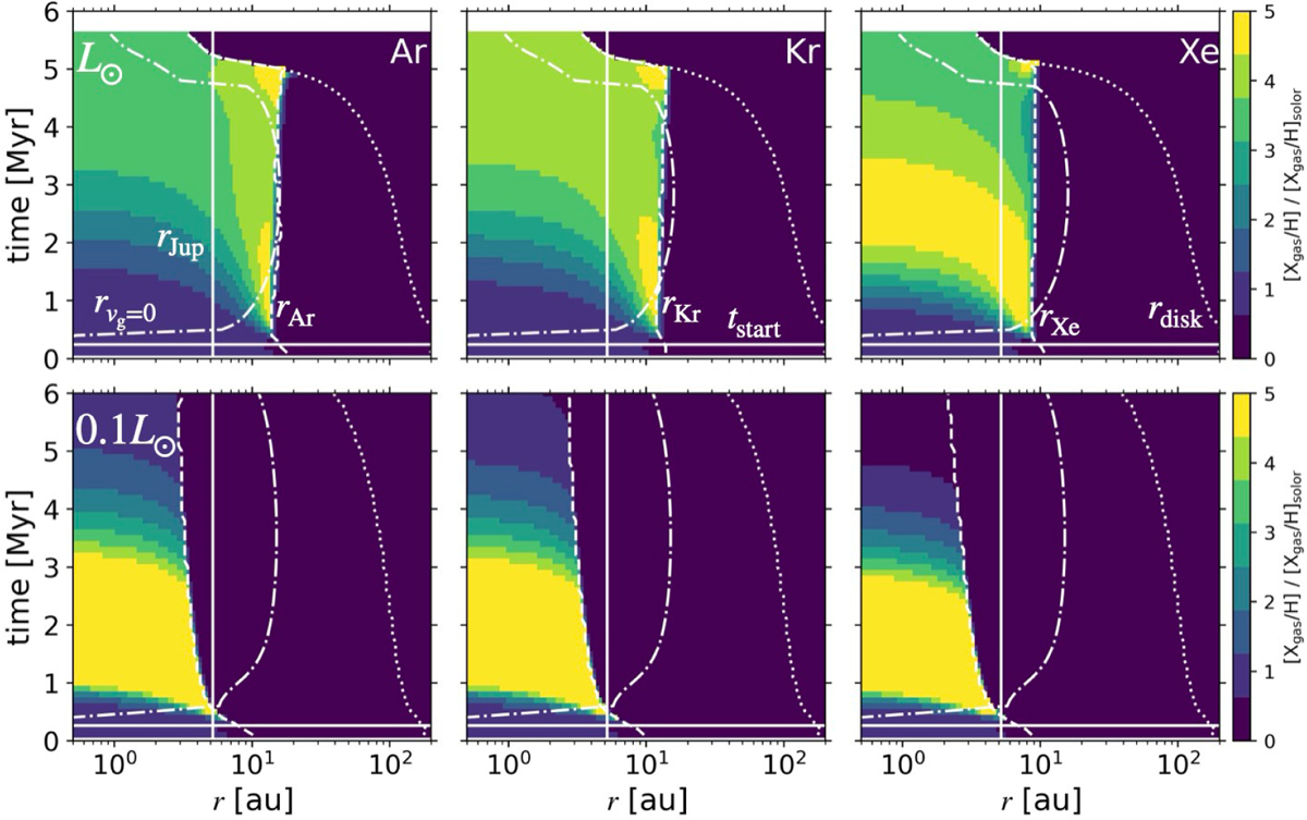
Enrichment of noble gases compared to their solar abundances in a protoplanetary disk for the sun-like stellar luminosity (upper row) and the lower stellar luminosity (lower row) obtained with the desorption parameters from L+2024. The left, center, and right columns show the Ar, Kr, and Xe enrichment. The white solid and dotted lines show the positions of current Jupiter (5.2 au) and disk edge, rdisk. The dashed-dotted lines indicate the radii where the gas velocity is converted to outward, rυg=0${r_{{\upsilon _{\rm{g}}} = 0}}$. The disk parameter set is No. L9: α0 = 0.04, Sc = 1.0, ƒIPE = 0.1, FUV = 10 G0, and ƒvfrag is on.

Current usage metrics show cumulative count of Article Views (full-text article views including HTML views, PDF and ePub downloads, according to the available data) and Abstracts Views on Vision4Press platform.

Data correspond to usage on the plateform after 2015. The current usage metrics is available 48-96 hours after online publication and is updated daily on week days.

Initial download of the metrics may take a while.