Open Access

Fig. 6

image

Download original image

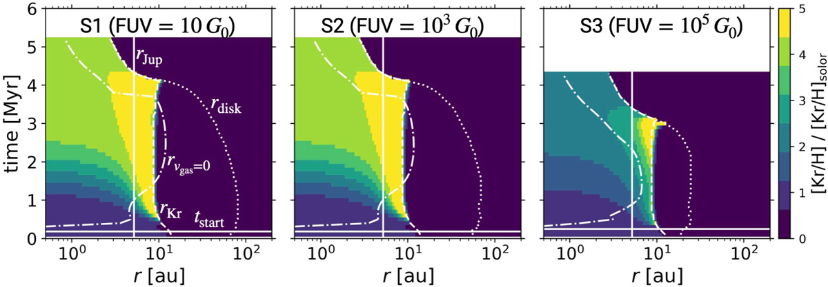
Kr enrichment in the disk for different parameter sets. The left, center, and right panels show the results with the parameter sets of No. S1 (FUV =10 G0), S2 (FUV = 103G0), and S3 (FUV = 105 G0). The meanings of the lines are the same as Figure 2. The parameters except for FUV are L* = 0.1 L, α0 = 0.04, ƒIPE = 0.1, and ƒvftag is on.

Current usage metrics show cumulative count of Article Views (full-text article views including HTML views, PDF and ePub downloads, according to the available data) and Abstracts Views on Vision4Press platform.

Data correspond to usage on the plateform after 2015. The current usage metrics is available 48-96 hours after online publication and is updated daily on week days.

Initial download of the metrics may take a while.